Last updated: 7/17/2025
Notice Of Post Termination Of Parental Rights Change In Placement {JC-1664}
Start Your Free Trial $ 13.99What you get:
- Instant access to fillable Microsoft Word or PDF forms.
- Minimize the risk of using outdated forms and eliminate rejected fillings.
- Largest forms database in the USA with more than 80,000 federal, state and agency forms.
- Download, edit, auto-fill multiple forms at once in MS Word using our Forms Workflow Ribbon
- Trusted by 1,000s of Attorneys and Legal Professionals
Description
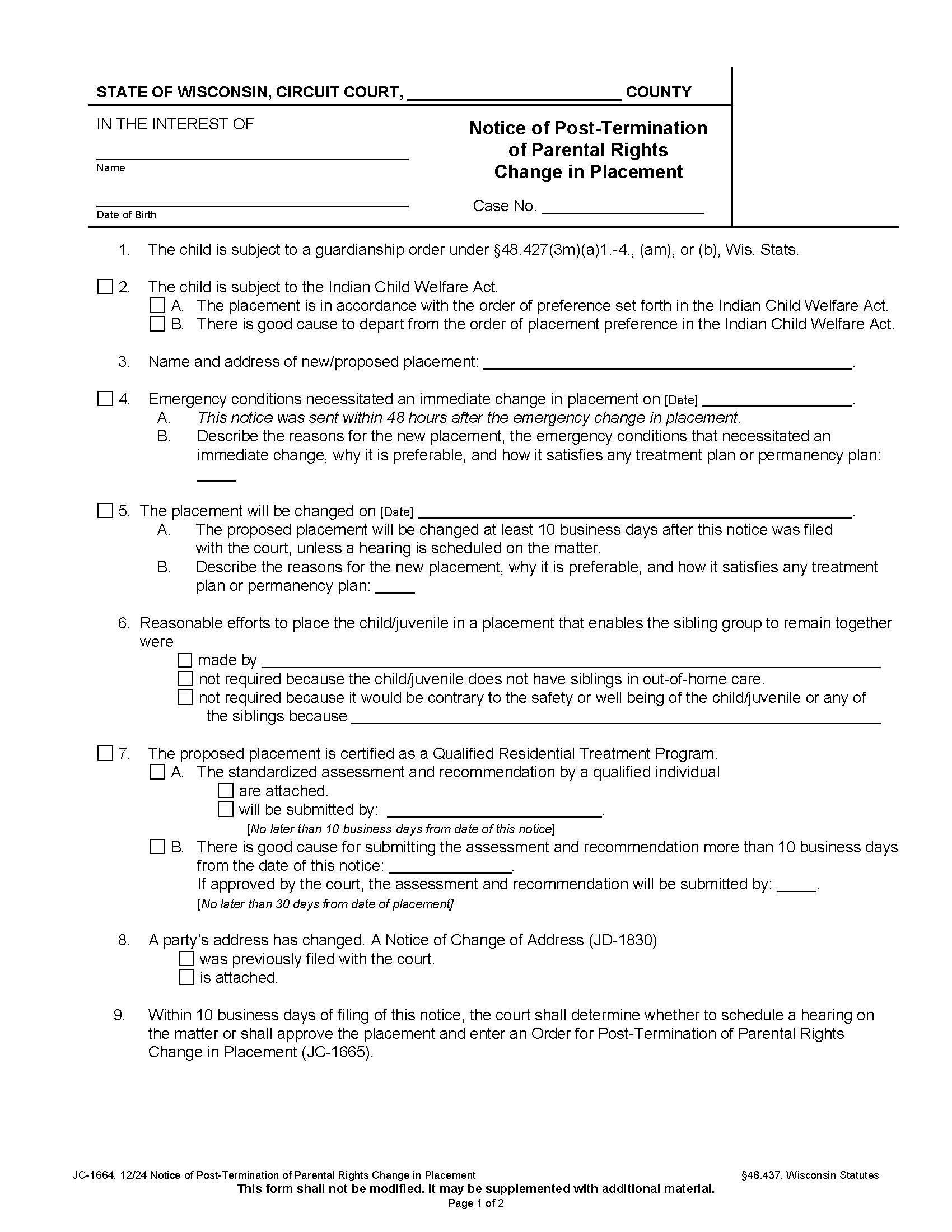
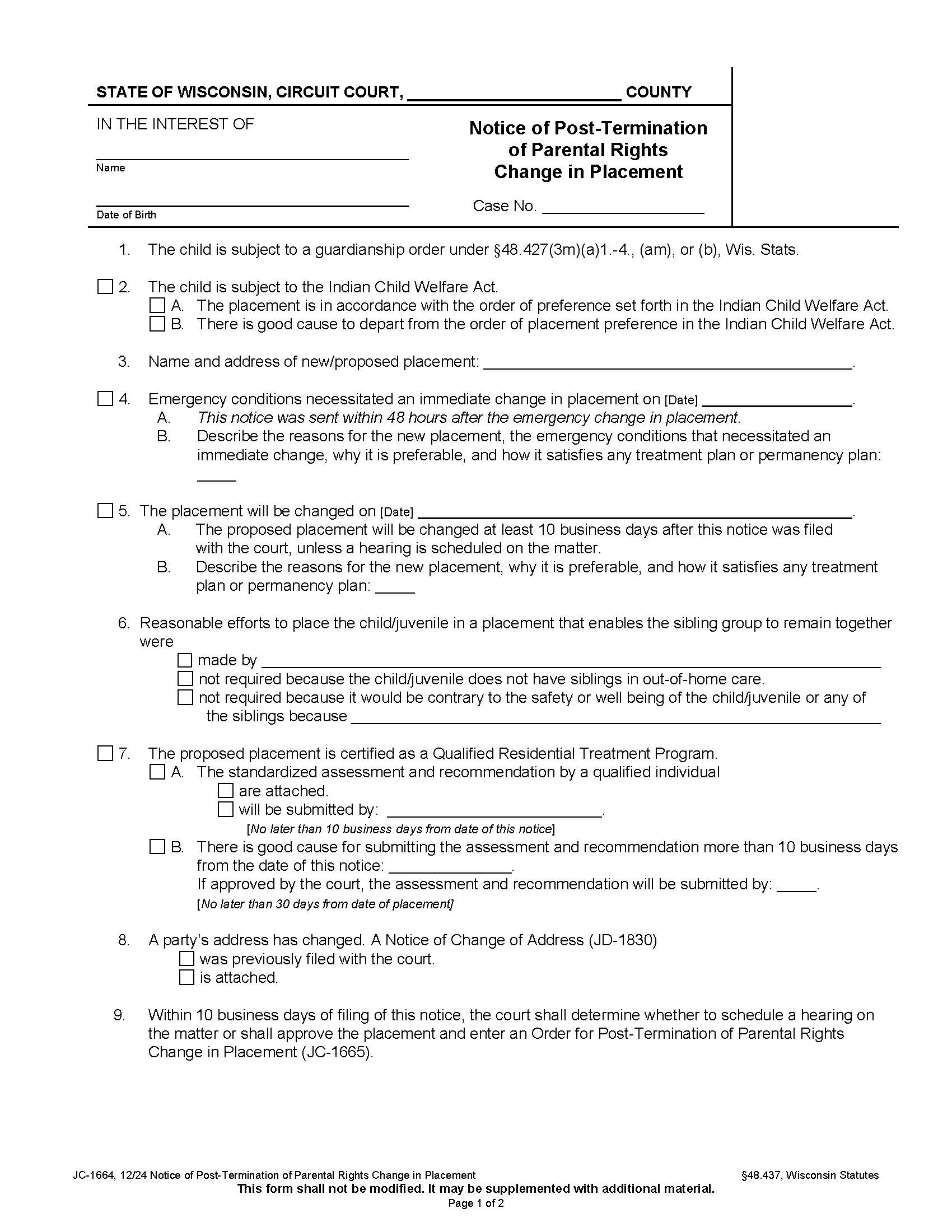
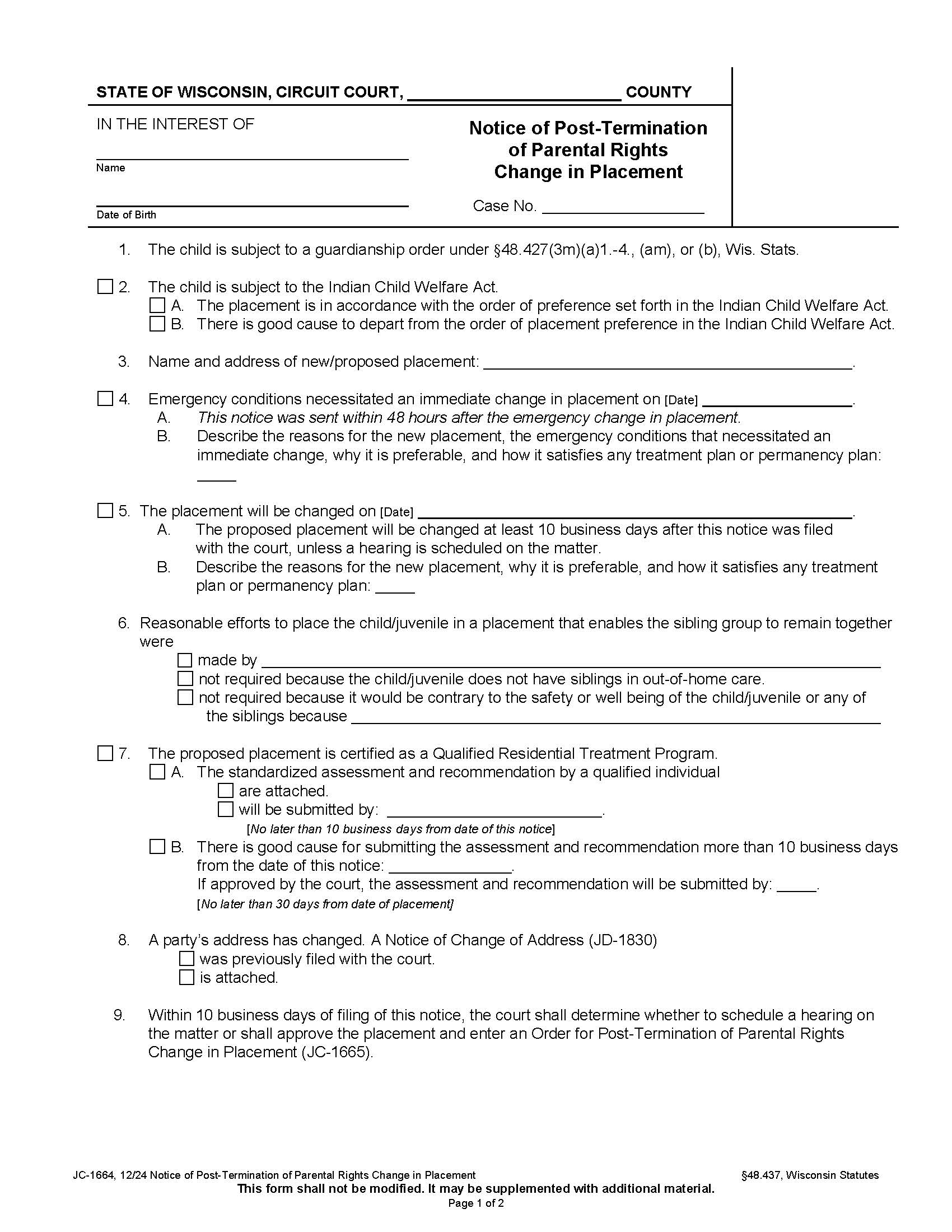
JC-1664 - NOTICE OF POST-TERMINATION OF PARENTAL RIGHTS CHANGE IN PLACEMENT. This form is used in the Wisconsin Circuit Court to provide official notice of a change in placement for a child who is under a guardianship order following the termination of parental rights. It serves to inform the court and all relevant parties—such as the child’s guardian, legal custodian, foster parents, caseworkers, and any involved tribe if the Indian Child Welfare Act (ICWA) applies—of the specifics regarding the new or proposed placement. The form includes the address of the new placement, the reasons for the change, and whether the change was made under emergency conditions or is scheduled to occur after notice. It also addresses whether efforts were made to maintain sibling group placement, whether the placement is a Qualified Residential Treatment Program, and if any assessment or recommendation is pending. The form provides a section to report any address changes of involved parties and notifies the court that a determination will be made within 10 business days to either schedule a hearing or approve the change through an order. §48.437, Wisconsin Statutes. www.FormsWorkflow.com
Related forms
-
Summons
Wisconsin/Statewide/Circuit Court/Juvenile/ -
ICWA Summons
Wisconsin/Statewide/Circuit Court/Juvenile/ -
Indian Child Adoptee Information
Wisconsin/Statewide/Circuit Court/Juvenile/ -
Active Efforts Supplement - Indian Child Welfare Act
Wisconsin/Statewide/Circuit Court/Juvenile/ -
Plea Questionaire Waiver Of Rights
Wisconsin/Statewide/Circuit Court/Juvenile/ -
Plea Questionnaire - Waiver Of Rights (Juvenile)
Wisconsin/Statewide/Circuit Court/Juvenile/ -
Waiver Of Right To Attorney (Child Or Juvenile)
Wisconsin/Statewide/Circuit Court/Juvenile/ -
Notice Concerning Grounds To Terminate Parental Rights
Wisconsin/Statewide/Circuit Court/Juvenile/ -
Public Defender Response Order Concerning Recoupment
Wisconsin/Statewide/Circuit Court/Juvenile/ -
