Last updated: 5/16/2025
Debtors Attorneys Disclosure Of Compensation (Ch 13) {1305}
Start Your Free Trial $ 13.99What you get:
- Instant access to fillable Microsoft Word or PDF forms.
- Minimize the risk of using outdated forms and eliminate rejected fillings.
- Largest forms database in the USA with more than 80,000 federal, state and agency forms.
- Download, edit, auto-fill multiple forms at once in MS Word using our Forms Workflow Ribbon
- Trusted by 1,000s of Attorneys and Legal Professionals
Description
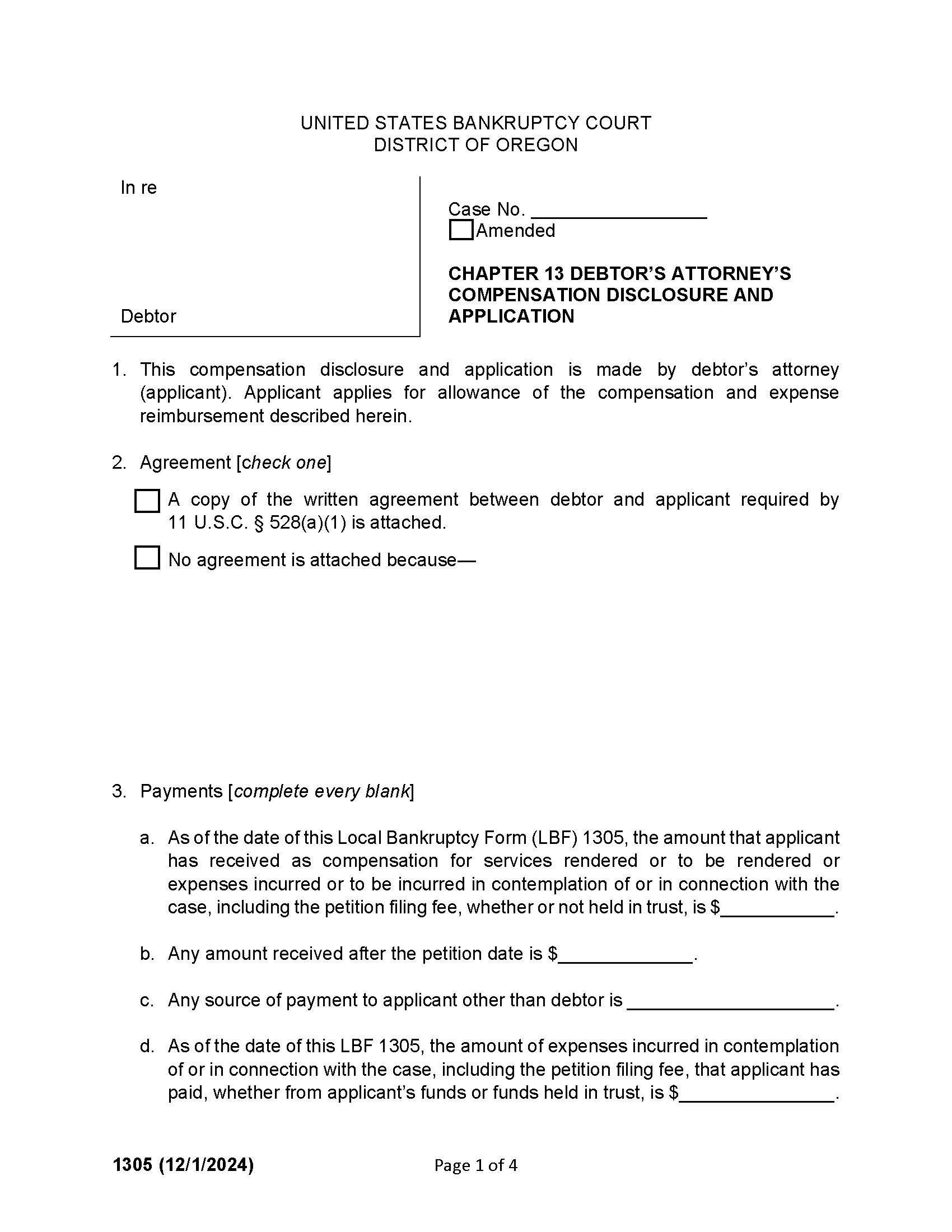
1305 - CHAPTER 13 DEBTOR’S ATTORNEY’S COMPENSATION DISCLOSURE AND APPLICATION. This form is used in the United States Bankruptcy Court for the District of Oregon by attorneys representing debtors in Chapter 13 bankruptcy cases. This form serves to disclose and request court approval of the compensation arrangements between the debtor and their attorney. It outlines the nature and extent of the legal services to be provided, the compensation structure (fixed fee, hourly, or other), any payments already received, and any expenses incurred in connection with the case. The form requires the attorney to specify whether there is a written fee agreement and whether any compensation has been shared with others. Attorneys must also declare how and when the debtor was served with this document, and authorize the bankruptcy trustee to disburse court-approved compensation directly. Depending on the type of compensation structure selected—life-of-the-case, through plan confirmation, hourly billing, or other—the attorney must provide corresponding details. www.FormsWorkflow.com
Related forms
-
Application For Chapter 7 Or 11 Interim Or Final Professional Compensation
Oregon/Federal/Bankruptcy Court/ -
Application For Interim Or Final Accountants Compensation
Oregon/Federal/Bankruptcy Court/ -
Application For Special Admission Pro Hac Vice And Order Thereon
Oregon/Federal/Bankruptcy Court/ -
Certificate Regarding Circulation Of Disclosure Statement And Plan Of Reorganization
Oregon/Federal/Bankruptcy Court/ -
Chapter 11 Interim Report
Oregon/Federal/Bankruptcy Court/ -
Chapter 11 Trustees Final Report For Dismissed Converted Or Transferred Case
Oregon/Federal/Bankruptcy Court/ -
Motion To Terminate Order Directing Chapter 13 Payment To Trustee And Order Thereon
Oregon/Federal/Bankruptcy Court/ -
Non Judicial Relief From Automatic Stay
Oregon/Federal/Bankruptcy Court/ -
Notice Of Amended Claim Ch 12 And 13
Oregon/Federal/Bankruptcy Court/ -
Notice Of Motion For Relief From Automatic Stay
Oregon/Federal/Bankruptcy Court/ -
Petition For Unclaimed Funds And Order Thereon
Oregon/Federal/Bankruptcy Court/ -
Report Of Administrative Expenses
Oregon/Federal/Bankruptcy Court/ -
Motion For Order Confirming Auto Stay Not In Effect (For Cases Filed On Or After 10-17-05)
Oregon/Federal/Bankruptcy Court/ -
Order Confirming Chapter 12 Plan And Resolving Motions (For Cases Filed On Or After 10-17-05)
Oregon/Federal/Bankruptcy Court/ -
Motion To Value Property Pursuant To 11 USC 506 And Avoid
Oregon/Federal/Bankruptcy Court/ -
