Last updated: 8/22/2025
Request To Exclude Case From Online Public Index Courtview {TF-810}
Start Your Free Trial $ 13.99What you get:
- Instant access to fillable Microsoft Word or PDF forms.
- Minimize the risk of using outdated forms and eliminate rejected fillings.
- Largest forms database in the USA with more than 80,000 federal, state and agency forms.
- Download, edit, auto-fill multiple forms at once in MS Word using our Forms Workflow Ribbon
- Trusted by 1,000s of Attorneys and Legal Professionals
Description
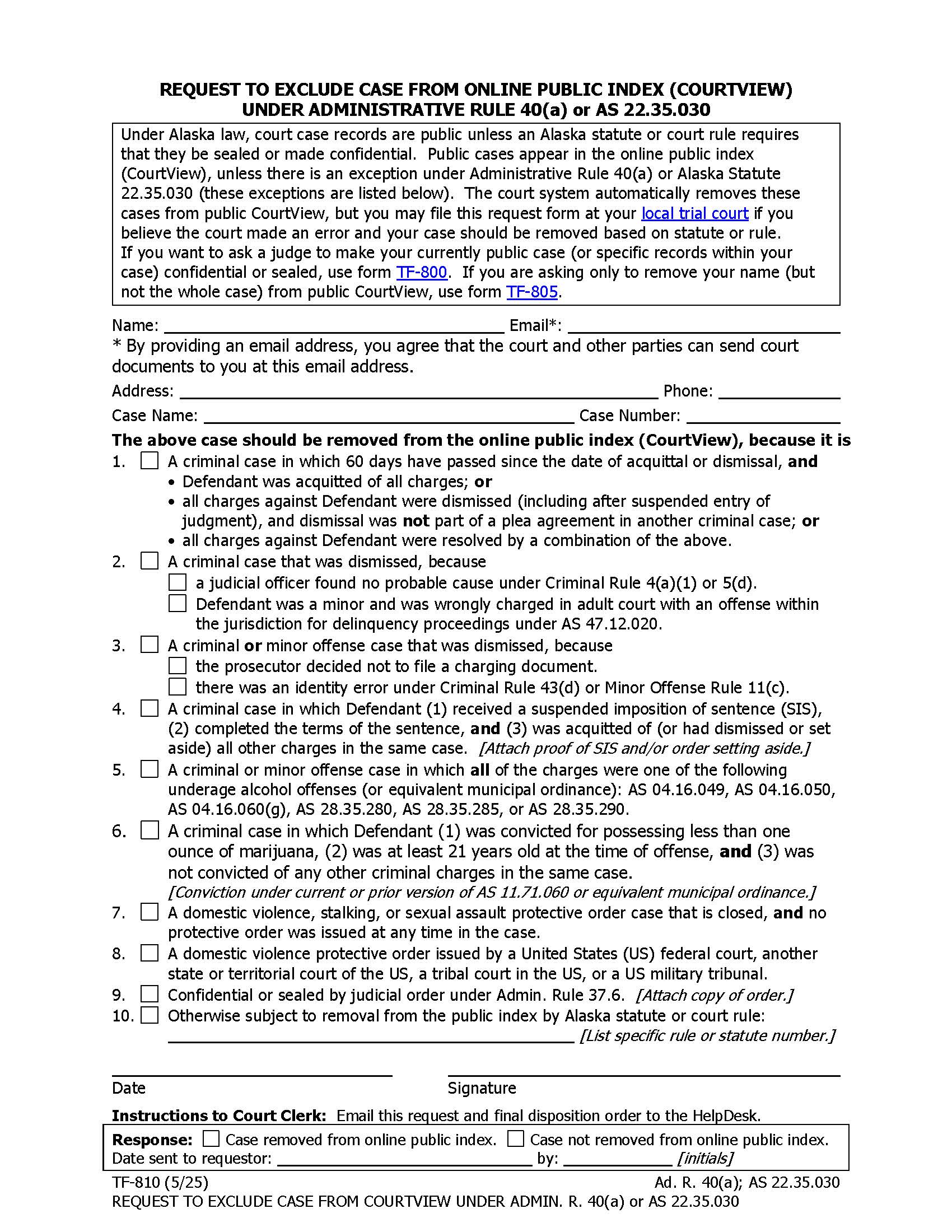
TF-810 - REQUEST TO EXCLUDE CASE FROM ONLINE PUBLIC INDEX (COURTVIEW) UNDER ADMINISTRATIVE RULE 40(a) or AS 22.35.030. Under Alaska law, court case records are public unless an Alaska statute or court rule requires that they be sealed or made confidential. Public cases appear in the online public index (Court View), unless there is an exception under Administrative Rule 40(a) or Alaska Statute 22.35.030 (these exceptions are listed on the form). The court system automatically removes these cases from public Court View, but you may file this request form at your local trial court if you believe the court made an error and your case should be removed based on statute or rule. If you want to ask a judge to make your currently public case (or specific records within your case) confidential or sealed, use form TF-800. If you are asking only to remove your name (but not the whole case) from public Court View, use form TF-805. www.FormsWorkflow.com