Request To Inspect Juvenile Court Records
Wisconsin/Statewide/Circuit Court/Juvenile/ -
Notice Of Rights And Obligations
Wisconsin/Statewide/Circuit Court/Juvenile/ -
Order Concerning Recoupment
Wisconsin/Statewide/Circuit Court/Juvenile/ -
Order To Inspect Juvenile Court Records
Wisconsin/Statewide/Circuit Court/Juvenile/ -
Injunction For Child Abuse
Wisconsin/Statewide/Circuit Court/Juvenile/ -
Acknowledgment Of Dispositional Conditions And Sanctions Habitual Truancy
Wisconsin/Statewide/Circuit Court/Juvenile/ -
Confidential Foster Parent Information
Wisconsin/1 Statewide/Circuit Court/Juvenile/ -
Affidavit And Motion For Sanctions
Wisconsin/Statewide/Circuit Court/Juvenile/ -
Consent Decree (In-Home Placement Only)
Wisconsin/Statewide/Circuit Court/Juvenile/ -
Consent of Child-Juvenile to Medical Services
Wisconsin/Statewide/Circuit Court/Juvenile/ -
Case Closure Order
Wisconsin/Statewide/Circuit Court/Juvenile/ -
Annual Report On Condition Of The Child
Wisconsin/1 Statewide/Circuit Court/Juvenile/ -
Certificate To Delegation Of Powers Under 48.979 Of An Indian Child
Wisconsin/Statewide/Circuit Court/Juvenile/ -
Consent To Use Mothers Name For Publication
Wisconsin/Statewide/Circuit Court/Juvenile/ -
Consent To Termination Of Parental Rights (Judicial) ICWA
Wisconsin/Statewide/Circuit Court/Juvenile/ -
Consent To Delegation Of Powers ICWA
Wisconsin/Statewide/Circuit Court/Juvenile/ -
Consent To Termination Of Parental Rights (Judicial)
Wisconsin/Statewide/Circuit Court/Juvenile/ -
Consent To Termination Of Parental Rights (Affidavit)
Wisconsin/Statewide/Circuit Court/Juvenile/ -
Dispositional Order Appointing Guardian
Wisconsin/1 Statewide/Circuit Court/Juvenile/ -
Dispositional Order Of Unborn Child
Wisconsin/Statewide/Circuit Court/Juvenile/ -
Dispositional Order Civil Law Ordinance Violation
Wisconsin/Statewide/Circuit Court/Juvenile/ -
ICWA Summons (Termination Of Parental Rights)
Wisconsin/Statewide/Circuit Court/Juvenile/ -
Nomination Of Guardian By Parent Or Child
Wisconsin/1 Statewide/Circuit Court/Juvenile/ -
Medical Authorization
Wisconsin/Statewide/Circuit Court/Juvenile/ -
Letters Of Guardianship And Dispositional Order Appointing Emergency Guardian
Wisconsin/1 Statewide/Circuit Court/Juvenile/ -
Notice Of Change Of Address
Wisconsin/1 Statewide/Circuit Court/Juvenile/ -
Motion For Transfer To Tribal Court ICWA
Wisconsin/Statewide/Circuit Court/Juvenile/ -
Notice And Order Of Hearing (For Publication)
Wisconsin/Statewide/Circuit Court/Juvenile/ -
Notice Of Medical Information And Birth-Adoptive Parent Identifying Information Disclosure
Wisconsin/Statewide/Circuit Court/Juvenile/ -
