Last updated: 7/2/2024
Notice Of Court Date (Judges)-Kent
Start Your Free Trial $ 18.00What you get:
- Instant access to fillable Microsoft Word or PDF forms.
- Minimize the risk of using outdated forms and eliminate rejected fillings.
- Largest forms database in the USA with more than 80,000 federal, state and agency forms.
- Download, edit, auto-fill multiple forms at once in MS Word using our Forms Workflow Ribbon
- Trusted by 1,000s of Attorneys and Legal Professionals
Description
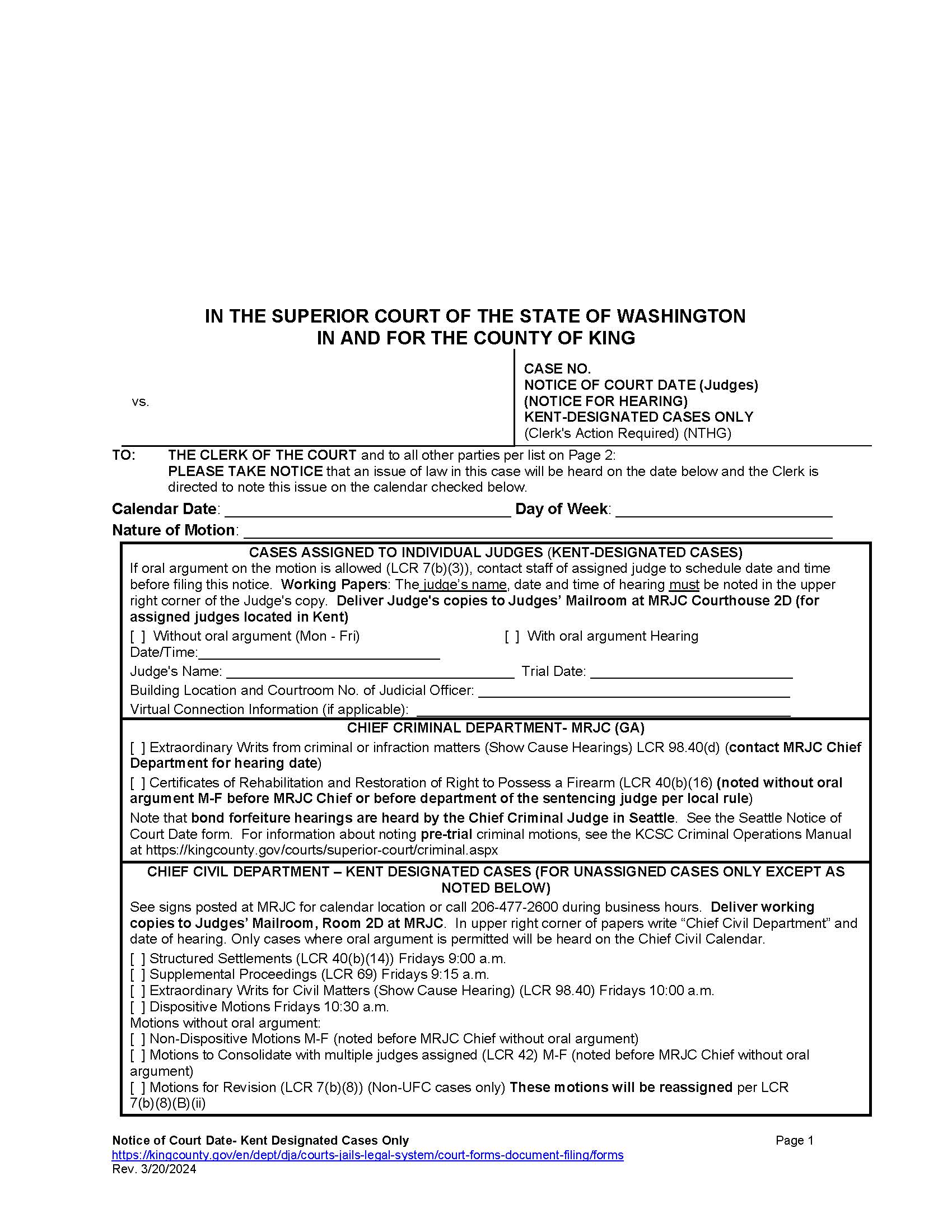
NOTICE OF COURT DATE (Judges) (NOTICE FOR HEARING) KENT-DESIGNATED CASES ONLY. This form is used in King County Superior Court in Washington to schedule a hearing for an issue of law in cases assigned to individual judges in Kent. It directs the Clerk to schedule the issue on the court calendar and notifies all parties of the hearing details, including the date, time, nature of the motion, and judge’s name. The form specifies which types of motions are handled on which days and provides instructions for scheduling hearings with or without oral argument. It includes sections for entering virtual hearing information, if applicable, and for listing all parties who need to be notified of the court date. The form also outlines the process for filing motions, serving notice, and the deadlines for written responses and replies. It instructs on submitting documents and confirms that all parties must be notified according to local civil rules. www.FormsWorkflow.com
Related forms
-
Confirmation Of Service
Washington/Local County/King/Superior Court/Miscellaneous/ -
Note For Motion Docket Kent Regional Justice Center Only
Washington/Local County/King/Superior Court/Miscellaneous/ -
Notice For Hearing Kent Regional Justice Center Only
Washington/Local County/King/Superior Court/Miscellaneous/ -
Notice Of Appeal
Washington/Local County/King/Superior Court/Miscellaneous/ -
Notice Of Settlement Of All Claims Against All Parties
Washington/Local County/King/Superior Court/Miscellaneous/ -
Order Allowing Access To Sealed Court File
Washington/Local County/King/Superior Court/Miscellaneous/ -
Sealed Financial Source Documents
Washington/Local County/King/Superior Court/Miscellaneous/ -
Designation Of Clerks Papers
Washington/Local County/King/Superior Court/Miscellaneous/ -
Motion Declaration Authorization And Order To Release CPS Records
Washington/Local County/King/Superior Court/Miscellaneous/ -
