Last updated: 1/3/2025
Jury Trial Discovery Control Plan And Scheduling Order (296th Judicial District)
Start Your Free Trial $ 14.00What you get:
- Instant access to fillable Microsoft Word or PDF forms.
- Minimize the risk of using outdated forms and eliminate rejected fillings.
- Largest forms database in the USA with more than 80,000 federal, state and agency forms.
- Download, edit, auto-fill multiple forms at once in MS Word using our Forms Workflow Ribbon
- Trusted by 1,000s of Attorneys and Legal Professionals
Description
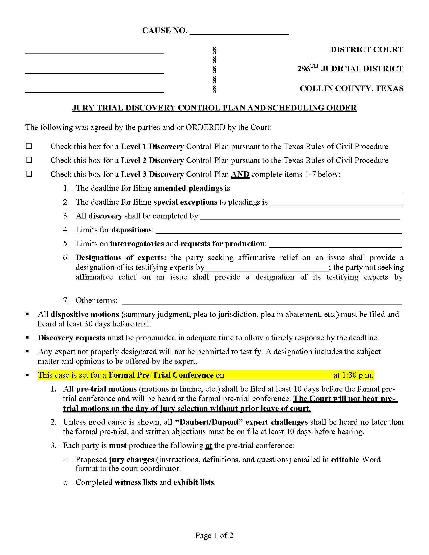
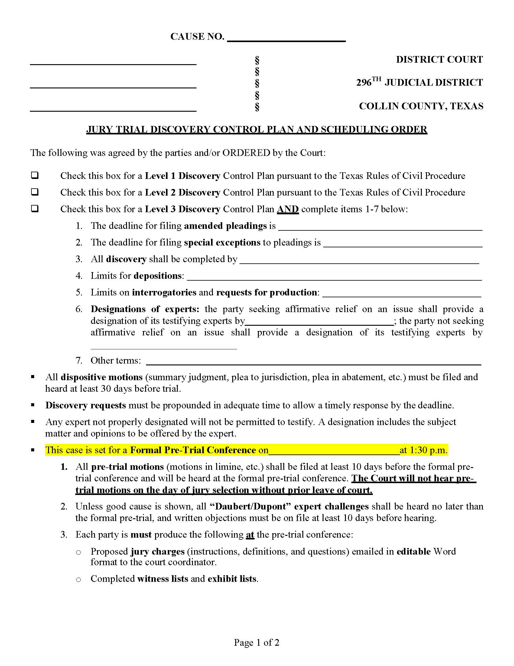
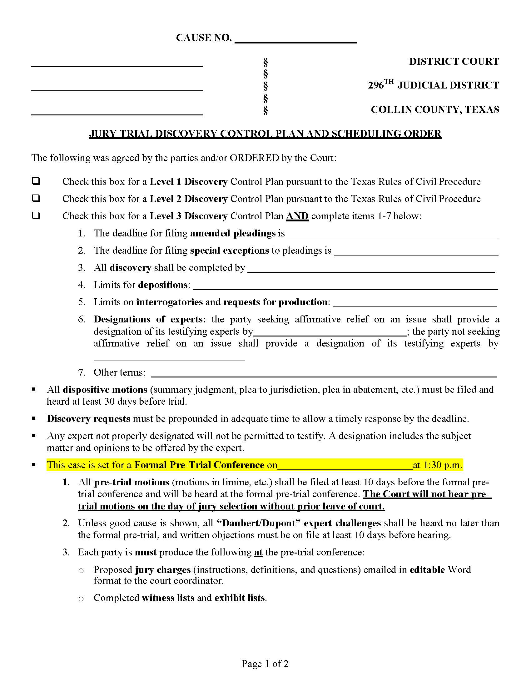
JURY TRIAL DISCOVERY CONTROL PLAN AND SCHEDULING ORDER. This form is used in a civil case in Collin County, Texas. It outlines the discovery schedule and deadlines for various steps in the case, including filing amended pleadings, designating expert witnesses, and completing discovery. The form sets guidelines for pre-trial motions, expert witness challenges, and the production of trial materials like jury charges and exhibits. It also specifies requirements for a formal pre-trial conference, mediation, and the amount of time allowed for trial. It sets the trial date and discusses the rules for submitting motions and scheduling hearings. www.FormsWorkflow.com





