Last updated: 11/21/2024
Uniform Affidavit Of Indigency Electronic Monitoring
Start Your Free Trial $ 15.99What you get:
- Instant access to fillable Microsoft Word or PDF forms.
- Minimize the risk of using outdated forms and eliminate rejected fillings.
- Largest forms database in the USA with more than 80,000 federal, state and agency forms.
- Download, edit, auto-fill multiple forms at once in MS Word using our Forms Workflow Ribbon
- Trusted by 1,000s of Attorneys and Legal Professionals
Description
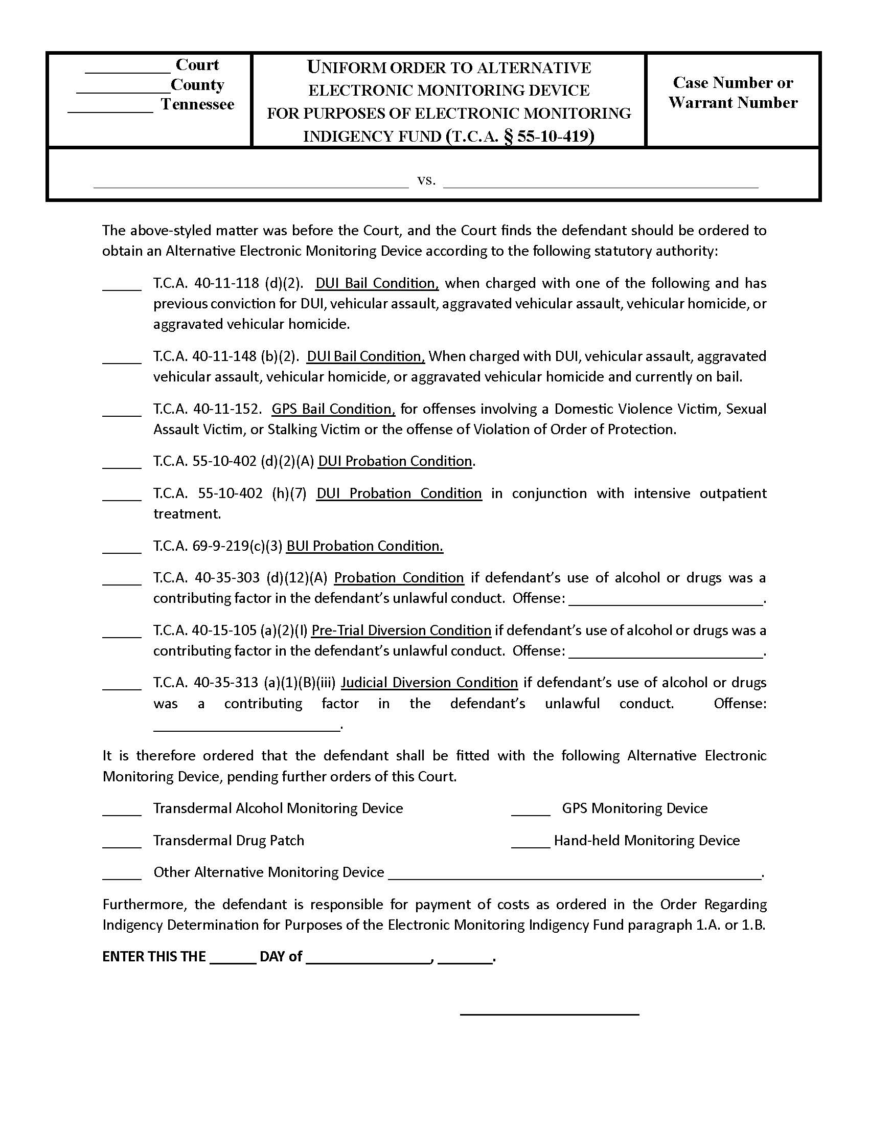
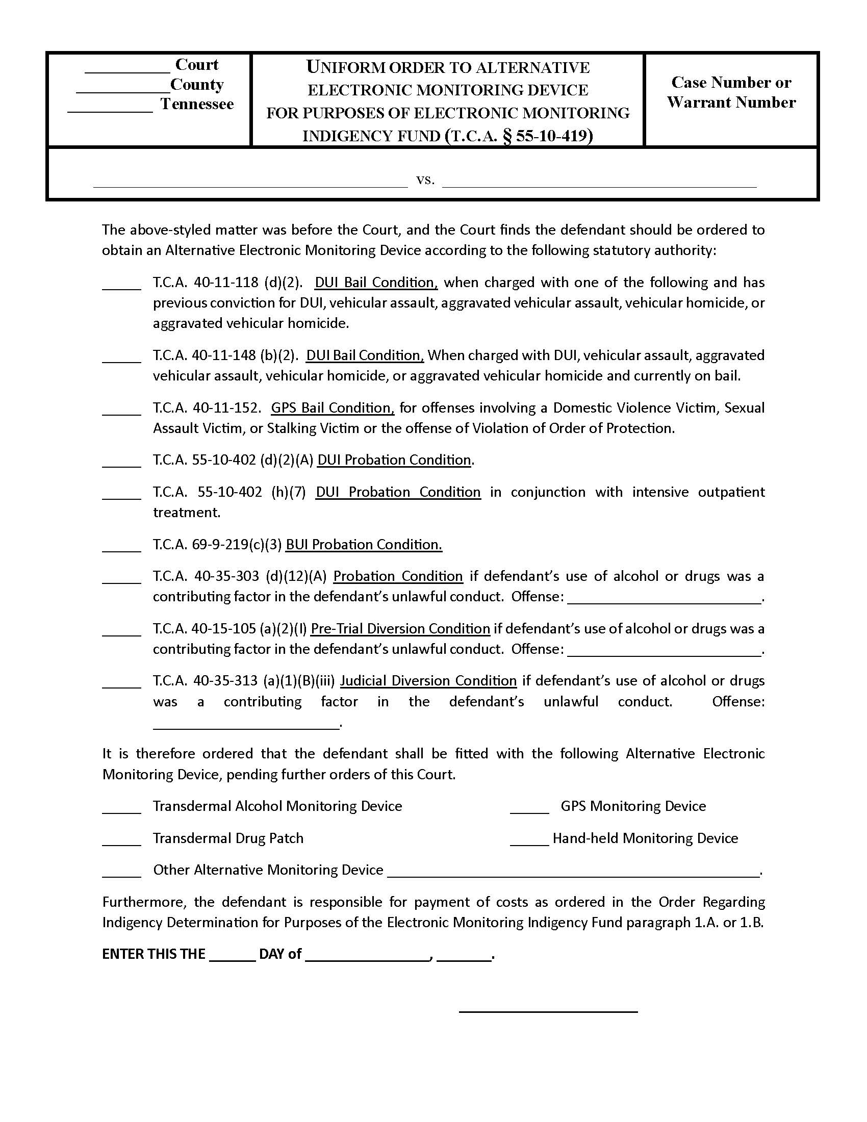
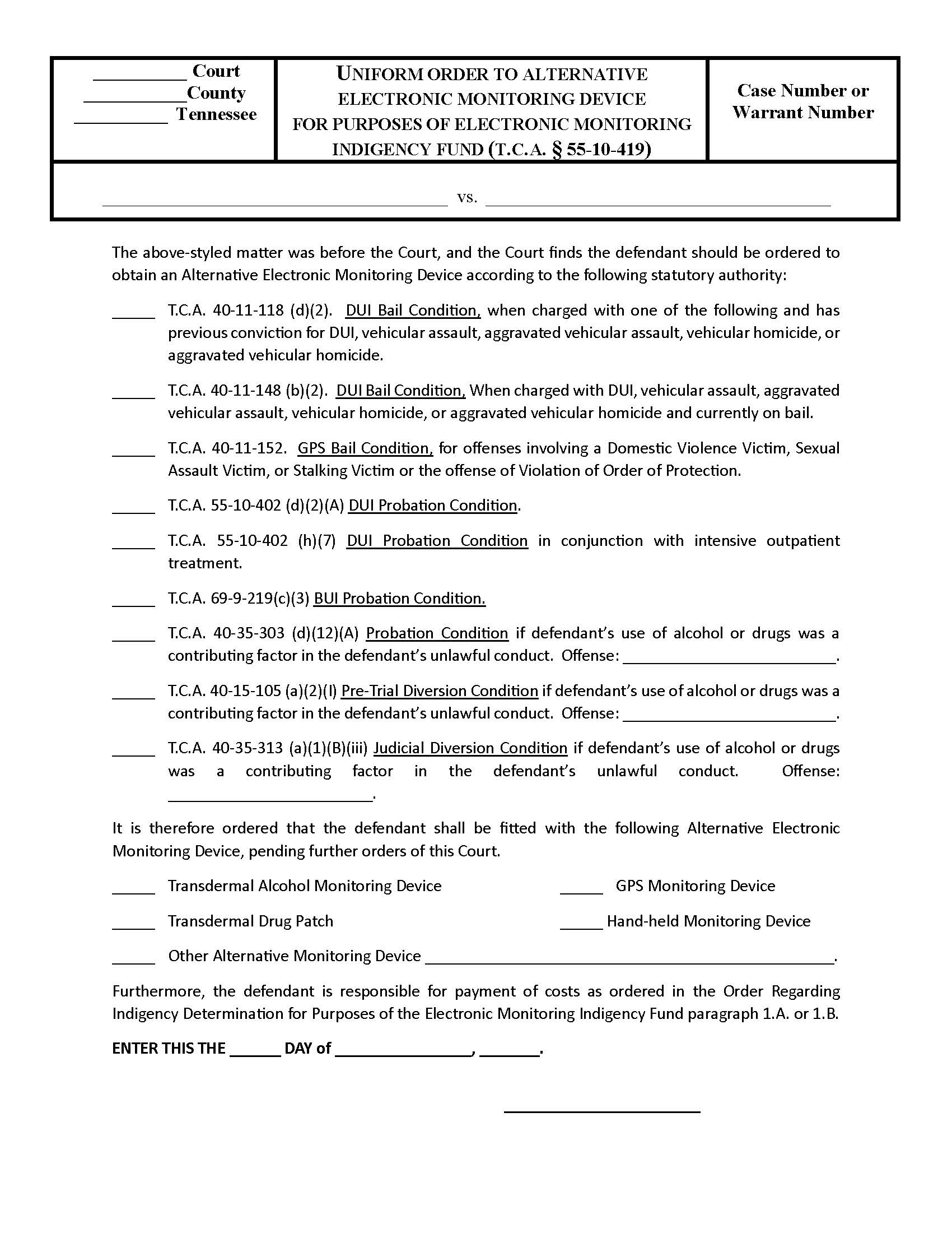
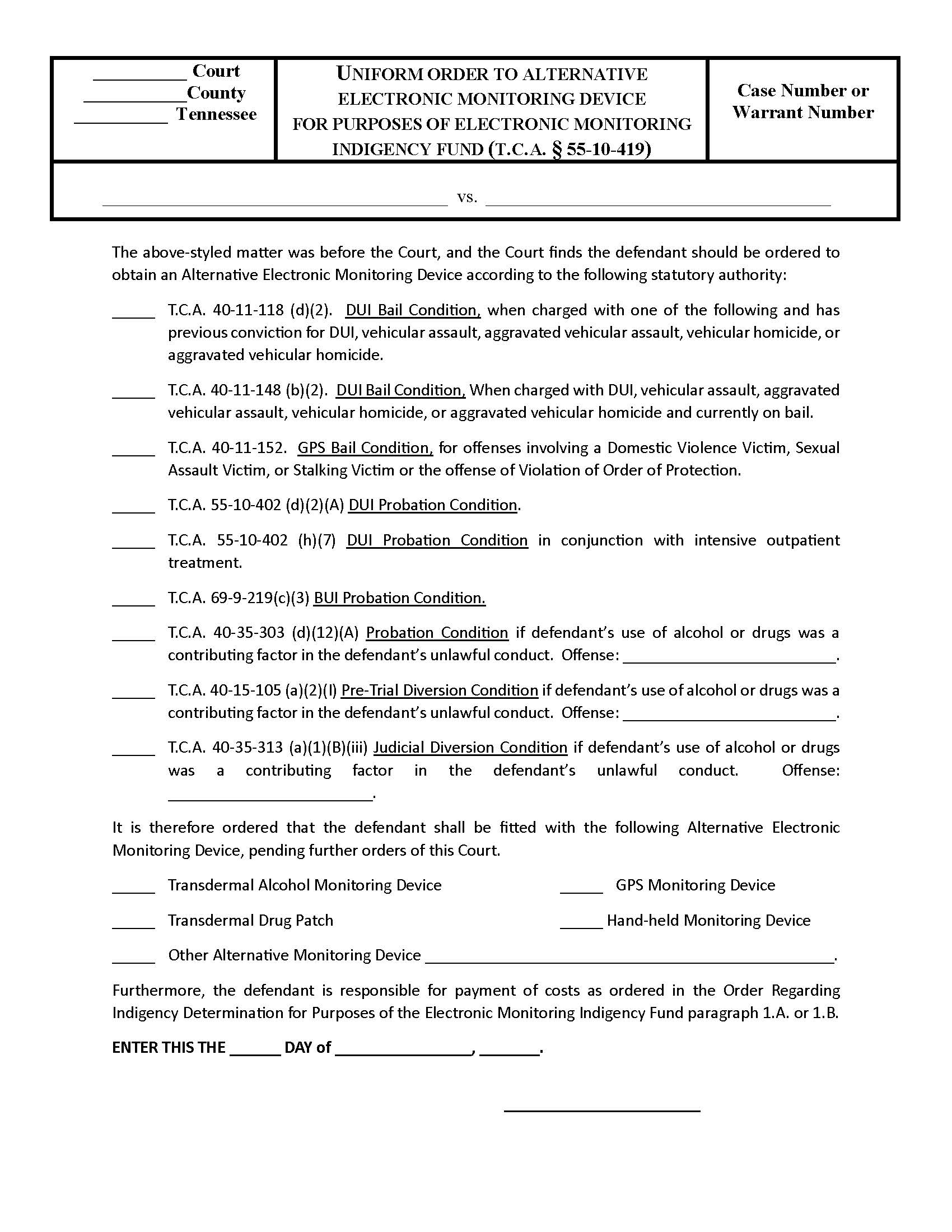
UNIFORM ORDER TO ALTERNATIVE ELECTRONIC MONITORING DEVICE FOR PURPOSES OF ELECTRONIC MONITORING INDIGENCY FUND (T.C.A. § 55-10-419). This form is used to order a defendant in Tennessee to be fitted with an Alternative Electronic Monitoring Device as part of bail, probation, or diversion conditions. It is also associated with determining eligibility for the Electronic Monitoring Indigency Fund, which may assist with monitoring costs for indigent defendants. The order specifies the statutory authority under Tennessee Code Annotated (T.C.A.) for requiring electronic monitoring. Examples include cases