Last updated: 7/31/2024
Affidavit Of Service (City Court)
Start Your Free Trial $ 13.99What you get:
- Instant access to fillable Microsoft Word or PDF forms.
- Minimize the risk of using outdated forms and eliminate rejected fillings.
- Largest forms database in the USA with more than 80,000 federal, state and agency forms.
- Download, edit, auto-fill multiple forms at once in MS Word using our Forms Workflow Ribbon
- Trusted by 1,000s of Attorneys and Legal Professionals
Description
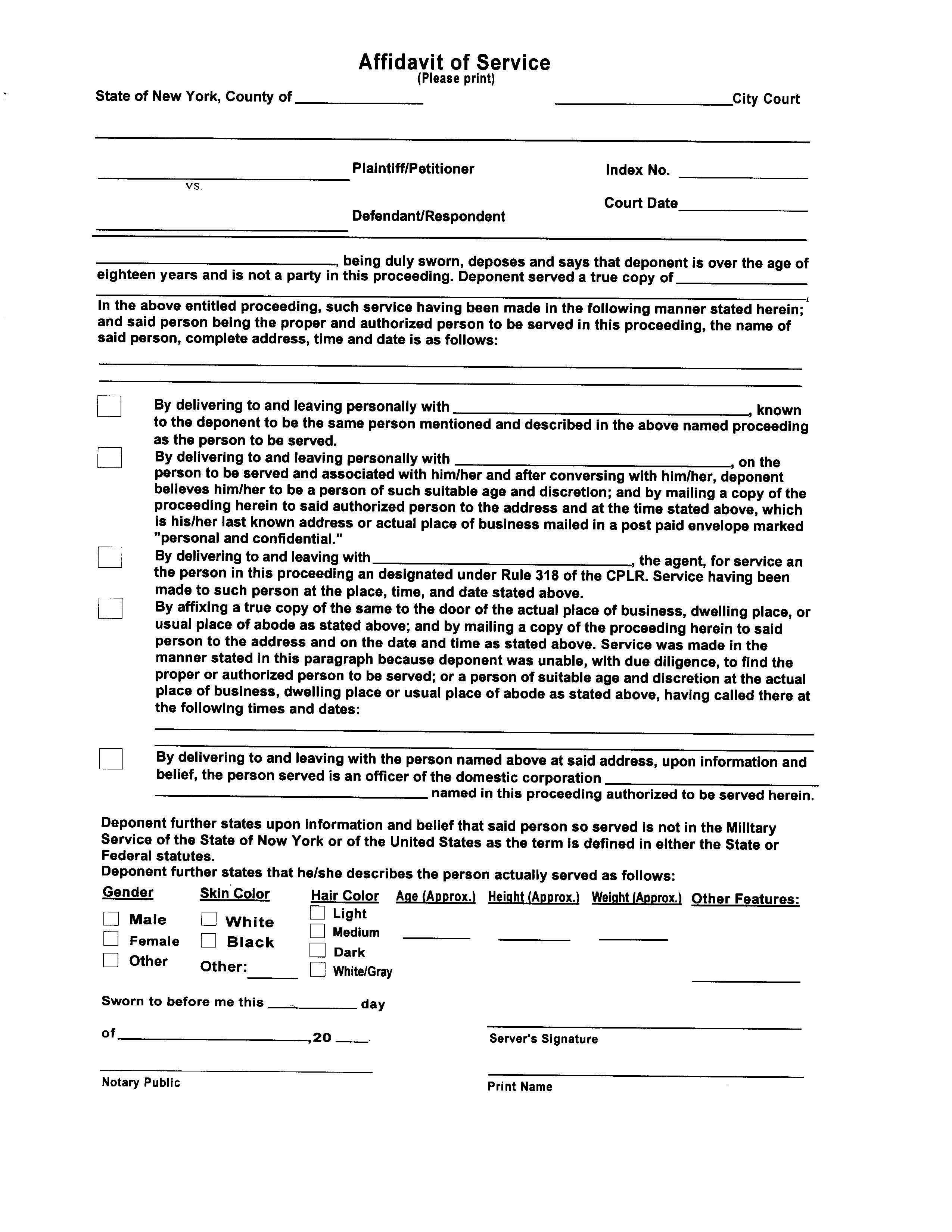
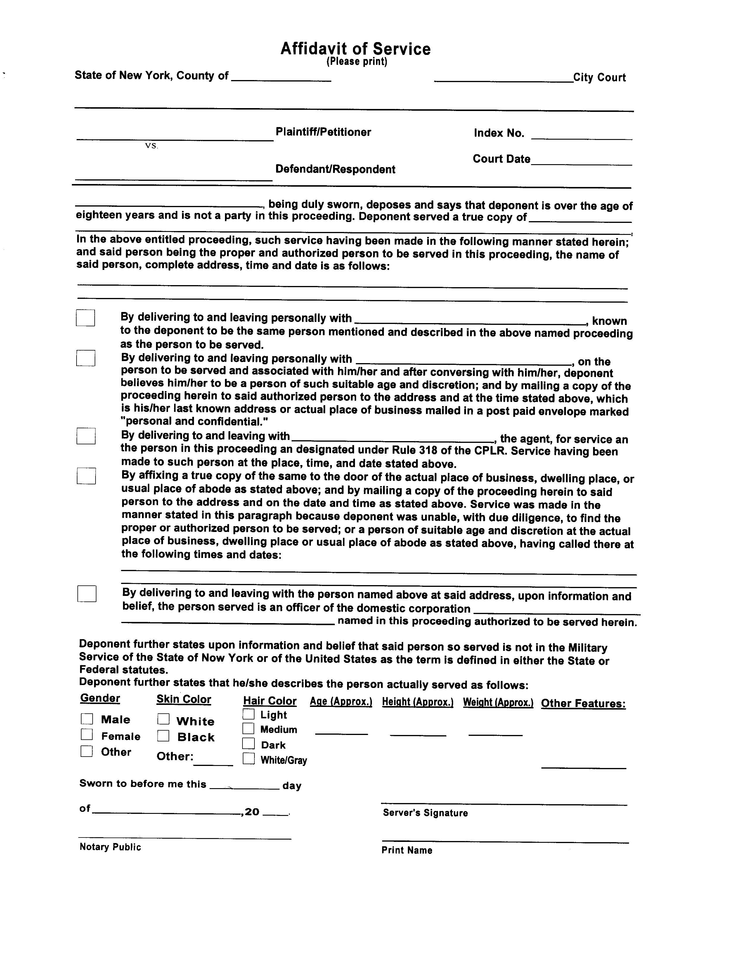
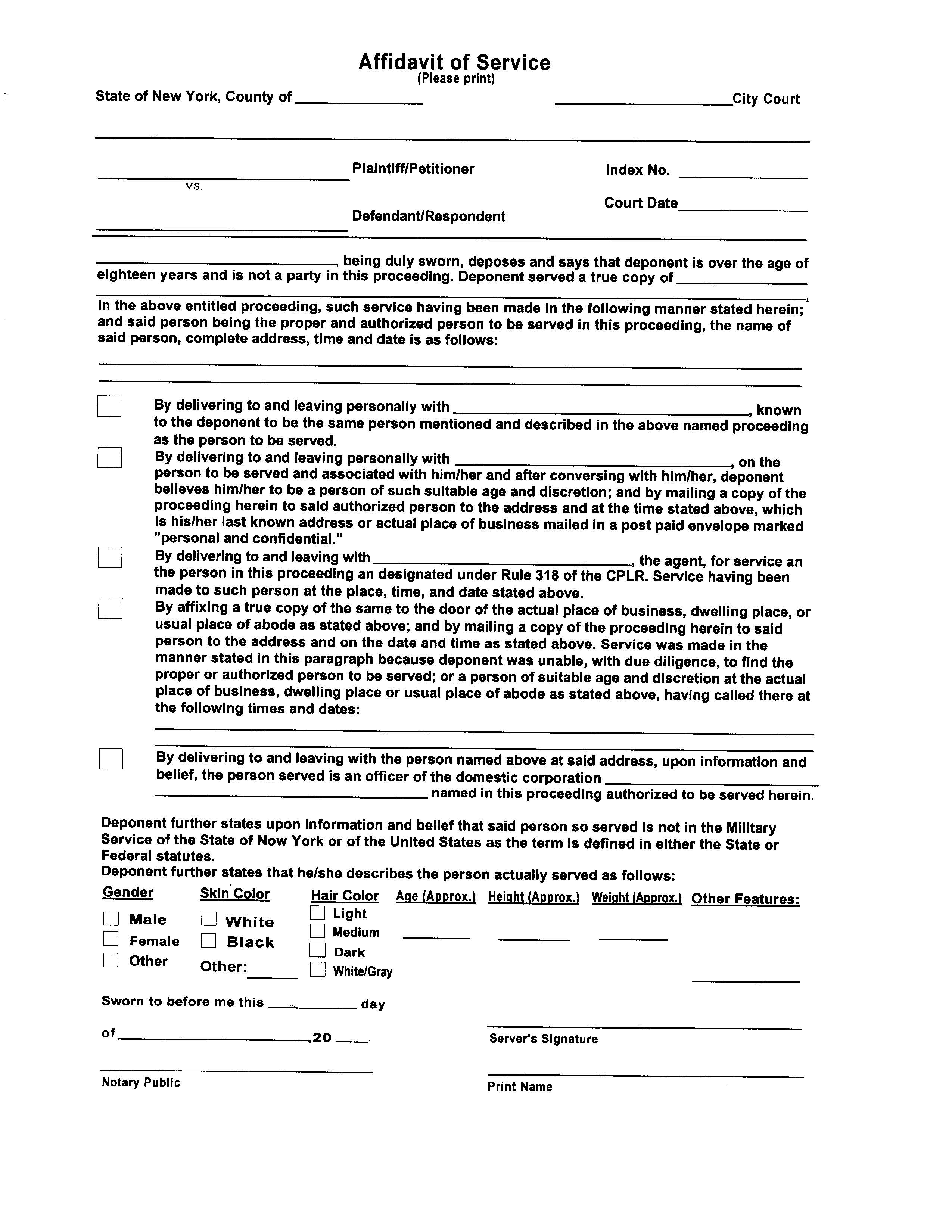
AFFIDAVIT OF SERVICE. This form is used to confirm that legal papers were properly delivered to a party involved in a court case. It details how, when, and to whom the documents were served. The affidavit includes information such as the method of service (personal delivery, delivery to an agent, posting on a door, etc.), the address where service occurred, and a description of the person who received the documents. It also includes a statement affirming that the person served is not in military service. www.FormsWorkflow.com
Related forms
-
Information Subpoena
New York/General/ -
Judicial Subpoena Duces Tecum
New York/General/ -
Judicial Subpoena
New York/General/ -
Note Of Issue And Certificate Of Readiness
New York/General/ -
Notice Of Appeal
