California Jury Instructions
32 Song-Beverly Consumer Warranty Act
200 Ratings
Last updated: 6/13/2024
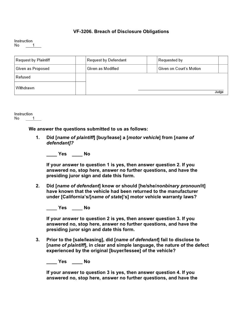
VF 3206. Breach of Disclosure Obligations
Start Your Free Trial $ 14.00What you get:
- Instant access to fillable Microsoft Word or PDF forms.
- Minimize the risk of using outdated forms and eliminate rejected fillings.
- Largest forms database in the USA with more than 80,000 federal, state and agency forms.
- Download, edit, auto-fill multiple forms at once in MS Word using our Forms Workflow Ribbon
- Trusted by 1,000s of Attorneys and Legal Professionals
Description
Related forms
-
3202. Repair Opportunities Explained
California Jury Instructions/Song-Beverly Consumer Warranty Act/ -
3244. Civil Penalty-Willful Violation (Civ. Code § 1794(c))
California Jury Instructions/32 Song-Beverly Consumer Warranty Act/ -
3243. Consequential Damages
California Jury Instructions/Song-Beverly Consumer Warranty Act/ -
3242. Incidental Damages
California Jury Instructions/Song-Beverly Consumer Warranty Act/ -
3240. Reimbursement Damages Consumer Goods (Civ. Code, §§ 1793.2(d)(1), 1794(b))
California Jury Instructions/32 Song-Beverly Consumer Warranty Act/ -
3230. Continued Reasonable Use Permitted
California Jury Instructions/Song-Beverly Consumer Warranty Act/ -
3222. Affirmative Defense Statute of Limitations
California Jury Instructions/32 Song-Beverly Consumer Warranty Act/ -
3221. Affirmative Defense-Disclaimer of Implied Warranties
California Jury Instructions/Song-Beverly Consumer Warranty Act/ -
3220. Affirmative Defense-Unauthorized or Unreasonable Use
California Jury Instructions/Song-Beverly Consumer Warranty Act/ -
3212. Duration of Implied Warranty
California Jury Instructions/Song-Beverly Consumer Warranty Act/ -
3211. Breach of Implied Warranty of Fitness for a Particular Purpose-Essential Factual Elements
California Jury Instructions/Song-Beverly Consumer Warranty Act/ -
3210. Breach of Implied Warranty of Merchantability Essential Factual Elements
California Jury Instructions/Song-Beverly Consumer Warranty Act/ -
3206. Breach of Disclosure Obligations Essential Factual Elements
California Jury Instructions/Song-Beverly Consumer Warranty Act/ -
3205. Failure To Begin Repairs Reasonable Time Or Complete Within 30 Days
California Jury Instructions/32 Song-Beverly Consumer Warranty Act/ -
3204. Substantially Impaired Explained
California Jury Instructions/Song-Beverly Consumer Warranty Act/ -
3203. Reasonable Number Of Repair Opportunities - Rebuttable Presumption
California Jury Instructions/32 Song-Beverly Consumer Warranty Act/ -
3201. Failure Repurchase Or Replace New Motor Vehicle After Repair Opportunities
California Jury Instructions/32 Song-Beverly Consumer Warranty Act/ -
3200. Failure To Repurchase Or Replace Consumer Good After Repair Opportunities
California Jury Instructions/32 Song-Beverly Consumer Warranty Act/ -
3231. Continuation of Express or Implied Warranty During Repairs (Civ. Code, § 1795.6)
California Jury Instructions/32 Song-Beverly Consumer Warranty Act/ -
3241. Restitution From Manufacturer-New Motor Vehicle
California Jury Instructions/Song-Beverly Consumer Warranty Act/ -
VF 3200. Failure To Repurchase Or Replace Consumer Good After Repair Opportunities
California Jury Instructions/32 Song-Beverly Consumer Warranty Act/ -
VF 3201. Consequential Damages
California Jury Instructions/Song-Beverly Consumer Warranty Act/ -
VF 3202. Failure To Replace After Repair Opportunities Affirmative Defense Unauthorized-Unreasonable Use
California Jury Instructions/Song-Beverly Consumer Warranty Act/ -
VF 3203. Breach of Express Warranty New Motor Vehicle Civil Penalty Sought
California Jury Instructions/Song-Beverly Consumer Warranty Act/ -
VF 3204. Breach of Implied Warranty of Merchantability
California Jury Instructions/Song-Beverly Consumer Warranty Act/ -
VF 3205. Breach of Implied Warranty of Merchantability Affirmative Defense Disclaimer
California Jury Instructions/Song-Beverly Consumer Warranty Act/ -
VF 3206. Breach of Disclosure Obligations
California Jury Instructions/Song-Beverly Consumer Warranty Act/
Form Preview
Sorry, we couldn't download the pdf file.
Our Products
Contact Us
Success: Your message was sent.
Thank you!




