Last updated: 12/24/2024
Verified Statement Of Filing Fee {CCCH 0108}
Start Your Free Trial $ 13.99What you get:
- Instant access to fillable Microsoft Word or PDF forms.
- Minimize the risk of using outdated forms and eliminate rejected fillings.
- Largest forms database in the USA with more than 80,000 federal, state and agency forms.
- Download, edit, auto-fill multiple forms at once in MS Word using our Forms Workflow Ribbon
- Trusted by 1,000s of Attorneys and Legal Professionals
Description
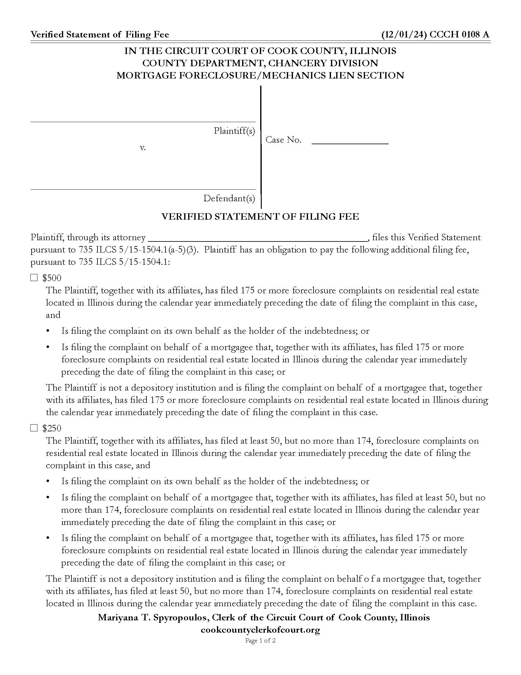
CCCH 0108 - VERIFIED STATEMENT OF FILING FEE. This form filed by a plaintiff or their attorney in a foreclosure complaint case in Illinois, pursuant to 735 ILCS 5/15-1504.1(a-5)(3). The form outlines the additional filing fees that the plaintiff must pay based on the number of foreclosure complaints they have filed on residential real estate located in Illinois during the previous calendar year, and whether they are filing the complaint on their own behalf or on behalf of a mortgagee. The options for the additional filing fees are $500, $250, or $50. The form also contains a certification that the information provided is true and correct to the best of the undersigned's knowledge. www.FormsWorkflow.com
Related forms
-
2013 Mortgage Foreclosure Calendar Call Order
Illinois/Local County/Cook/Chancery/ -
Mortgage Foreclosure Calendar Call Form
Illinois/Local County/Cook/Chancery/ -
Affidavit Of Special Process Server
Illinois/Local County/Cook/Chancery/ -
Affidavit Of Amounts Due And Owing
Illinois/Local County/Cook/Chancery/ -
Attachment Order
Illinois/Local County/Cook/Chancery/ -
Loss Mitigation Affidavit
Illinois/2 Local County/Cook/Chancery/ -
Mortgage Foreclosure Case Management Form
Illinois/Local County/Cook/Chancery/ -
General Chancery Court-Annexed Mediation Order Of Referral
Illinois/Local County/Cook/Chancery/ -
Complaint For Illinois Administrative Review
Illinois/Local County/Cook/Chancery/ -
Chancery Division Civil Cover Sheet - Mortgage Foreclosure-Mechanics Lien Section
Illinois/Local County/Cook/Chancery/ -
Chancery Division Civil Cover Sheet
Illinois/Local County/Cook/Chancery/ -
Case Management Status Order
Illinois/Local County/Cook/Chancery/ -
Mortgage Foreclosure Case Management-Status Order (Residential And Commercial)
Illinois/Local County/Cook/Chancery/ -
Mortgage Foreclosure Mediation 21-Day Status Order
Illinois/Local County/Cook/Chancery/ -
Mortgage Foreclosure Mediation Referral Order (Form 7)
Illinois/Local County/Cook/Chancery/ -
Mortgage Foreclosure Mediation Status Order (Form 8)
Illinois/Local County/Cook/Chancery/ -
Mortgage Foreclosure Summons
Illinois/Local County/Cook/Chancery/ -
Motion Slip
Illinois/Local County/Cook/Chancery/ -
Order For Appointment Of Mediator
Illinois/Local County/Cook/Chancery/ -
Order For Dignified Exit Consultation With CVLS
Illinois/Local County/Cook/Chancery/ -
Pretrial Order
Illinois/Local County/Cook/Chancery/ -
Order Of Consolidation
Illinois/Local County/Cook/Chancery/ -
Order Regarding Substitution Of Judge Or Recusal
Illinois/Local County/Cook/Chancery/ -
Petition For Turnover Of Surplus Funds
Illinois/Local County/Cook/Chancery/ -
Request And Order Setting Case For Remote Video Proceeding
Illinois/Local County/Cook/Chancery/ -
Receivers Bond
Illinois/Local County/Cook/Chancery/ -
Scheduling Order
Illinois/Local County/Cook/Chancery/ -
Summons In Administrative Review
Illinois/Local County/Cook/Chancery/ -
Taken Under Advisement Order
Illinois/Local County/Cook/Chancery/ -
Temporary Restraining Order
Illinois/Local County/Cook/Chancery/ -
Transfer Order
Illinois/Local County/Cook/Chancery/ -
Transfer Order Chancery Calendar To Mortgage Foreclosure Calendar
Illinois/Local County/Cook/Chancery/ -
Transfer Order Mortgage Foreclosure Mechanics Lien Calendar To Chancery
Illinois/Local County/Cook/Chancery/ -
Transfer Order From Another Division To Mechanics Lien Section
Illinois/Local County/Cook/Chancery/ -
Transfer Order Into Chancery From Another Division
Illinois/Local County/Cook/Chancery/ -
Transfer Order Within Division To Mechanics Lien Section
Illinois/Local County/Cook/Chancery/ -
Transfer Order Within Division
Illinois/Local County/Cook/Chancery/ -
Trial Order
Illinois/2 Local County/Cook/Chancery/ -
Verified Statement Of Filing Fee
Illinois/Local County/Cook/Chancery/ -
Supplemental Order Of Possession
Illinois/Local County/Cook/Chancery/
Form Preview
Contact Us
Success: Your message was sent.
Thank you!




