Last updated: 4/14/2025
Misdemeanor Diversion Order (PC1001.95) {CR.060}
Start Your Free Trial $ 16.00What you get:
- Instant access to fillable Microsoft Word or PDF forms.
- Minimize the risk of using outdated forms and eliminate rejected fillings.
- Largest forms database in the USA with more than 80,000 federal, state and agency forms.
- Download, edit, auto-fill multiple forms at once in MS Word using our Forms Workflow Ribbon
- Trusted by 1,000s of Attorneys and Legal Professionals
Description
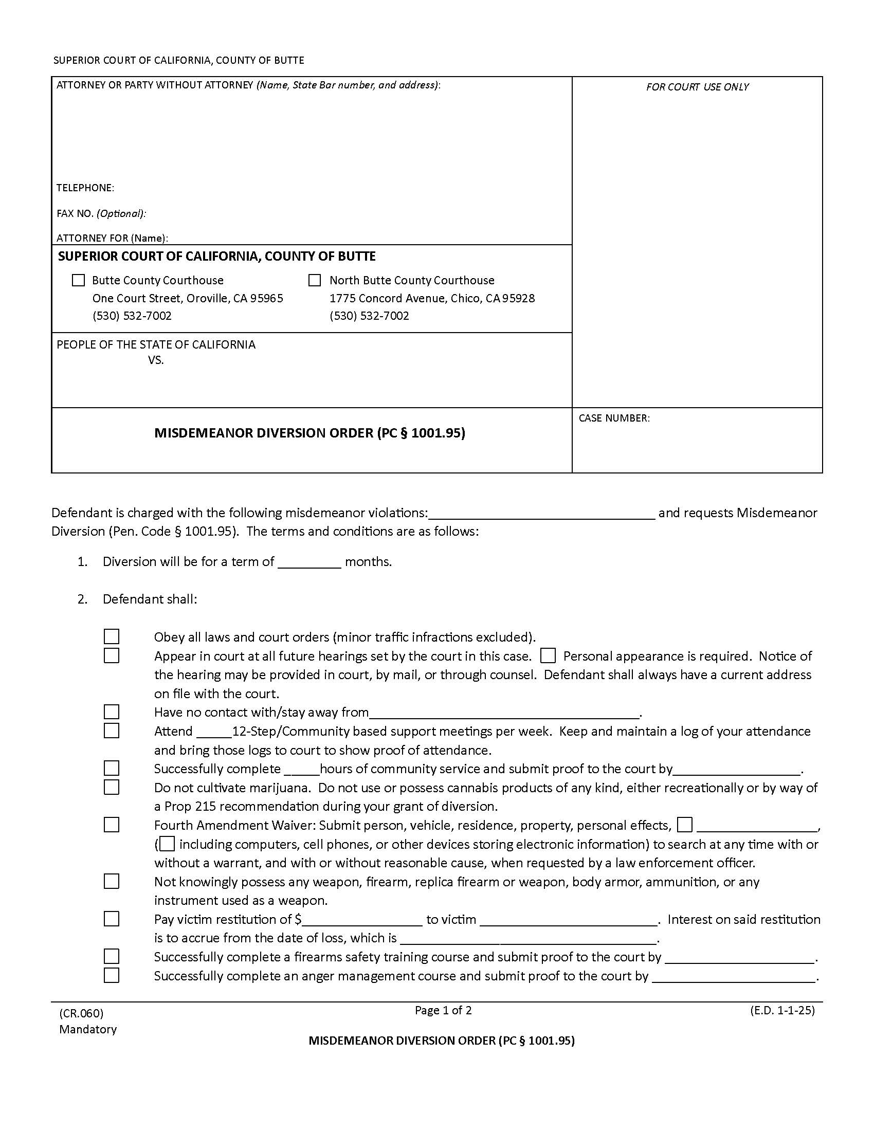
CR.060 - MISDEMEANOR DIVERSION ORDER (PC § 1001.95). This form is used by the Superior Court of California, County of Butte, to formally grant a defendant pretrial misdemeanor diversion under Penal Code section 1001.95. It is intended for defendants charged with misdemeanor offenses who are eligible for diversion—meaning they may avoid a criminal conviction if they comply with specific court-ordered terms and conditions over a set period. These conditions may include obeying all laws, attending support or treatment programs, performing community service, avoiding contact with certain individuals, not possessing weapons or drugs, and paying restitution to any victims. If the defendant successfully completes the diversion program within the time ordered, criminal charges may be dismissed, and no conviction will appear on their record. However, if the defendant fails to comply with the requirements, the court may reinstate criminal proceedings. By signing the form, the defendant agrees to all the terms of the diversion and acknowledges the consequences of noncompliance. www.FormsWorkflow.com