Order Concerning Petition To Expunge Court Record Of Adjudication
Wisconsin/Statewide/Circuit Court/Juvenile/ -
Notice To School District To Transfer Records
Wisconsin/Statewide/Circuit Court/Juvenile/ -
Order Concerning Removal Of Firearm Restriction
Wisconsin/Statewide/Circuit Court/Juvenile/ -
Notice Of Right To Seek Postdisposition Relief
Wisconsin/Statewide/Circuit Court/Juvenile/ -
Notice Of Right To Seek Post-Judgment Relief
Wisconsin/Statewide/Circuit Court/Juvenile/ -
Order Concerning Competency Or Mental Responsibility Determination
Wisconsin/Statewide/Circuit Court/Juvenile/ -
Order Dismissing Petition
Wisconsin/Statewide/Circuit Court/Juvenile/ -
Order For Adoptive Placement
Wisconsin/Statewide/Circuit Court/Juvenile/ -
Order For Appointment Of Successor Guardian
Wisconsin/1 Statewide/Circuit Court/Juvenile/ -
Order For Hearing And Screening (Stepparent Adoption)
Wisconsin/Statewide/Circuit Court/Juvenile/ -
Order For Examination Or Assessment
Wisconsin/Statewide/Circuit Court/Juvenile/ -
Order For Payment Of Guardian Ad Litem Fees And Expenses For Child Juvenile
Wisconsin/Statewide/Circuit Court/Juvenile/ -
Order For Hearing And Investigation
Wisconsin/Statewide/Circuit Court/Juvenile/ -
Order For Recoupment Of Costs Of Legal Services
Wisconsin/Statewide/Circuit Court/Juvenile/ -
Order For Temporary Physical Custody Expectant Mother
Wisconsin/Statewide/Circuit Court/Juvenile/ -
Order On Petition For Minor Child Adoption
Wisconsin/Statewide/Circuit Court/Juvenile/ -
Order On Petition To Discharge Guardian
Wisconsin/1 Statewide/Circuit Court/Juvenile/ -
Order On Motion For Transfer To Tribal Court
Wisconsin/Statewide/Circuit Court/Juvenile/ -
Order On Petition Vacating Consent Decree And Reinstating Proceedings
Wisconsin/Statewide/Circuit Court/Juvenile/ -
Order On Petition For Voluntary Transition to Independent Living Agreement
Wisconsin/Statewide/Circuit Court/Juvenile/ -
Order On Motion For Sanctions
Wisconsin/1 Statewide/Circuit Court/Juvenile/ -
Order On Petition For Termination Of Guardianship
Wisconsin/1 Statewide/Circuit Court/Juvenile/ -
Order On Petition To Revise Guardianship Order
Wisconsin/1 Statewide/Circuit Court/Juvenile/ -
Order On Petition To Remove Guardian For Cause
Wisconsin/1 Statewide/Circuit Court/Juvenile/ -
Order Terminating Dispositional Order
Wisconsin/Statewide/Circuit Court/Juvenile/ -
Order On Request To Reconsider Or Modify Emergency Guardianship Order
Wisconsin/1 Statewide/Circuit Court/Juvenile/ -
Order On Request To Extend Guardianship
Wisconsin/1 Statewide/Circuit Court/Juvenile/ -
Order On Request To Terminate Guardianship
