Last updated: 9/30/2025
Motion For Certificate And Order Of Discharge {CR 08.0600}
Start Your Free Trial $ 13.99What you get:
- Instant access to fillable Microsoft Word or PDF forms.
- Minimize the risk of using outdated forms and eliminate rejected fillings.
- Largest forms database in the USA with more than 80,000 federal, state and agency forms.
- Download, edit, auto-fill multiple forms at once in MS Word using our Forms Workflow Ribbon
- Trusted by 1,000s of Attorneys and Legal Professionals
Description
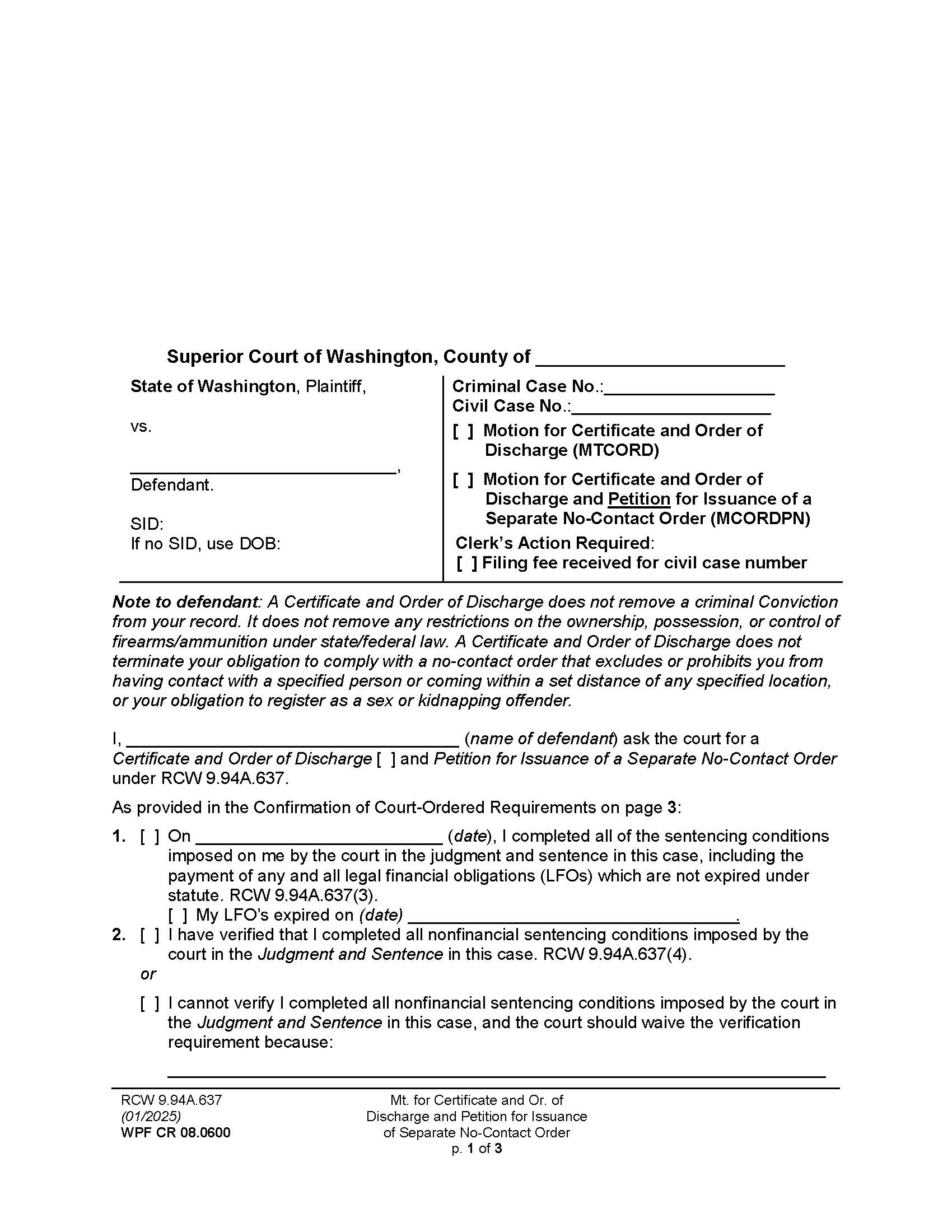
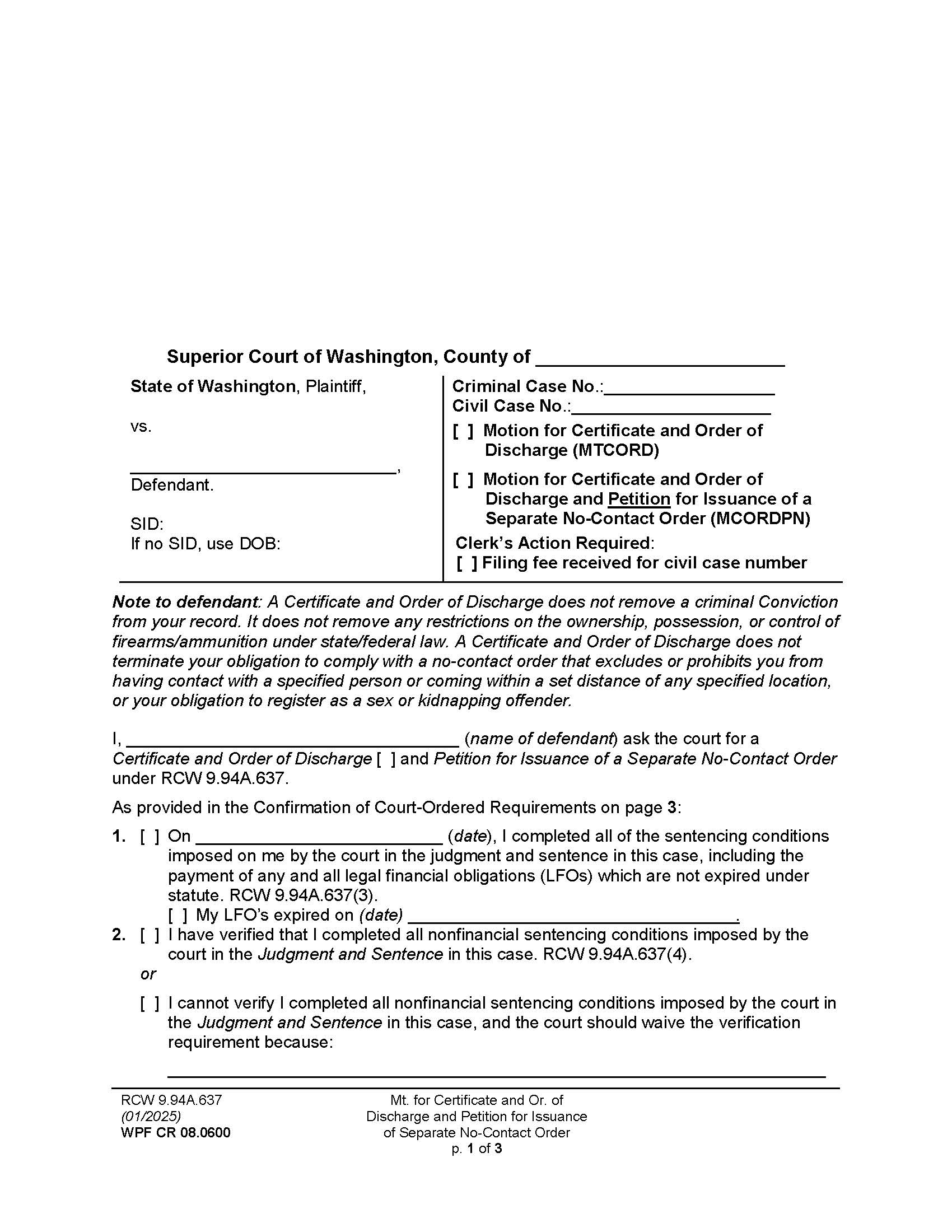
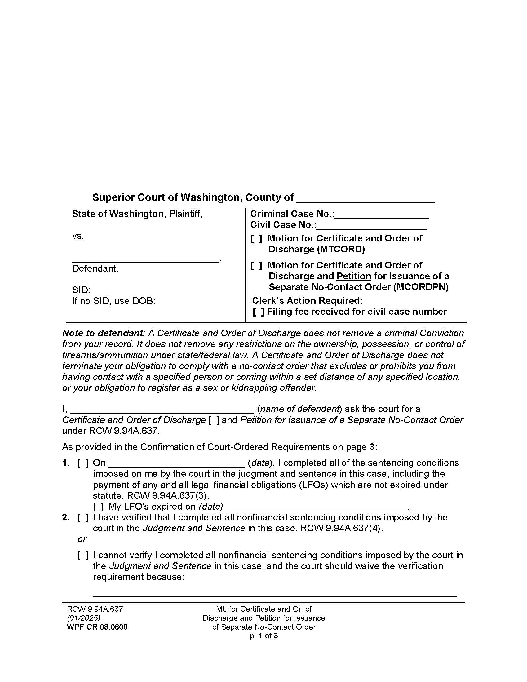
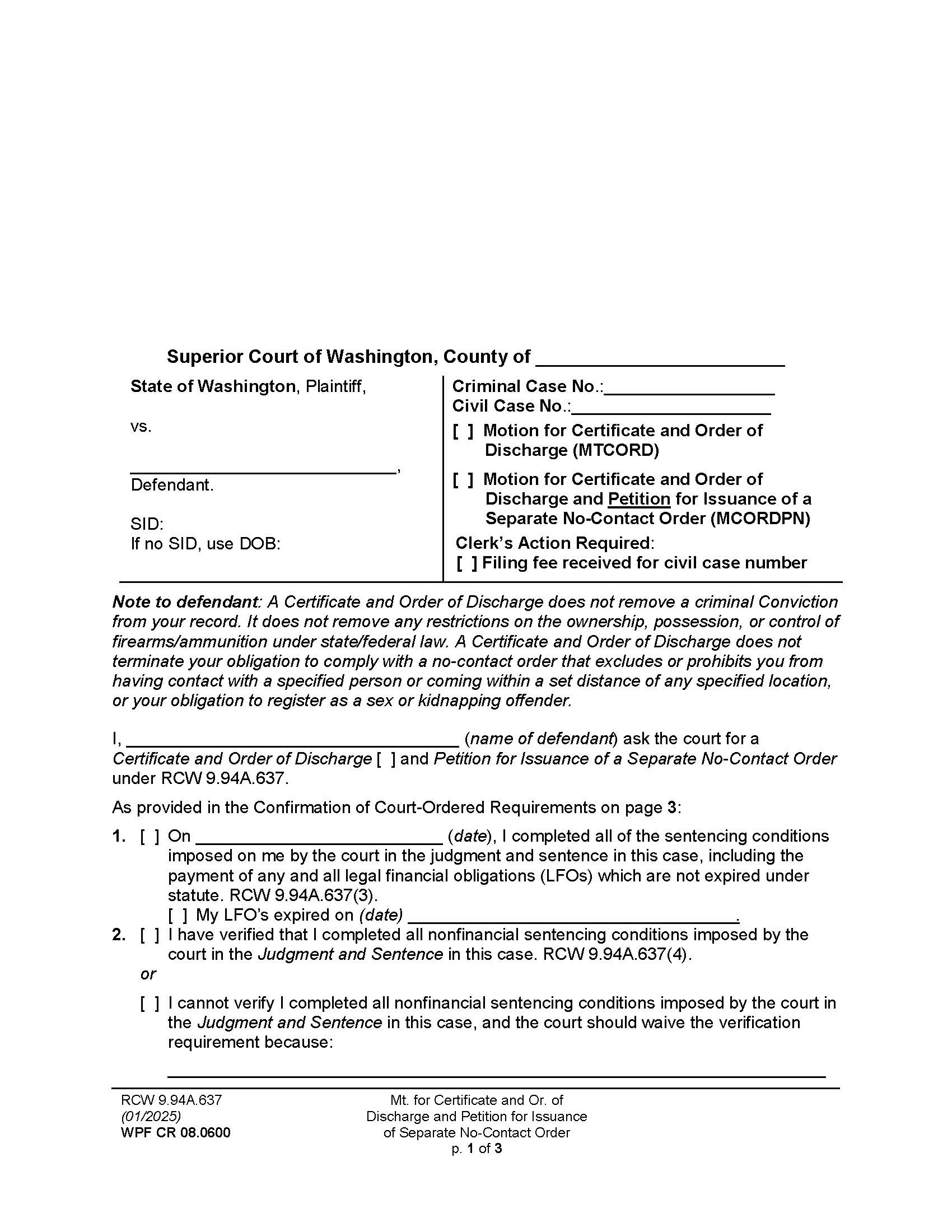
WPF CR 08.0600 - MOTION FOR CERTIFICATE AND OR. OF DISCHARGE AND PETITION FOR ISSUANCE OF SEPARATE NO-CONTACT ORDER. This form lets a defendant ask the Superior Court for a Certificate and Order of Discharge under RCW 9.94A.637, with an optional petition to issue a separate no-contact order (versions: MTCORD or MCORDPN). The form warns that a discharge does not erase the conviction, restore firearm rights, end a no-contact order, or remove sex/kidnapping-offender registration duties. It requires confirmation that all sentencing conditions are completed—including legal financial obligations (LFOs) unless expired—and includes sections for a DOC Community Corrections Officer and the clerk’s finance office to verify completion of conditions and LFOs. Filing the separate no-contact order requires a civil case number/fee. www.FormsWorkflow.com