New York/General/ -
Notice Of Trial Or Inquest
New York/General/ -
Notice To Take Deposition Upon Oral Examination
New York/General/ -
Satisfaction Of Judgment
New York/General/ -
Stipulation Of Discontinuance
New York/General/ -
Summons (State Court)
New York/General/ -
Summons With Notice
New York/General/ -
Trial Subpoena Duces Tecum
New York/General/ -
Affidavit Of Service (For Service Of Papers Commencing Action Upon Court Board Or Commission CPLR 312
New York/General/ -
Affidavit Of Service (For Service Of Papers Commencing Action Upon Govermental Subdivision CPLR 311(a)(2)-(8) And (b))
New York/General/ -
Affidavit Of Service (For Service Of Papers Commencing Action Upon Infant Incompetent Or Conservatee CPLR 309)
New York/General/ -
Affidavit Of Service (For Service Of Papers Commencing Action Upon Partnership CPLR 310)
New York/General/ -
Affidavit Of Service (For Service Of Papers Commencing An Action Upon A Domestic Or Authorized Foreign Corporation CPLR 311)
New York/General/ -
Affidavit Of Service (For Service Of Papers Commencing An Action Upon A Natural Person CPLR 308)
New York/General/ -
Bill Of Costs
New York/General/ -
Notice Of Petition Non-Payment
New York/General/ -
Execution Against Property Notice To Garnishee Debtor Notice Not Served
New York/General/ -
Execution Against Property With Notice To Garnishee