Wisconsin/1 Statewide/Circuit Court/Juvenile/ -
Order Registering Foreign Adoption
Wisconsin/Statewide/Circuit Court/Juvenile/ -
Order To Discharge Guardian
Wisconsin/1 Statewide/Circuit Court/Juvenile/ -
Order On Request To Modify Order
Wisconsin/1 Statewide/Circuit Court/Juvenile/ -
Order On Waiver Of Parental Consent For Abortion
Wisconsin/Statewide/Circuit Court/Juvenile/ -
Order On Review Of Conduct Of The Guardian
Wisconsin/1 Statewide/Circuit Court/Juvenile/ -
Order To Provide Statement Of Income Assets Debts And Living Expenses
Wisconsin/Statewide/Circuit Court/Juvenile/ -
Order To Open Court Records For Inspection
Wisconsin/Statewide/Circuit Court/Juvenile/ -
Order To Impose Stayed Delinquency Dispositional Order
Wisconsin/Statewide/Circuit Court/Juvenile/ -
Petition For A Voluntary Transition to Independent Living Agreement
Wisconsin/Statewide/Circuit Court/Juvenile/ -
Petition For Appointment Of Successor Guardian
Wisconsin/1 Statewide/Circuit Court/Juvenile/ -
Petition For Examination Or Assessment
Wisconsin/Statewide/Circuit Court/Juvenile/ -
Petition For Protection Or Care Of An Unborn Child Chapter 48
Wisconsin/Statewide/Circuit Court/Juvenile/ -
Petition For Waiver Of Jurisdiction
Wisconsin/Statewide/Circuit Court/Juvenile/ -
Petition For Review Of Conduct Of Guardian
Wisconsin/1 Statewide/Circuit Court/Juvenile/ -
Request And Authorization To Open Court Records For Inspection
Wisconsin/Statewide/Circuit Court/Juvenile/ -
Petition To Vacate Consent Decree-Waiver Of Hearing
Wisconsin/Statewide/Circuit Court/Juvenile/ -
Report Of Guardian Ad Litem For Guardianship Of Child
Wisconsin/1 Statewide/Circuit Court/Juvenile/ -
Priority Placement Order (Interstate Compact On The Placement Of Children)
Wisconsin/Statewide/Circuit Court/Juvenile/ -
Petition To Waive Parental Consent For Abortion
Wisconsin/Statewide/Circuit Court/Juvenile/ -
Resignation Of Guardian
Wisconsin/1 Statewide/Circuit Court/Juvenile/ -
Resignation Of Guardian
Wisconsin/1 Statewide/Circuit Court/Juvenile/ -
Request To Extend Consent Decree
Wisconsin/Statewide/Circuit Court/Juvenile/ -
Request For Custody By School Attendance Officer Designation By School District Administrator
Wisconsin/Statewide/Circuit Court/Juvenile/ -
Request To Impose Stayed Delinquency Dispositional Order
Wisconsin/Statewide/Circuit Court/Juvenile/ -
Request to Modify, Extend Limited-Temporary Reconsider-Modify Emergency Or Terminate Guardianship
Wisconsin/1 Statewide/Circuit Court/Juvenile/ -
Stipulation For Consent Decree (In-Home Placement Only)
Wisconsin/Statewide/Circuit Court/Juvenile/ -
Summons For Termination of Parental Rights
