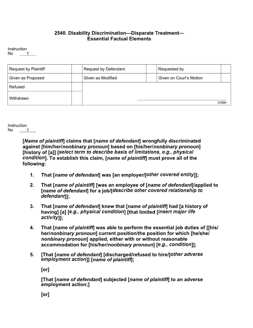
2540. Disability Discrimination Disparate Treatment Essential Factual Elements | Pdf Docx | Jury Instructions

 California Jury Instructions   25 Fair Employment And Housing Act 
2540. Disability Discrimination Disparate Treatment Essential Factual Elements | Pdf Docx | Jury Instructions

Last updated: 6/11/2024

2540. Disability Discrimination Disparate Treatment Essential Factual Elements

Start Your Free Trial $ 13.99
200 Ratings
What you get:
  • Instant access to fillable Microsoft Word or PDF forms.
  • Minimize the risk of using outdated forms and eliminate rejected fillings.
  • Largest forms database in the USA with more than 80,000 federal, state and agency forms.
  • Download, edit, auto-fill multiple forms at once in MS Word using our Forms Workflow Ribbon
  • Trusted by 1,000s of Attorneys and Legal Professionals

Description

Related forms

Our Products