Last updated: 4/14/2025
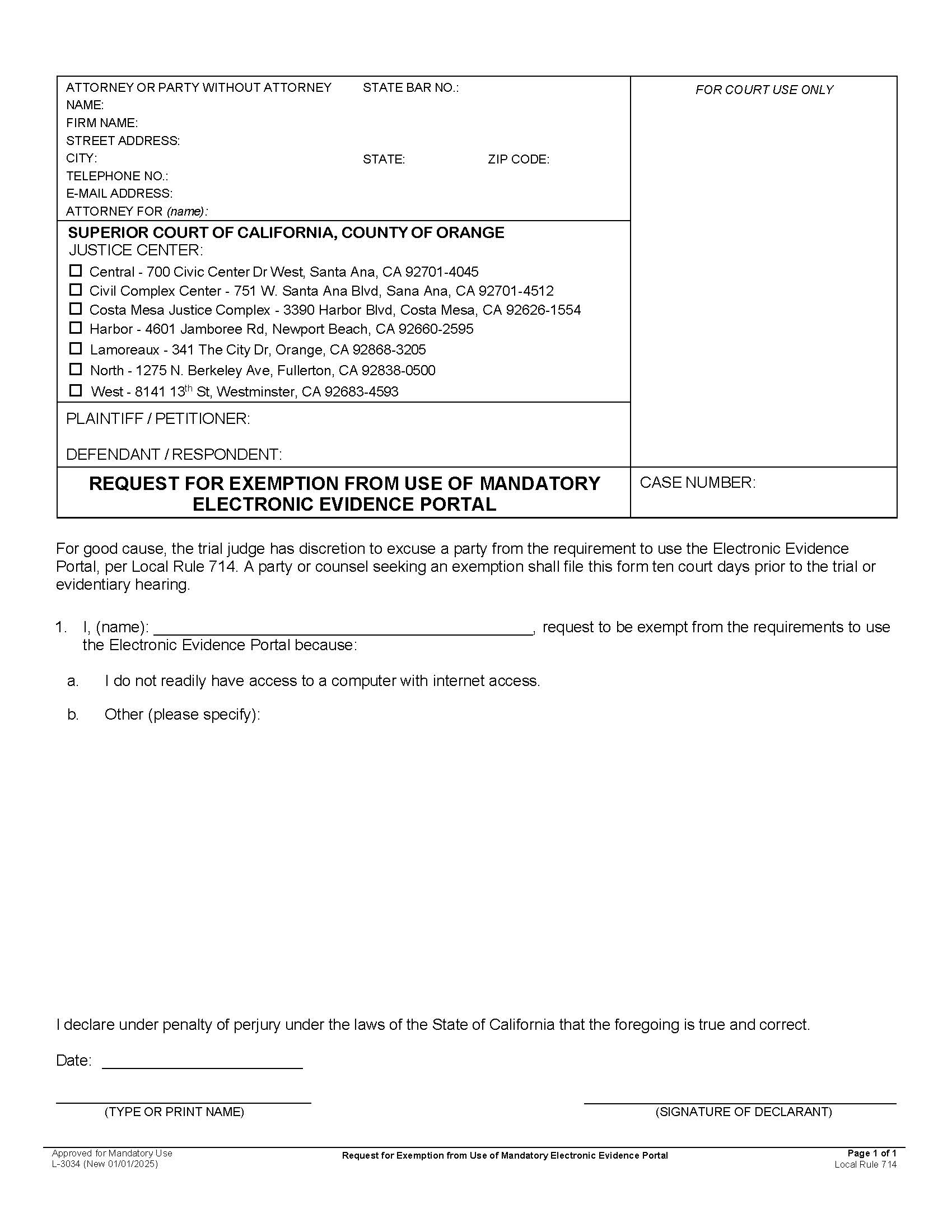
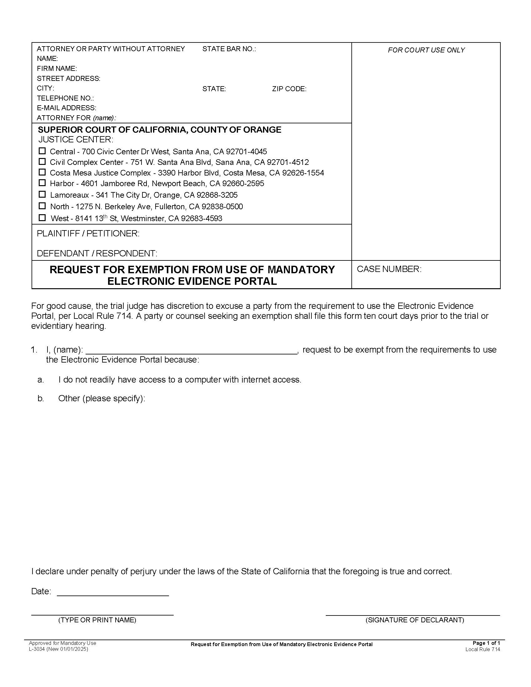
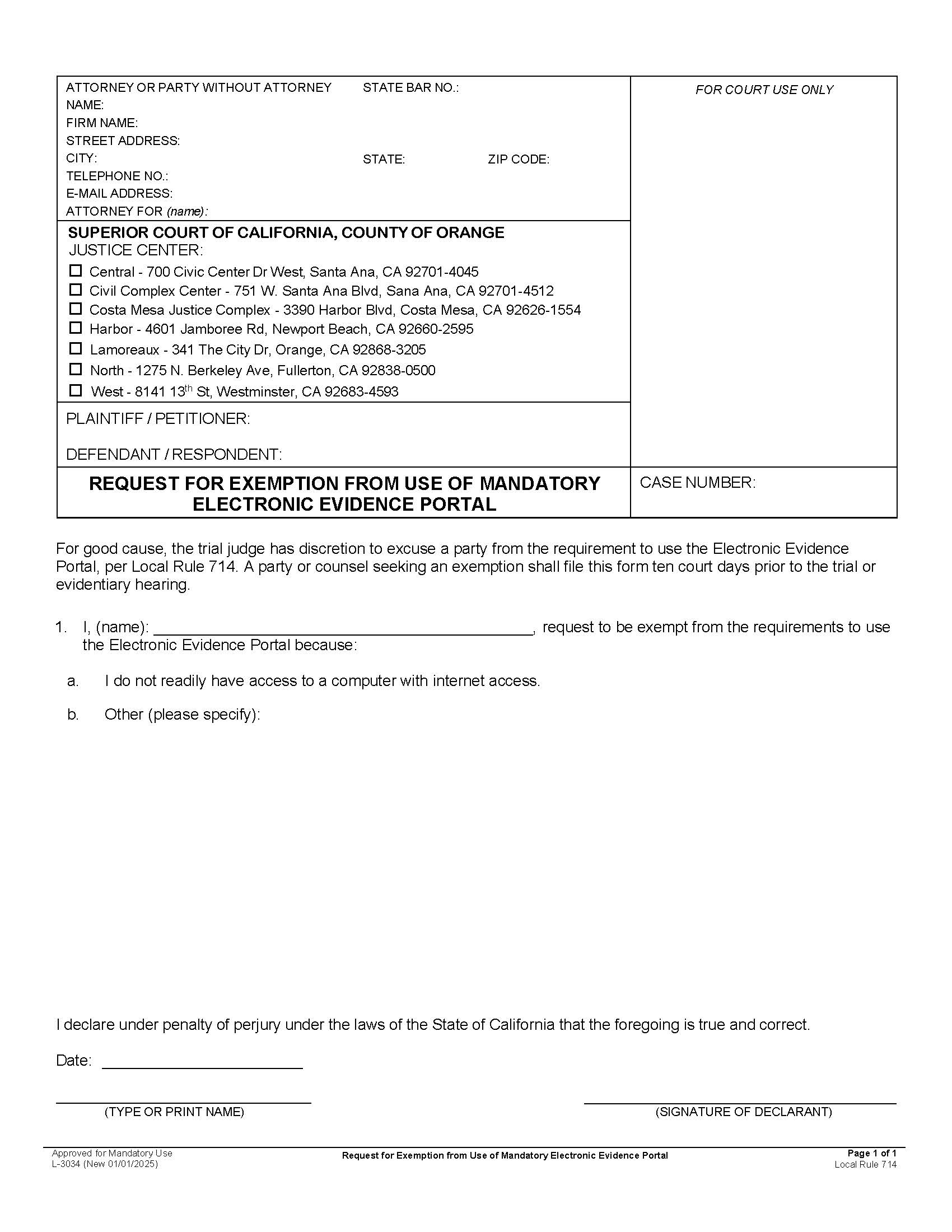
Request For Exemption From Use Of Mandatory Electronic Evidence Portal {L-3034}
Start Your Free Trial $ 14.00What you get:
- Instant access to fillable Microsoft Word or PDF forms.
