Last updated: 7/2/2024
Notice Of Court Date-Family Law Non-Capped-Kent
Start Your Free Trial $ 14.00What you get:
- Instant access to fillable Microsoft Word or PDF forms.
- Minimize the risk of using outdated forms and eliminate rejected fillings.
- Largest forms database in the USA with more than 80,000 federal, state and agency forms.
- Download, edit, auto-fill multiple forms at once in MS Word using our Forms Workflow Ribbon
- Trusted by 1,000s of Attorneys and Legal Professionals
Description
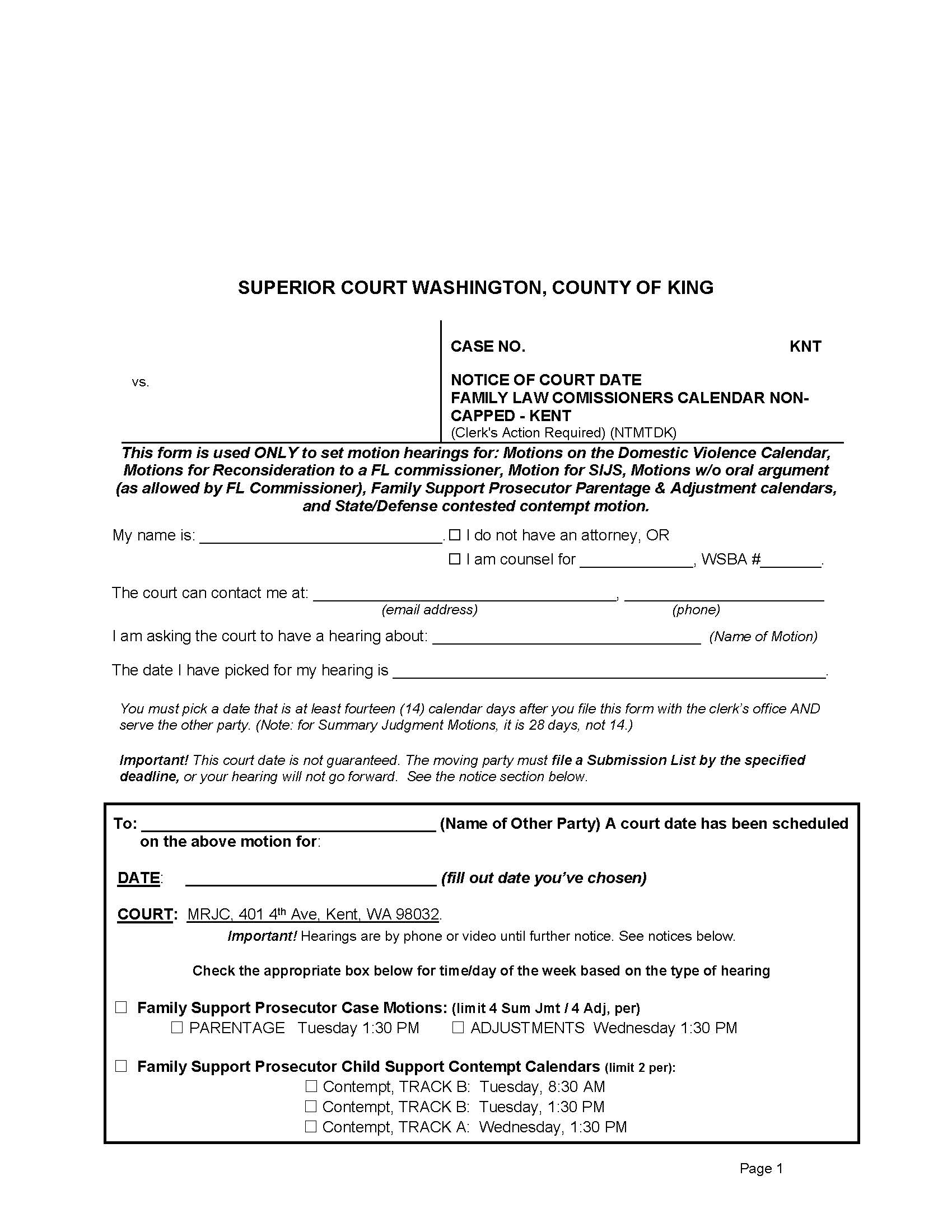
NOTICE OF COURT DATE FAMILY LAW COMISSIONERS CALENDAR NON-CAPPED - KENT. This form is used in the Superior Court of Washington, King County, to schedule motion hearings related to specific family law matters. These matters include domestic violence motions, motions for reconsideration to a family law commissioner, Special Immigrant Juvenile Status (SIJS) motions, motions without oral argument, family support prosecutor parentage and adjustment calendars, and state/defense contested contempt motions. The form requires the moving party to choose a hearing date at least 14 calendar days after filing the form and serving the other party. It also requires the party to notify all relevant parties, file a Submission List by the specified deadline to confirm the hearing, and provides instructions for Zoom hearings and responses. www.FormsWorkflow.com
Related forms
-
Confirmation Of Service
Washington/Local County/King/Superior Court/Miscellaneous/ -
Note For Motion Docket Kent Regional Justice Center Only
Washington/Local County/King/Superior Court/Miscellaneous/ -
Notice For Hearing Kent Regional Justice Center Only
Washington/Local County/King/Superior Court/Miscellaneous/ -
Notice Of Appeal
Washington/Local County/King/Superior Court/Miscellaneous/ -
Notice Of Settlement Of All Claims Against All Parties
Washington/Local County/King/Superior Court/Miscellaneous/ -
Order Allowing Access To Sealed Court File
Washington/Local County/King/Superior Court/Miscellaneous/ -
Sealed Financial Source Documents
Washington/Local County/King/Superior Court/Miscellaneous/ -
Designation Of Clerks Papers
Washington/Local County/King/Superior Court/Miscellaneous/ -
Motion Declaration Authorization And Order To Release CPS Records
Washington/Local County/King/Superior Court/Miscellaneous/ -
Motion-Declaration To Withdraw Will From Repository