Notice Of Motion To Value Property
Oregon/Federal/Bankruptcy Court/ -
Order Valuing Pursuant To 11 USC 506 And Avoiding Wholly Unsecured Lien
Oregon/Federal/Bankruptcy Court/ -
Electronic Filing Declaration
Oregon/Federal/Bankruptcy Court/ -
Exhibit D-1 - Financial Review Of Debtors Farming Business
Oregon/Federal/Bankruptcy Court/ -
Exhibit D-2 - Financial Review Of Debtors Non Farming Business
Oregon/Federal/Bankruptcy Court/ -
Adversary Proceeding Cover Sheet
Oregon/Federal/Bankruptcy Court/ -
Subpoena for Rule 2004 Examination
Oregon/Federal/Bankruptcy Court/ -
Subpoena To Appear And Testify At A Hearing Or Trial
Oregon/Federal/Bankruptcy Court/ -
Subpoena To Testify At A Deposition
Oregon/Federal/Bankruptcy Court/ -
Subpoena To Produce Documents Information Objects Or Permit Inspection of Premises
Oregon/Federal/Bankruptcy Court/ -
Proof Of Nonprofessional Administrative Expense
Oregon/Federal/Bankruptcy Court/ -
Certificate Of Service Of Summons
Oregon/Federal/Bankruptcy Court/ -
Notice Of Motion For Redemption Of Personal Property
Oregon/Federal/Bankruptcy Court/ -
Notice Of Motion For Relief From Codebtor Stay Chapter 12
Oregon/Federal/Bankruptcy Court/ -
Summary Of Acceptances And Rejections
Oregon/Federal/Bankruptcy Court/ -
Debtor Change Of Address
Oregon/Federal/Bankruptcy Court/ -
Order Awarding Final Compensation And Reimbursement To Professionals
Oregon/Federal/Bankruptcy Court/ -
Application For Assignment Of Pro Bono Counsel
Oregon/4 Federal/Bankruptcy Court/ -
Application To Participate In Pro Bono Program
Oregon/4 Federal/Bankruptcy Court/ -
Motion To Withdraw As Pro Bono Counsel
Oregon/4 Federal/Bankruptcy Court/ -
Notice Of Appearance Of Pro Bono Representation
Oregon/4 Federal/Bankruptcy Court/ -
Supplemental Application Of Pro Bono Counsel For Nondebtors
Oregon/4 Federal/Bankruptcy Court/ -
Chapter 13 Plan
Oregon/Federal/Bankruptcy Court/ -
CH 11 Subchapter V Debtor Motion For Entry Of Discharge
Oregon/4 Federal/Bankruptcy Court/ -
Chapter 12 Plan-Motion To Value Collateral And Secured Claim Amount
Oregon/Federal/Bankruptcy Court/ -
Chapter 13 Plan 2021
Oregon/4 Federal/Bankruptcy Court/ -
Debtors Certification Re Payment Of Domestic Support Obligations
Oregon/Federal/Bankruptcy Court/ -
Final Account And Application For Entry Of Final Decree
Oregon/Federal/Bankruptcy Court/ -
Individual Debtors Application To Pay Filing Fees In Installments
Oregon/Federal/Bankruptcy Court/ -
Chapter 13 Plan 2022
Oregon/Federal/Bankruptcy Court/ -
Debtors Motion For Extension or Exemption
Oregon/Federal/Bankruptcy Court/ -
Order On Claim Objection
Oregon/4 Federal/Bankruptcy Court/ -
Verified Statement In Support Of Employment Application
Oregon/Federal/Bankruptcy Court/ -
Claim Objection
Oregon/Federal/Bankruptcy Court/ -
Notice Of Motion And Chapter 13 Debtors Motion To Buy Sell
Oregon/Federal/Bankruptcy Court/ -
Order On Motion By Chapter 13 Debtor To Buy Sell Or Encumber
Oregon/Federal/Bankruptcy Court/ -
Notice Of Motion And Motion By Chapter 13 Debtor To Use Lease
Oregon/Federal/Bankruptcy Court/ -
