Last updated: 10/29/2024
Advance Directive For A Natural Death (Living Will)
Start Your Free Trial $ 17.99What you get:
- Instant access to fillable Microsoft Word or PDF forms.
- Minimize the risk of using outdated forms and eliminate rejected fillings.
- Largest forms database in the USA with more than 80,000 federal, state and agency forms.
- Download, edit, auto-fill multiple forms at once in MS Word using our Forms Workflow Ribbon
- Trusted by 1,000s of Attorneys and Legal Professionals
Description
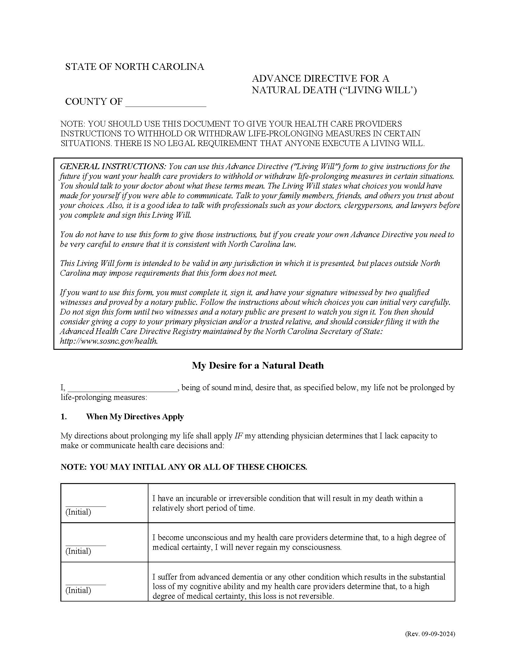
ADVANCE DIRECTIVE FOR A NATURAL DEATH (“LIVING WILL’). You can use this Advance Directive ("Living Will") form to give instructions for the future if you want your health care providers to withhold or withdraw life-prolonging measures in certain situations. You should talk to your doctor about what these terms mean. The Living Will states what choices you would have made for yourself if you were able to communicate. Talk to your family members, friends, and others you trust about your choices. Also, it is a good idea to talk with professionals such as your doctors, clergypersons, and lawyers before you complete and sign this Living Will. You do not have to use this form to give those instructions, but if you create your own Advance Directive you need to be very careful to ensure that it is consistent with North Carolina law. This Living Will form is intended to be valid in any jurisdiction in which it is presented, but places outside North Carolina may impose requirements that this form does not meet. If you want to use this form, you must complete it, sign it, and have your signature witnessed by two qualified witnesses and proved by a notary public. Follow the instructions about which choices you can initial very carefully. Do not sign this form until two witnesses and a notary public are present to watch you sign it. You then should consider giving a copy to your primary physician and/or a trusted relative, and should consider filing it with the Advanced Health Care Directive Registry maintained by the North Carolina Secretary of State: http://www.sosnc.gov/health. www.FormsWorkflow.com