New York/General/ -
Income Execution
New York/General/ -
Non-Payment
New York/General/ -
Restraining Notice To Garnishee
New York/General/ -
Statement For Judgment (Default Judgment Based Upon Non-Appearance Of Natural Person In Action Based Upon Non-Payment)
New York/General/ -
Notice Of Appearance
New York/General/ -
New York Living Will
New York/General/ -
General Release - Corporation
New York/General/ -
Judicial Subpoena Duces Tecum (Records Only)
New York/General/ -
General Release-Individual
New York/General/ -
Preliminary Appeal Statement (Court Of Appeals)
New York/General/ -
Uniform Form Of Certificate Of Acknowledgment (Outside NY)
New York/General/ -
Affidavit Of Facts Upon Application For Default Judgment
New York/General/ -
Answer
New York/General/ -
Notice That Items Produced In Response To Subpoena Duces Tecum Are Available For Inspection And Copying
New York/General/ -
Statement of Clients Rights In Cooperative Business Arrangements
New York/General/ -
Uniform Form Of Certificate Of Proof Of Execution (Outside NY)
New York/General/ -
Uniform Form Of Certificate Of Proof Of Execution By Subscribing Witness
New York/General/ -
Affidavit Of Service (Subpoena-Subpoena Duces Tecum)
New York/General/ -
Affidavit Of Service By Mail
New York/General/ -
Exemption Notice (To Judgment Debtor) And Exemption Claim Form
New York/General/ -