involving DUI, domestic violence, stalking, or violations of orders of protection. The devices prescribed may include GPS trackers, alcohol monitoring devices, drug patches, or other electronic monitoring tools. The form outlines the conditions under which the monitoring device is required and assigns the responsibility for payment, potentially invoking the indigency fund for eligible defendants. It ensures compliance with court-ordered conditions while monitoring the defendant’s activities to enhance public safety. www.FormsWorkflow.com
Related forms
-
Affidavit Of Complaint (Criminal)
Tennessee/Statewide/Trial And General Sessions Courts/ -
Affidavit Of Complaint Worthless Check (Criminal)
Tennessee/Statewide/Trial And General Sessions Courts/ -
Affidavit Of Income And Property (One Page)
Tennessee/Statewide/Trial And General Sessions Courts/ -
Appearance Bond To General Sessions Court
Tennessee/Statewide/Trial And General Sessions Courts/ -
Application For Writ Of Immediate Possession Of Personal Property
Tennessee/Statewide/Trial And General Sessions Courts/ -
Arrest Warrant (Criminal)
Tennessee/Statewide/Trial And General Sessions Courts/ -
Capias - Bench Warrant
Tennessee/Statewide/Trial And General Sessions Courts/ -
Civil Summons
Tennessee/Statewide/Trial And General Sessions Courts/ -
