Last updated: 6/18/2025
Affidavit And Request For Service {SC-006}
Start Your Free Trial $ 13.99What you get:
- Instant access to fillable Microsoft Word or PDF forms.
- Minimize the risk of using outdated forms and eliminate rejected fillings.
- Largest forms database in the USA with more than 80,000 federal, state and agency forms.
- Download, edit, auto-fill multiple forms at once in MS Word using our Forms Workflow Ribbon
- Trusted by 1,000s of Attorneys and Legal Professionals
Description
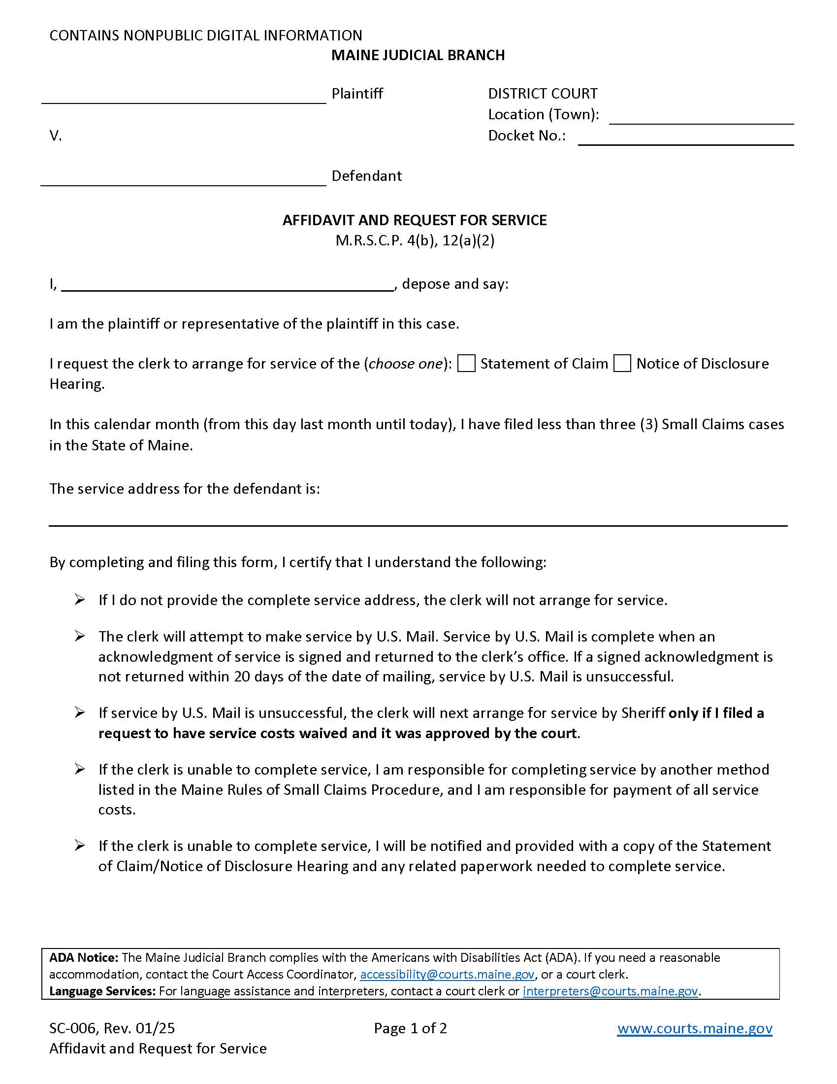
SC-006 - AFFIDAVIT AND REQUEST FOR SERVICE. This form is used in the Maine District Court by a plaintiff or the plaintiff’s representative to request that the court clerk arrange service of either a Statement of Claim or a Notice of Disclosure Hearing in a Small Claims case. The form certifies that the plaintiff has filed fewer than three Small Claims cases in Maine within the current calendar month and provides the defendant’s complete service address for use by the court. Upon submission, the clerk will first attempt service by U.S. Mail, and if that fails—and if a request to waive service costs has been granted—then service may proceed through the county sheriff. If these methods are unsuccessful, the responsibility for completing and paying for service shifts to the plaintiff. www.FormsWorkFlow.com