Questions In Connection With Information Subpoena
New York/General/ -
Restraining Notice To Judgment Debtor
New York/General/ -
Subpoena (Duces Tecum) To Take Deposition Of Judgment Debtor With Restraining Notice
New York/General/ -
Warrant (For Non-Payment)
New York/General/ -
Affidavit Of Service By Personal Delivery
New York/General/ -
Notice To Terminate (Month-To-Month Tenancy) [Instructions Sample And Form]
New York/General/ -
Service Other Than By Personal Delivery (Affidavit)
New York/General/ -
Statement Of Service By Mail
New York/General/ -
Suggested Form Of Verification
New York/General/ -
Stipulation Cancelling Notice Of Pendency
New York/General/ -
Affidavit Of Confession Of Judgment
New York/General/ -
Notice Of Appeal To The Court Of Appeals (Civil - Sample)
New York/2 General/ -
Affidavit Of Service (Court Of Appeals)
New York/2 General/ -
Power Of Attorney New York Statutory Short Form (effective 06-13-21)
New York/General/ -
Health Care Proxy
New York/General/ -
Uniform Form Of Certificate Of Acknowledgment (Within New York)
New York/General/ -
Power Of Attorney Full Force And Effect Affidavit
New York/General/ -
Affidavit Of Service (City Court)
New York/General/ -
Consent To Change Attorney
New York/General/ -
Revocation Of Power Of Attorney
New York/General/
Form Preview
Contact Us
Success: Your message was sent.
Thank you!