Wisconsin/Statewide/Circuit Court/Juvenile/ -
Statement Of Income Assets Debts And Living Expenses
Wisconsin/Statewide/Circuit Court/Juvenile/ -
Teen Court Referral
Wisconsin/Statewide/Circuit Court/Juvenile/ -
Stipulation For Consent Decree (Out-of-Home Placement Only)
Wisconsin/Statewide/Circuit Court/Juvenile/ -
Temporary Order Appointing An Emergency Guardian
Wisconsin/1 Statewide/Circuit Court/Juvenile/ -
Stipulation For Consent Decree (Out-Of-Home Placement Only)
Wisconsin/Statewide/Circuit Court/Juvenile/ -
Waiver Of Immediate Notice Parental Consent Abortion Waivers
Wisconsin/Statewide/Circuit Court/Juvenile/ -
Waiver Of Participation In Nonsecure Physical Custody Hearing
Wisconsin/Statewide/Circuit Court/Juvenile/ -
Temporary Physical Custody Request Supplement-Ch 48
Wisconsin/Statewide/Circuit Court/Juvenile/ -
Order on Petition for Minor Child Adoption
Wisconsin/Statewide/Circuit Court/Juvenile/ -
Judgment For Unpaid Restitution Forfeiture
Wisconsin/Statewide/Circuit Court/Juvenile/ -
Notice Of Intent To Enter Civil Judgment For Restitution-Forfeiture-Surcharge
Wisconsin/Statewide/Circuit Court/Juvenile/ -
Notice Of Right To Seek Postdisposition Relief
Wisconsin/Statewide/Circuit Court/Juvenile/ -
Petition Under Ch 938 - Delinquency-Protection Or Services-Civil Law Or Ordinances
Wisconsin/Statewide/Circuit Court/Juvenile/ -
Petition For Protection Or Services (Chapter 938) ICWA
Wisconsin/Statewide/Circuit Court/Juvenile/ -
Dispositional Order-Protection Or Services With Termination Of Parental Rights
Wisconsin/Statewide/Circuit Court/Juvenile/ -
Dispositional Order Protection Or Services Chapter 938
Wisconsin/Statewide/Circuit Court/Juvenile/ -
Dispositional Order - Protection Or Services With TPR Notice
Wisconsin/1 Statewide/Circuit Court/Juvenile/ -
Consent Decree (Out-Of-Home Placement Only)
Wisconsin/Statewide/Circuit Court/Juvenile/ -
Petition To Terminate-Revise Guardianship Order Or Remove Guardian For Cause
Wisconsin/1 Statewide/Circuit Court/Juvenile/ -
Order To Consolidate Minor Guardianship Of The Child And Estate Cases
Wisconsin/1 Statewide/Circuit Court/Juvenile/ -
Consent Decree (Out of Home Placement Only)
Wisconsin/Statewide/Circuit Court/Juvenile/ -
Dispositional Order-Protection Or Services With Termination Of Parental Rights
Wisconsin/Statewide/Circuit Court/Juvenile/ -
Letters Of Guardianship
Wisconsin/1 Statewide/Circuit Court/Juvenile/ -
Order For Temporary Physical Custody-Secure-Nonsecure-ICWA
Wisconsin/Statewide/Circuit Court/Juvenile/ -
Notice Change In Placement ICWA
Wisconsin/Statewide/Circuit Court/Juvenile/ -
Affidavit Of Clergyperson To Waive Parental Consent For Abortion