Criminal Summons
Tennessee/Statewide/Trial And General Sessions Courts/ -
Detainer Summons (Civil)
Tennessee/Statewide/Trial And General Sessions Courts/ -
Final Forfeiture
Tennessee/Statewide/Trial And General Sessions Courts/ -
Grand Jury Subpoena
Tennessee/Statewide/Trial And General Sessions Courts/ -
Judgment (Letter Size)
Tennessee/Statewide/Trial And General Sessions Courts/ -
Motion For Installment Payments
Tennessee/Statewide/Trial And General Sessions Courts/ -
Motion To Quash Garnishment Or Execution And Claim Exemption Rights
Tennessee/Statewide/Trial And General Sessions Courts/ -
Release Of Garnishment
Tennessee/Statewide/Trial And General Sessions Courts/ -
Release Of Income Assignment
Tennessee/Statewide/Trial And General Sessions Courts/ -
Scire Facias
Tennessee/Statewide/Trial And General Sessions Courts/ -
Stay Of Garnishment Or Attachment
Tennessee/Statewide/Trial And General Sessions Courts/ -
Stay Of Income Assignment
Tennessee/Statewide/Trial And General Sessions Courts/ -
Summons To Recover Personal Property (Civil)
Tennessee/Statewide/Trial And General Sessions Courts/ -
Uniform Affidavit Of Indigency Rule 13
Tennessee/Statewide/Trial And General Sessions Courts/ -
Uniform Civil Affidavit Of Indigency Rule 29
