Last updated: 10/29/2024
Chapter 12 Debtors Certifications
Start Your Free Trial $ 14.00What you get:
- Instant access to fillable Microsoft Word or PDF forms.
- Minimize the risk of using outdated forms and eliminate rejected fillings.
- Largest forms database in the USA with more than 80,000 federal, state and agency forms.
- Download, edit, auto-fill multiple forms at once in MS Word using our Forms Workflow Ribbon
- Trusted by 1,000s of Attorneys and Legal Professionals
Description
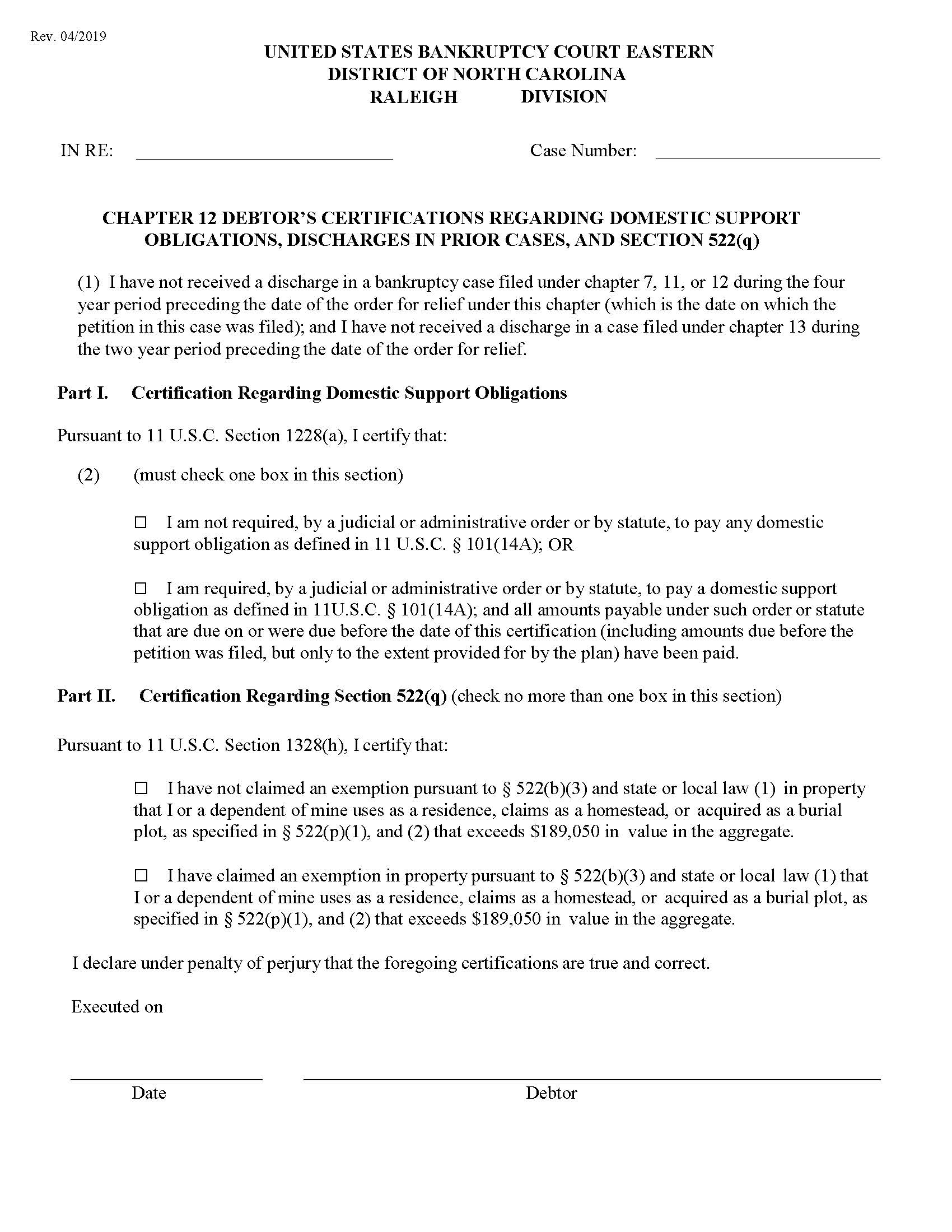
CHAPTER 12 DEBTOR’S CERTIFICATIONS REGARDING DOMESTIC SUPPORT OBLIGATIONS, DISCHARGES IN PRIOR CASES, AND SECTION 522(q). This form is used in bankruptcy proceedings for debtors seeking discharge at the end of a Chapter 12 repayment plan. It confirms three things: first, that the debtor has not received a recent discharge in a previous bankruptcy case under specific chapters within certain time limits; second, that any required domestic support obligations (like child or spousal support) have been paid up to the certification date; and third, whether the debtor has claimed exemptions exceeding a specified value for certain properties like a homestead or burial plot under Section 522(q). www.FormsWorkflow.com
Related forms
-
Application For Approval Of Mental Health Evaluation
North Carolina/Federal/USBC Eastern/ -
CD Order Form
North Carolina/Federal/USBC Eastern/ -
Deposition Subpoena In An Adversary Proceeding
North Carolina/Federal/USBC Eastern/ -
Entry Of Default
North Carolina/Federal/USBC Eastern/ -
Notice Of Motion Or Objection
North Carolina/Federal/USBC Eastern/ -
Order Designating Exempt Property
North Carolina/Federal/USBC Eastern/ -
Summons To Debtor In Involuntary Case
North Carolina/Federal/USBC Eastern/ -
Third Party Summons
North Carolina/Federal/USBC Eastern/ -
Schedule C-2 Property Claimed As Exempt Other Jurisdictions
North Carolina/Federal/USBC Eastern/ -
Appearance Of Child Support Creditor Or Representative
North Carolina/Federal/USBC Eastern/ -
Verification
North Carolina/Federal/USBC Eastern/ -
Motion To Release Unclaimed Funds
North Carolina/Federal/USBC Eastern/ -
Amendment To Mailling Matrix
North Carolina/Federal/USBC Eastern/ -
Certificate Of Service
North Carolina/Federal/USBC Eastern/ -
Statement Regarding Exhibits
North Carolina/Federal/USBC Eastern/ -
Report Of Mediator
North Carolina/Federal/USBC Eastern/ -
Request By Pro Se Debtor To Stop Electronic Notification
North Carolina/Federal/USBC Eastern/ -
Certification Of Supervising Attorney
North Carolina/Federal/USBC Eastern/ -
Notice Of Correction Of Debtor Social Security Number