Washington/Local County/King/Superior Court/Miscellaneous/ -
Note For Motion Docket (Seattle Courthouse Only)
Washington/Local County/King/Superior Court/Miscellaneous/ -
Notice For Hearing (Seattle Courthouse Only)
Washington/Local County/King/Superior Court/Miscellaneous/ -
Attorneys Certificate Of Compliance
Washington/Local County/King/Superior Court/Miscellaneous/ -
Order To Seal
Washington/Local County/King/Superior Court/Miscellaneous/ -
Notice Of Change Of Address
Washington/Local County/King/Superior Court/Miscellaneous/ -
Sealed Personal Health Care Records (Cover Sheet)
Washington/Local County/King/Superior Court/Miscellaneous/ -
Agreed Certificate Of Pretrial Readiness
Washington/Local County/King/Superior Court/Miscellaneous/ -
Notice Of Court Date Family Law Commisioners Kent
Washington/2 Local County/King/Superior Court/Miscellaneous/ -
Notice Of Court Date Family Law Commisioners Seattle
Washington/2 Local County/King/Superior Court/Miscellaneous/ -
Order To Withdraw Will From Repository
Washington/Local County/King/Superior Court/Miscellaneous/ -
Will Repository Cover Sheet
Washington/Local County/King/Superior Court/Miscellaneous/ -
Notice Of Court Date Ex Parte Commissioners Kent
Washington/2 Local County/King/Superior Court/Miscellaneous/ -
Notice Of Court Date Ex Parte Commissioners Seattle
Washington/2 Local County/King/Superior Court/Miscellaneous/ -
Notice Of Court Date-Family Law-Chief UFC Judge
Washington/Local County/King/Superior Court/Miscellaneous/ -
Notice Of Court Date-Family Law Non-Capped-Kent
Washington/Local County/King/Superior Court/Miscellaneous/ -
Notice Of Court Date-Family Law Non-Capped-Seattle
Washington/Local County/King/Superior Court/Miscellaneous/ -
Notice Of Court Date (Judges)-Kent
Washington/Local County/King/Superior Court/Miscellaneous/ -
Notice Of Court Date Seattle Courthouse Only
Washington/Local County/King/Superior Court/Miscellaneous/ -
Note For Calendar Juvenile Dependency Motions
Washington/Local County/King/Superior Court/Miscellaneous/ -
Case Assignment Area Designation And Case Information Cover Sheet Probate
Washington/Local County/King/Superior Court/Miscellaneous/ -
Case Assignment Area Designation And Case Information Cover Sheet Family Law
Washington/Local County/King/Superior Court/Miscellaneous/
Form Preview
Contact Us
Success: Your message was sent.
Thank you!