Wisconsin/Statewide/Circuit Court/Juvenile/ -
Petition For Adoptive Placement
Wisconsin/Statewide/Circuit Court/Juvenile/ -
Petition For Minor Child Adoption
Wisconsin/Statewide/Circuit Court/Juvenile/ -
Notice To School
Wisconsin/Statewide/Circuit Court/Juvenile/ -
Dispositional Order - Delinquent With Termination Of Parental Rights
Wisconsin/1 Statewide/Circuit Court/Juvenile/ -
Petition For Judgment Against Juvenile Parent For Unpaid Restitution
Wisconsin/Statewide/Circuit Court/Juvenile/ -
Petition For Judgment Against Juvenile Parent For Unpaid Forfeiture
Wisconsin/Statewide/Circuit Court/Juvenile/ -
Short Term Detention - Pending Investigation-As A Consequence
Wisconsin/Statewide/Circuit Court/Juvenile/ -
Petition For Removal Of Firearm Restriction
Wisconsin/Statewide/Circuit Court/Juvenile/ -
Statement By Proposed Guardian
Wisconsin/1 Statewide/Circuit Court/Juvenile/ -
Letters Of Guardianship And Dispositional Order Appointing Guardian
Wisconsin/1 Statewide/Circuit Court/Juvenile/ -
Dispositional Order - Delinquent
Wisconsin/Statewide/Circuit Court/Juvenile/ -
Request For Case Closure Order
Wisconsin/Statewide/Circuit Court/Juvenile/ -
Petition For Order Of Foreign Adoption
Wisconsin/Statewide/Circuit Court/Juvenile/ -
Petition To Expunge Court Record Of Adjudication-Recommendation Of District Attorney
Wisconsin/Statewide/Circuit Court/Juvenile/ -
Temporary Physical Custody Request
Wisconsin/Statewide/Circuit Court/Juvenile/ -
Stipulation To Revise Dispositional Order
Wisconsin/Statewide/Circuit Court/Juvenile/ -
Statement Of Guardian Ad Litem (Chapters 48 And 938)
Wisconsin/Statewide/Circuit Court/Juvenile/ -
Request To Change Placement- Revise Dispositional Order ICWA
Wisconsin/Statewide/Circuit Court/Juvenile/ -
Request To Change Placement - Revise Dispositional Order
Wisconsin/Statewide/Circuit Court/Juvenile/ -
Request For Transition To Discharge Hearing
Wisconsin/Statewide/Circuit Court/Juvenile/ -
Postdisposition Emergency Change In Placement Order With Termination Of Parental Rights
Wisconsin/Statewide/Circuit Court/Juvenile/ -
Order To Revise Dispositional Order
Wisconsin/Statewide/Circuit Court/Juvenile/ -
Order Of Extension Of Trial Reunification
Wisconsin/Statewide/Circuit Court/Juvenile/ -
Order Granting Temporary Extension Of Trial Reunification
Wisconsin/Statewide/Circuit Court/Juvenile/ -
Order Granting Temporary Extension
Wisconsin/Statewide/Circuit Court/Juvenile/ -
Order For Trial Reunification
Wisconsin/Statewide/Circuit Court/Juvenile/ -
Order For Revocation Of Trial Reunification
Wisconsin/Statewide/Circuit Court/Juvenile/ -