- Minimize the risk of using outdated forms and eliminate rejected fillings.
- Largest forms database in the USA with more than 80,000 federal, state and agency forms.
- Download, edit, auto-fill multiple forms at once in MS Word using our Forms Workflow Ribbon
- Trusted by 1,000s of Attorneys and Legal Professionals
Description
L-3034 - REQUEST FOR EXEMPTION FROM USE OF MANDATORY ELECTRONIC EVIDENCE PORTAL This form is used in the Superior Court of California, County of Orange by a party or their attorney to request an exemption from the court’s requirement to submit evidence electronically through the Electronic Evidence Portal, as mandated by Local Rule 714. The form must be submitted at least ten court days prior to the trial or evidentiary hearing. The requesting party must explain why they are unable to comply, typically citing lack of access to a computer with internet, or another specific reason. The form requires the declarant to sign under penalty of perjury, affirming the truth of the information provided. Approved for Mandatory Use. www.FormsWorkflow.com
Related forms
-
Expedited Processing Attachment To Paternity Judgment
California/Local County/Orange/Family Law/ -
Request For Release Of Confidential Adoption Information And Order
California/Local County/Orange/Family Law/ -
Declaration For Writ Of Execution
California/Local County/Orange/Family Law/ -
Petition For Grandparent Visitation
California/Local County/Orange/Family Law/ -
Settlement Conference Brief
California/Local County/Orange/Family Law/ -
Order Appointing Expert (EC 730)
California/Local County/Orange/Family Law/ -
Exhibit Tags
California/Local County/Orange/Family Law/ -
Document Cover Sheet (Family Law)
California/Local County/Orange/Family Law/ -
Request For Status Or Family Centered Case Resolution Conference
California/Local County/Orange/Family Law/ -
Stipulation To Participate In Voluntary Settlement Conference
California/Local County/Orange/Family Law/ -
Notice Of Hearing Re Petition To Determine Parental Rights
California/Local County/Orange/Family Law/ -
Declaration And Order Dispensing With Notice To Alleged Natural Father
California/Local County/Orange/Family Law/ -
Petition To Determine Parental Rights Of Alleged Father
California/Local County/Orange/Family Law/ -
Verification (CCP 466 And 2015.5)
California/Local County/Orange/Family Law/ -
Findings And Order Of The Court
California/Local County/Orange/Family Law/ -
Expedited Processing Attachment To Dissolution Or Separation Judgment
California/Local County/Orange/Family Law/ -
Order To Vacate Judgment And Dismiss Action
California/Local County/Orange/Family Law/ -
Declaration In Support Of Modification Of Child Support
California/Local County/Orange/Family Law/ -
Order To Attend Court Or Provide Documents (Pre-Issued)
California/Local County/Orange/Family Law/ -
Exhibit Cover Sheet
California/2 Local County/Orange/Family Law/ -
Faretta Waiver
California/Local County/Orange/Family Law/ -
Response To Petition For Grandparent Visitation
California/2 Local County/Orange/Family Law/ -
Family Law Coversheet For Assignment To Orange County Justice Center
California/2 Local County/Orange/Family Law/ -
Order And Judgment Declaring Child(ren) Free From Parental Custody And Control
California/2 Local County/Orange/Family Law/ -
Petition For Declaring Child(ren) Free from Parental Custody And Control
California/2 Local County/Orange/Family Law/ -
Citation-Freedom From Parental Custody And Control
California/2 Local County/Orange/Family Law/ -
Application And Order To Restore Request For Order To Calendar
California/Local County/Orange/Family Law/ -
Confidential-Party Identification And Notice Of Related Case(s)
California/Local County/Orange/Family Law/ -
Declaration And Order For Inspection Of Confidential Parentage File
California/Local County/Orange/Family Law/ -
Gestational Surrogacy Cover Sheet
California/Local County/Orange/Family Law/ -
Declaration Re Notice Of Ex Parte Application
California/Local County/Orange/Family Law/ -
Statement Of Compliance QDRO-Other Retirement Plan
California/Local County/Orange/Family Law/ -
Request For Exemption From Use Of Mandatory Electronic Evidence Portal
California/Local County/Orange/Family Law/
Form Preview
Contact Us
Success: Your message was sent.
Thank you!