Motion-Declaration To Withdraw Will From Repository
Washington/Local County/King/Superior Court/Miscellaneous/ -
Note For Motion Docket (Seattle Courthouse Only)
Washington/Local County/King/Superior Court/Miscellaneous/ -
Notice For Hearing (Seattle Courthouse Only)
Washington/Local County/King/Superior Court/Miscellaneous/ -
Attorneys Certificate Of Compliance
Washington/Local County/King/Superior Court/Miscellaneous/ -
Order To Seal
Washington/Local County/King/Superior Court/Miscellaneous/ -
Notice Of Change Of Address
Washington/Local County/King/Superior Court/Miscellaneous/ -
Sealed Personal Health Care Records (Cover Sheet)
Washington/Local County/King/Superior Court/Miscellaneous/ -
Agreed Certificate Of Pretrial Readiness
Washington/Local County/King/Superior Court/Miscellaneous/ -
Notice Of Court Date Family Law Commisioners Kent
Washington/2 Local County/King/Superior Court/Miscellaneous/ -
Notice Of Court Date Family Law Commisioners Seattle
Washington/2 Local County/King/Superior Court/Miscellaneous/ -
Order To Withdraw Will From Repository
Washington/Local County/King/Superior Court/Miscellaneous/ -
Will Repository Cover Sheet
Washington/Local County/King/Superior Court/Miscellaneous/ -
Notice Of Court Date Ex Parte Commissioners Kent
Washington/2 Local County/King/Superior Court/Miscellaneous/ -
Notice Of Court Date Ex Parte Commissioners Seattle
Washington/2 Local County/King/Superior Court/Miscellaneous/ -
Notice Of Court Date-Family Law-Chief UFC Judge
Washington/Local County/King/Superior Court/Miscellaneous/ -
Notice Of Court Date-Family Law Non-Capped-Kent
Washington/Local County/King/Superior Court/Miscellaneous/ -
Notice Of Court Date-Family Law Non-Capped-Seattle
Washington/Local County/King/Superior Court/Miscellaneous/ -
Notice Of Court Date (Judges)-Kent
Washington/Local County/King/Superior Court/Miscellaneous/ -
Notice Of Court Date Seattle Courthouse Only
Washington/Local County/King/Superior Court/Miscellaneous/ -
Note For Calendar Juvenile Dependency Motions
Washington/Local County/King/Superior Court/Miscellaneous/ -
Case Assignment Area Designation And Case Information Cover Sheet Probate
Washington/Local County/King/Superior Court/Miscellaneous/ -
Case Assignment Area Designation And Case Information Cover Sheet Family Law
Washington/Local County/King/Superior Court/Miscellaneous/
Form Preview
Contact Us
Success: Your message was sent.
Thank you!