Order For Post Termination Of Parental Rights
Wisconsin/Statewide/Circuit Court/Juvenile/ -
Order For Extension Of Dispositional Order With Termination Of Parental Rights
Wisconsin/1 Statewide/Circuit Court/Juvenile/ -
Order For Extension Of Dispositional Order (Out Of Home Placement Only)
Wisconsin/Statewide/Circuit Court/Juvenile/ -
Order For Extension Of Dispositional Order (In Home Placement Only)
Wisconsin/Statewide/Circuit Court/Juvenile/ -
Order For Extension Of Dispo Order-Consent Decree With Termination Of Parental Rights
Wisconsin/1 Statewide/Circuit Court/Juvenile/ -
Order For Extension Of Dispo Order-Consent Decree (Out Of Home Placement Only)
Wisconsin/Statewide/Circuit Court/Juvenile/ -
Order For Change Of Placement With Termination Of Parental Rights
Wisconsin/Statewide/Circuit Court/Juvenile/ -
Order For Change Of Placement With Termination Of Parental Rights
Wisconsin/Statewide/Circuit Court/Juvenile/ -
Order For Change Of Placement With Termination Of Parental Rights
Wisconsin/Statewide/Circuit Court/Juvenile/ -
Order For Change Of Placement (Out Of Home To In Home Placement Only)
Wisconsin/Statewide/Circuit Court/Juvenile/ -
Order For Change Of Placement (In Home To In Home Placement Only)
Wisconsin/Statewide/Circuit Court/Juvenile/ -
Order For Change In Placement
Wisconsin/1 Statewide/Circuit Court/Juvenile/ -
Order Appointing Guardian Ad Litem Or Attorney (Chapter 48 And 938)
Wisconsin/Statewide/Circuit Court/Juvenile/ -
Notice Of Postdisposition Emergency Change In Placement
Wisconsin/Statewide/Circuit Court/Juvenile/ -
Notice Of Post-Disposition Change Of Placement
Wisconsin/Statewide/Circuit Court/Juvenile/ -
Notice Of Post Termination Of Parental Rights Change In Placement
Wisconsin/Statewide/Circuit Court/Juvenile/ -
Notice Of Permanency Hearing
Wisconsin/Statewide/Circuit Court/Juvenile/ -
Notice Of Hearing (Juvenile) ICWA
Wisconsin/Statewide/Circuit Court/Juvenile/ -
Notice And Request For Trial Reunification-Extension-Revocation
Wisconsin/Statewide/Circuit Court/Juvenile/ -
Dispositional Order Appointing Guardian For Child Without Living Parent
Wisconsin/1 Statewide/Circuit Court/Juvenile/ -
Consent To Act As Guardian Ad Litem Or Attorney (Ch. 48 and 938)
Wisconsin/Statewide/Circuit Court/Juvenile/ -
Temporary Physical Custody Request
Wisconsin/Statewide/Circuit Court/Juvenile/ -
Petition In Juvenile Court For Temporary Restraining Order And-Or Injunction (Harassment)
Wisconsin/Statewide/Circuit Court/Juvenile/ -
Petition For Termination Of Parental Rights
Wisconsin/Statewide/Circuit Court/Juvenile/ -
Petition For Termination Of Parental Rights - ICWA