Tennessee/Statewide/Trial And General Sessions Courts/ -
Waiver Of Right To Have Appointed Counsel
Tennessee/Statewide/Trial And General Sessions Courts/ -
Writ Of Possession
Tennessee/Statewide/Trial And General Sessions Courts/ -
Mittimus
Tennessee/Statewide/Trial And General Sessions Courts/ -
Appeal Bond Court Of General Sessions
Tennessee/Statewide/Trial And General Sessions Courts/ -
Initial Appearance
Tennessee/Statewide/Trial And General Sessions Courts/ -
Inventory To Be Included With Summons To Recover Personal Property If Property Is Automobile
Tennessee/Statewide/Trial And General Sessions Courts/ -
Motion To Recover Court Costs
Tennessee/Statewide/Trial And General Sessions Courts/ -
Notice Of Appeal
Tennessee/Statewide/Trial And General Sessions Courts/ -
Notice To Re-Tax Court Costs
Tennessee/Statewide/Trial And General Sessions Courts/ -
Order Re-Taxing Court Costs
Tennessee/Statewide/Trial And General Sessions Courts/ -
Paupers Oath In Lieu Of Appeal Bond
Tennessee/Statewide/Trial And General Sessions Courts/ -
Subpoena
Tennessee/Statewide/Trial And General Sessions Courts/ -
Uniform Fax Filing Cover Sheet
Tennessee/Statewide/Trial And General Sessions Courts/ -
Certificate Of Good Faith Defendants Form
Tennessee/Statewide/Trial And General Sessions Courts/ -