Order On Motion By Chapter 13 Debtor To Use Lease Or Dispose
Oregon/Federal/Bankruptcy Court/ -
Application For Chapter 12 Debtors Attorney Compensation
Oregon/Federal/Bankruptcy Court/ -
Audio Recording Of Court Proceedings Order Form
Oregon/Federal/Bankruptcy Court/ -
Creditor Change Of Address
Oregon/Federal/Bankruptcy Court/ -
Notice Of Post Confirmation Modification Of Plan
Oregon/Federal/Bankruptcy Court/ -
Debtors Attorney Supplemental Compensation Order And Notice (Ch 13)
Oregon/Federal/Bankruptcy Court/ -
Order Confirming Chapter 13 Plan And Resolving Motions (For Cases Filed On Or After 10-17-05)
Oregon/Federal/Bankruptcy Court/ -
Debtors Motion To Reopen Ch 7 Or 13 Case
Oregon/4 Federal/Bankruptcy Court/ -
Order Confirming Plan 2021
Oregon/4 Federal/Bankruptcy Court/ -
Notice Of Application For Compensation For Chapter 12 Attorney
Oregon/Federal/Bankruptcy Court/ -
Order Confirming Plan And Resolving Motions
Oregon/Federal/Bankruptcy Court/ -
Notice Of Debtors Amendment Of Schedules
Oregon/Federal/Bankruptcy Court/ -
Notice Of Intent To Compensate Professionals
Oregon/Federal/Bankruptcy Court/ -
Notice Of Motion For Hardship Discharge And Fixing Times For Filing Objections To Motion And Complaints
Oregon/Federal/Bankruptcy Court/ -
Application For Payment Of Unclaimed Funds
Oregon/4 Federal/Bankruptcy Court/ -
Fee And Expense Itemization
Oregon/Federal/Bankruptcy Court/ -
Debtors Attorneys Disclosure Of Compensation (Ch 13)
Oregon/Federal/Bankruptcy Court/ -
Debtors Motion For Order For Allowance And Future Payment On Untimely Filed Claims And Order And Notice Thereon (Ch 13)
Oregon/Federal/Bankruptcy Court/ -
Individual Debtors Motion For Entry Of Discharge
Oregon/Federal/Bankruptcy Court/ -
Statement Re Partys Address
Oregon/Federal/Bankruptcy Court/ -
Motion For Relief Debtor Or Codebtor Stay
Oregon/Federal/Bankruptcy Court/ -
Motion To Avoid Judicial Lien On Real Property
Oregon/Federal/Bankruptcy Court/ -
Order Avoiding Judicial Lien
Oregon/Federal/Bankruptcy Court/ -
Order Re Relief From Stay
Oregon/Federal/Bankruptcy Court/ -
Notice Of Preliminary Hearing For Cash Collateral Or Credit
Oregon/Federal/Bankruptcy Court/ -
Notice Of Pre Confirmation Amendment Of Plan And Confirmation Hearing
Oregon/Federal/Bankruptcy Court/ -
Notice Of Motion For Relief From Automatic Stay CH 11 Or 12
Oregon/Federal/Bankruptcy Court/ -
Notice Of Hearing Trustees Motion To Dismiss Or Convert Ch 13
Oregon/Federal/Bankruptcy Court/ -
Notice Of Hearing On Motion For Relief From Codebtor Stay Only In Chapter 12 Case
Oregon/Federal/Bankruptcy Court/ -
Notice Of Hearing On Motion For Relief From Automatic Stay
Oregon/Federal/Bankruptcy Court/ -
Notice Of Hearing On Extend Or Stay
Oregon/Federal/Bankruptcy Court/ -
Notice Of Intent To Sell Real Or Personal Property
Oregon/Federal/Bankruptcy Court/ -
Notice Of Final Hearing On Motion For Use Of Cash Or Credit
Oregon/Federal/Bankruptcy Court/ -
Notice Of Order Confirming Chapter 11 Plan
Oregon/Federal/Bankruptcy Court/
Form Preview
Contact Us
Success: Your message was sent.
Thank you!