Wisconsin/Statewide/Circuit Court/Juvenile/ -
Petition For Temporary Restraining Order And-Or Injunction (Child Abuse)
Wisconsin/Statewide/Circuit Court/Juvenile/ -
Petition For Protection Or Services (Chapter 48)
Wisconsin/Statewide/Circuit Court/Juvenile/ -
Petition For Protection Or Services - Chapter 48 (ICWA)
Wisconsin/Statewide/Circuit Court/Juvenile/ -
Petition For Appointment Of Guardian For Child Without Living Parent
Wisconsin/1 Statewide/Circuit Court/Juvenile/ -
Petition For Appointment Of Guardian
Wisconsin/1 Statewide/Circuit Court/Juvenile/ -
Petition For Appointment Of Guardian
Wisconsin/1 Statewide/Circuit Court/Juvenile/ -
Petition For Appointment Of Guardian (Full-Limited-Temporary Guardianship)
Wisconsin/1 Statewide/Circuit Court/Juvenile/ -
Petition For Appointment Of Emergency Guardian
Wisconsin/1 Statewide/Circuit Court/Juvenile/ -
Permanency Plan Hearing Order With Termination Of Parental Rights
Wisconsin/Statewide/Circuit Court/Juvenile/ -
Permanency Hearing Order
Wisconsin/Statewide/Circuit Court/Juvenile/ -
Order For Temporary Physical Custody (Secure Or Non-Secure)
Wisconsin/Statewide/Circuit Court/Juvenile/ -
Order For Revision Of Dispositional Order
Wisconsin/Statewide/Circuit Court/Juvenile/ -
Order Concerning Termination Of Parental Rights (Voluntary) ICWA
Wisconsin/Statewide/Circuit Court/Juvenile/ -
Order Concerning Termination Of Parental Rights (Voluntary)
Wisconsin/Statewide/Circuit Court/Juvenile/ -
Order Concerning Termination Of Parental Rights (Involuntary) ICWA
Wisconsin/Statewide/Circuit Court/Juvenile/ -
Notice Of Rights And Obligations
Wisconsin/Statewide/Circuit Court/Juvenile/ -
Acknowledgment Of Dispositional Conditions And Sanctions Delinquency JIPS
Wisconsin/Statewide/Circuit Court/Juvenile/ -
Permanency Hearing Order With Termination Of Parental Rights
Wisconsin/Statewide/Circuit Court/Juvenile/ -
Order Concerning Termination Of Parental Rights (Involuntary)
Wisconsin/Statewide/Circuit Court/Juvenile/ -
Temporary Physical Custody Request
Wisconsin/Statewide/Circuit Court/Juvenile/ -
Dispositional Order Protection Or Services With Termination Of Parental Rights
Wisconsin/1 Statewide/Circuit Court/Juvenile/ -
Dispositional Order Protection Or Services Chapter 48
Wisconsin/Statewide/Circuit Court/Juvenile/ -
Temporary Restraining Order And Notice Of Injunction Hearing (Child Abuse - 30711)
Wisconsin/Statewide/Circuit Court/Juvenile/ -
Notice Of Hearing Juvenile
Wisconsin/Statewide/Circuit Court/Juvenile/ -
Consent To Adoption
Wisconsin/Statewide/Circuit Court/Juvenile/
Form Preview
Contact Us
Success: Your message was sent.
Thank you!




