Last updated: 10/25/2024
Penalty Request For Failure To Pay Or Deny Rehabilitation Invoice
Start Your Free Trial $ 14.00What you get:
- Instant access to fillable Microsoft Word or PDF forms.
- Minimize the risk of using outdated forms and eliminate rejected fillings.
- Largest forms database in the USA with more than 80,000 federal, state and agency forms.
- Download, edit, auto-fill multiple forms at once in MS Word using our Forms Workflow Ribbon
- Trusted by 1,000s of Attorneys and Legal Professionals
Description
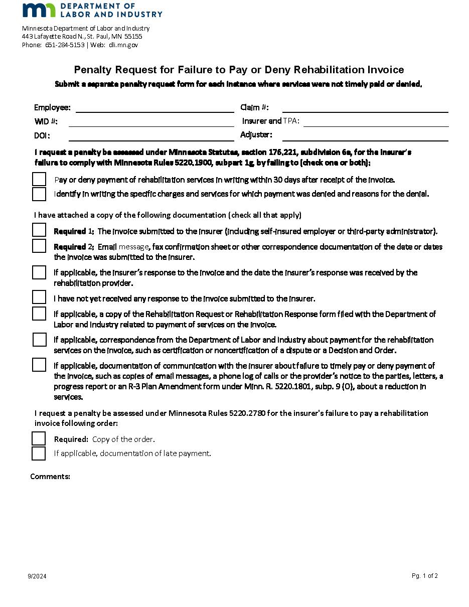
PENALTY REQUEST FOR FAILURE TO PAY OR DENY REHABILITATION INVOICE. This form is used in Minnesota to request penalties against an insurer for failing to pay or formally deny payment of rehabilitation service invoices related to workers' compensation within a 30-day period, as required by state law. The form requires detailed information about the invoice, including dates of submission, any responses or lack of response from the insurer, and supporting documentation that shows attempts to obtain payment. If an order has been issued to pay, but payment is still outstanding, a copy of the order and documentation of any late payments should also be attached. The form allows the claimant to grant or withhold permission for the Department of Labor and Industry to disclose their identity in communications with the insurer, which may affect the investigation. www.FormsWorkflow.com
Related forms
-
Annual Claim For Reimbursement From Secondary Injury Fund
Minnesota/Workers Comp/ -
Application For Approval And Registration - Rehabilitation Consultant Intern
Minnesota/Workers Comp/ -
Benefit Addendum
Minnesota/Workers Comp/ -
Health Care Provider Report
Minnesota/Workers Comp/ -
Interim Status Report
Minnesota/Workers Comp/ -
Request For Extension
Minnesota/Workers Comp/ -
Notice Of Penalty Payment
Minnesota/Workers Comp/ -
Petition For Taxation Of Actual And Necessary Disbursements
Minnesota/Workers Comp/ -
Election To Exclude Certain Relatives Of Executive Officers Of A Closely Held Corporation
Minnesota/Workers Comp/ -
Election To Exclude Certain Relatives Of Managers Of Limited Liability Company
Minnesota/Workers Comp/ -
Annual Claim For Reimbursement Of Supplementary Benefits
Minnesota/Workers Comp/ -
First Report Of Injury
Minnesota/Workers Comp/ -
Report Of Work Ability
Minnesota/Workers Comp/ -
Rehabilitation Consultation Report
Minnesota/Workers Comp/ -
Permanent Total Disability Agreement
Minnesota/Workers Comp/ -
Notice Of Intention To Claim Reimbursement From Second Injury Fund
Minnesota/Workers Comp/ -
Motion To Intervene
Minnesota/Workers Comp/ -
Qualified Rehabilitation Consultant Internship Completion Checklists (QRC)
Minnesota/Workers Comp/ -
Retraining Plan
Minnesota/Workers Comp/ -
Rehabilitation Rights And Responsibilities Of Injured Worker
Minnesota/Workers Comp/ -
Rehabilitation Response
Minnesota/Workers Comp/ -
R8 Notice Of Rehabilitation Plan Closure
Minnesota/Workers Comp/ -
R3 Rehabilitation Plan Amendment
Minnesota/Workers Comp/ -
Plan Progress Report
Minnesota/Workers Comp/ -
On The Job Training Plan
Minnesota/Workers Comp/ -
Notice Of Insurers Primary Liability Determination
Minnesota/Workers Comp/ -
Notice Of File Closing
Minnesota/Workers Comp/ -
Notice Of Discontinuance Of Workers Compensation Dependency Benefits
Minnesota/Workers Comp/ -
Notice Of Discontinuance Of Workers Compensation Benefits Upon Death
Minnesota/Workers Comp/ -
Notice Of Benefit Reinstatement
Minnesota/Workers Comp/ -
Notice Of Benefit Payment
Minnesota/Workers Comp/ -
Notice Of Appearance Of Attorney For Employee
Minnesota/Workers Comp/ -
Medical Response
Minnesota/Workers Comp/ -
Medical Request
Minnesota/Workers Comp/ -
Disability Status Report
Minnesota/Workers Comp/ -
Certificate Of Compliance
Minnesota/Workers Comp/ -
Penalty Request For Failure To Pay Or Deny Rehabilitation Invoice
Minnesota/Workers Comp/ -
Penalty Request
Minnesota/Workers Comp/ -
Objection To Penalty Assessment
Minnesota/Workers Comp/ -
Application For Registration Or Renewal As Organization Approved For Employment Of Qualified Rehabilitation Consultant Or Independent
Minnesota/Workers Comp/ -
Application For Registration Or Renewal Of Registration As Registered Rehabilitation Vendor
Minnesota/Workers Comp/ -
Application For Renewal Of Qualified Rehabilitation Consultant-Consultant Intern Registration
Minnesota/Workers Comp/ -
Affidavit Of Significant Financial Hardship
Minnesota/Workers Comp/ -
R-2 Rehabilitation Plan
Minnesota/Workers Comp/ -
Notice Of Intention To Discontinue Workers Compensation Benefits
Minnesota/Workers Comp/ -
Request For Formal Hearing
Minnesota/Workers Comp/ -
Request For Certification Of Dispute
Minnesota/Workers Comp/ -
Statement Of Attorney Fees And Costs
Minnesota/Workers Comp/ -
Rehabilitation Request
Minnesota/Workers Comp/ -
Claim Petition For Dependency Benefits Or Payment To Estate
Minnesota/Workers Comp/ -
Employees Claim Petition
Minnesota/Workers Comp/ -
Employee Or Insurers Objection To Requested Attorney Fees And Or Costs
Minnesota/Workers Comp/ -
Excess Fee Exhibit
Minnesota/Workers Comp/ -
Employees Request For Administrative Conference
Minnesota/Workers Comp/ -
Employees Objection To Discontinuance
Minnesota/Workers Comp/ -
Authorization For File Review Or Release Of Copies Of Claim File
Minnesota/Workers Comp/
Form Preview
Contact Us
Success: Your message was sent.
Thank you!




