Last updated: 3/12/2025
Motion For Case Assignment To The Business Court Program {SCCABC101}
Start Your Free Trial $ 5.99What you get:
- Instant access to fillable Microsoft Word or PDF forms.
- Minimize the risk of using outdated forms and eliminate rejected fillings.
- Largest forms database in the USA with more than 80,000 federal, state and agency forms.
- Download, edit, auto-fill multiple forms at once in MS Word using our Forms Workflow Ribbon
- Trusted by 1,000s of Attorneys and Legal Professionals
Description
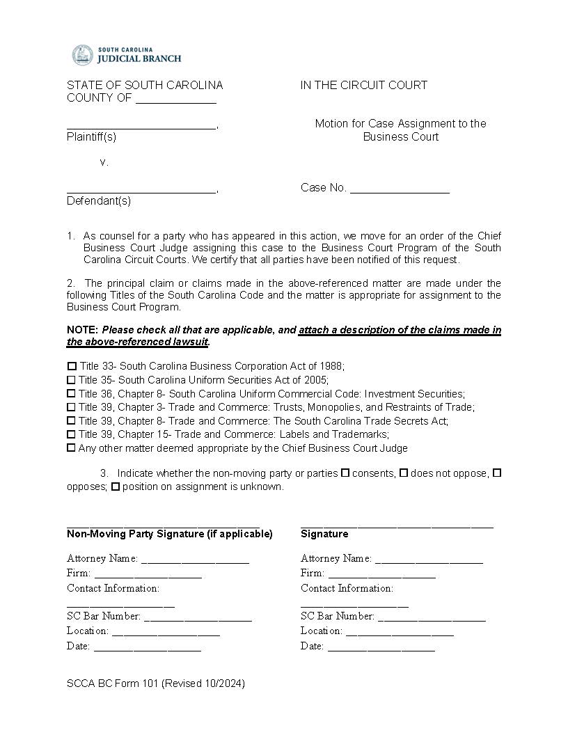
SCCA BC Form 101 - MOTION FOR CASE ASSIGNMENT TO THE BUSINESS COURT PROGRAM. This form is used to request that a case be assigned to South Carolina’s Business Court Program. This program is designed for handling complex business disputes. The form is filled out by a party's attorney to ask the Chief Business Court Judge for this assignment, certifying that the case was filed within the last 180 days and that all parties have been notified of the request. The form requires listing relevant South Carolina business laws that apply to the case, noting the stance of the non-moving party, and providing the attorneys’ details and signatures. www.FormsWorkflow.com
Related forms
-
Application For Post Conviction Relief
South Carolina/Statewide/Court Of Common Pleas/ -
Notice Of Appointment (Common Pleas)
South Carolina/Statewide/Court Of Common Pleas/ -
Order-Decision
South Carolina/Statewide/Court Of Common Pleas/ -
Summons For Arbitration
South Carolina/Statewide/Court Of Common Pleas/ -
Certificate Of Service
South Carolina/Statewide/Court Of Common Pleas/ -
Notice Of Confiscation-Request For Confiscation Hearing
South Carolina/Statewide/Court Of Common Pleas/ -
Release Of Confiscated Vehicle
South Carolina/Statewide/Court Of Common Pleas/ -
Order Ff Appointment (Common Pleas-Family Court)
South Carolina/Statewide/Court Of Common Pleas/ -
Subpoena In Civil Case
South Carolina/Statewide/Court Of Common Pleas/ -
Summons
South Carolina/Statewide/Court Of Common Pleas/ -
Verification
South Carolina/Statewide/Court Of Common Pleas/ -
Motion And Order Information Form And Cover Sheet
South Carolina/Statewide/Court Of Common Pleas/ -
Motion And Affidavit To Proceed In Forma Pauperis
South Carolina/Statewide/Court Of Common Pleas/ -
Order-Complex Case
South Carolina/Statewide/Court Of Common Pleas/ -
Consent Order Fast Track Jury Trial And Appointment Of Special Hearing Officer
South Carolina/Statewide/Court Of Common Pleas/ -
Form 4 Judgment In A Civil Case
South Carolina/Statewide/Court Of Common Pleas/ -
Certification Of Indigent Representation
South Carolina/Statewide/Court Of Common Pleas/ -
Summons And Notice Of Hearing
South Carolina/Statewide/Court Of Common Pleas/ -
Permanent Restraining Order
South Carolina/Statewide/Court Of Common Pleas/ -
Complaint For Permanent Restraining Order
South Carolina/Statewide/Court Of Common Pleas/ -
Response To Request To Correct Data Entry Error
South Carolina/Statewide/Court Of Common Pleas/ -
Request To Correct Data Entry Error
South Carolina/Statewide/Court Of Common Pleas/ -
Data Entry Error
South Carolina/Statewide/Court Of Common Pleas/ -
Certificate Of Technical Failure Or Technical Difficulties
South Carolina/Statewide/Court Of Common Pleas/ -
Notice Of Assignment Of Arbitrator
South Carolina/Statewide/Court Of Common Pleas/ -
Affidavit Of Default
South Carolina/Statewide/Court Of Common Pleas/ -
Civil Action Coversheet
South Carolina/Statewide/Court Of Common Pleas/ -
Claim For Property Damage
South Carolina/Statewide/Court Of Common Pleas/ -
Motion For Case Assignment To The Business Court Program
South Carolina/Statewide/Court Of Common Pleas/ -
Agreement
South Carolina/Statewide/Court Of Common Pleas/ -
Notice Of Arbitration Hearing
South Carolina/Statewide/Court Of Common Pleas/ -
Request To Be Excused From E-Filing
South Carolina/Statewide/Court Of Common Pleas/ -
Affidavit Of Service (Claim Served Herewith)
South Carolina/Statewide/Court Of Common Pleas/ -
Subpoena Duces Tecum
South Carolina/Statewide/Court Of Common Pleas/ -
Notice Of Confiscation Hearing
South Carolina/Statewide/Court Of Common Pleas/ -
Transcript Of Judgment
South Carolina/Statewide/Court Of Common Pleas/
Form Preview
Contact Us
Success: Your message was sent.
Thank you!