North Carolina/Federal/USBC Eastern/ -
Notice Of Special Appearance
North Carolina/Federal/USBC Eastern/ -
Notice Of Objection To Claim
North Carolina/Federal/USBC Eastern/ -
Motion To Claim Exempt Property
North Carolina/3 Federal/USBC Eastern/ -
Notice Of Right To Have Exemptions Designated
North Carolina/Federal/USBC Eastern/ -
Summons In An Adversary Proceeding
North Carolina/Federal/USBC Eastern/ -
Certification Of Mailing Matrix Required By EDNC LBR 1007-2
North Carolina/Federal/USBC Eastern/ -
Ballot Report
North Carolina/3 Federal/USBC Eastern/ -
Status Conference Report
North Carolina/3 Federal/USBC Eastern/ -
Certification Of Student Practitioner
North Carolina/3 Federal/USBC Eastern/ -
Certification Of LMM Eligibility And Readiness
North Carolina/3 Federal/USBC Eastern/ -
Notice Of Non-Participation And Termination Of LMM Assistance
North Carolina/3 Federal/USBC Eastern/ -
Certificate Of Noncompliance In Loan Modification Management Program
North Carolina/3 Federal/USBC Eastern/ -
Motion To Extend The LMM Period
North Carolina/3 Federal/USBC Eastern/ -
Proposed Order Extending The LMM Period
North Carolina/3 Federal/USBC Eastern/ -
Motion To Terminate The Loan Modification Management Program
North Carolina/3 Federal/USBC Eastern/ -
Proposed Order Terminating LMM
North Carolina/3 Federal/USBC Eastern/ -
Motion To Approve Trial Loan Modification Agreement
North Carolina/3 Federal/USBC Eastern/ -
Interim Loan Modification Order
North Carolina/3 Federal/USBC Eastern/ -
Motion To Authorize Loan Modification Agreement
North Carolina/3 Federal/USBC Eastern/ -
Loan Modification Summary
North Carolina/3 Federal/USBC Eastern/ -
Loan Modification Order
North Carolina/3 Federal/USBC Eastern/ -
Debtors Verified Motion To Extend Automatic Stay
North Carolina/3 Federal/USBC Eastern/ -
Schedule C-1 Property Claimed As Exempt After Jan. 1 2006
North Carolina/Federal/USBC Eastern/ -
Motion For Loan Modification Management
North Carolina/3 Federal/USBC Eastern/ -
Order For Loan Modification Management
North Carolina/3 Federal/USBC Eastern/ -
Order Substituting LMM Servicer
North Carolina/3 Federal/USBC Eastern/ -
Chapter 12 Debtors Certifications
North Carolina/3 Federal/USBC Eastern/ -
Chapter 13 Debtors Certifications
North Carolina/3 Federal/USBC Eastern/ -
Chapter 13 Plan
North Carolina/Federal/USBC Eastern/ -
Transcript Order Form
North Carolina/Federal/USBC Eastern/ -
Supplemental Agreement To Attorney Client Agreement For LMM Program
North Carolina/3 Federal/USBC Eastern/
Form Preview
Contact Us
Success: Your message was sent.
Thank you!