Certificate Of Good Faith Plaintiffs Form
Tennessee/Statewide/Trial And General Sessions Courts/ -
Execution Garnishment
Tennessee/Statewide/Trial And General Sessions Courts/ -
Judgment Sheet - Multiple Charges
Tennessee/Statewide/Trial And General Sessions Courts/ -
Judgment Sheet - Single Charge
Tennessee/Statewide/Trial And General Sessions Courts/ -
Judicial Diversion
Tennessee/Statewide/Trial And General Sessions Courts/ -
Notice Of Filing Foreign Judgment
Tennessee/Statewide/Trial And General Sessions Courts/ -
Petition For Relief From Conviction Or Sentence
Tennessee/Statewide/Trial And General Sessions Courts/ -
Summons For Enforcement Of Foreign Judgment
Tennessee/Statewide/Trial And General Sessions Courts/ -
Uniform PreTrial Diversion Application
Tennessee/Statewide/Trial And General Sessions Courts/ -
Health Insurance Notice
Tennessee/Statewide/Trial And General Sessions Courts/ -
Dispossession Of Firearms
Tennessee/1 Statewide/Trial And General Sessions Courts/ -
Petition For Certificate Of Employability
Tennessee/1 Statewide/Trial And General Sessions Courts/ -
Uniform Affidavit Of Indigency Electronic Monitoring
Tennessee/Statewide/Trial And General Sessions Courts/
Form Preview
Contact Us
Success: Your message was sent.
Thank you!




