Last updated: 10/2/2024
Motion For Appointment Of Hearing Officer (Divorce)
Start Your Free Trial $ 12.00What you get:
- Instant access to fillable Microsoft Word or PDF forms.
- Minimize the risk of using outdated forms and eliminate rejected fillings.
- Largest forms database in the USA with more than 80,000 federal, state and agency forms.
- Download, edit, auto-fill multiple forms at once in MS Word using our Forms Workflow Ribbon
- Trusted by 1,000s of Attorneys and Legal Professionals
Description
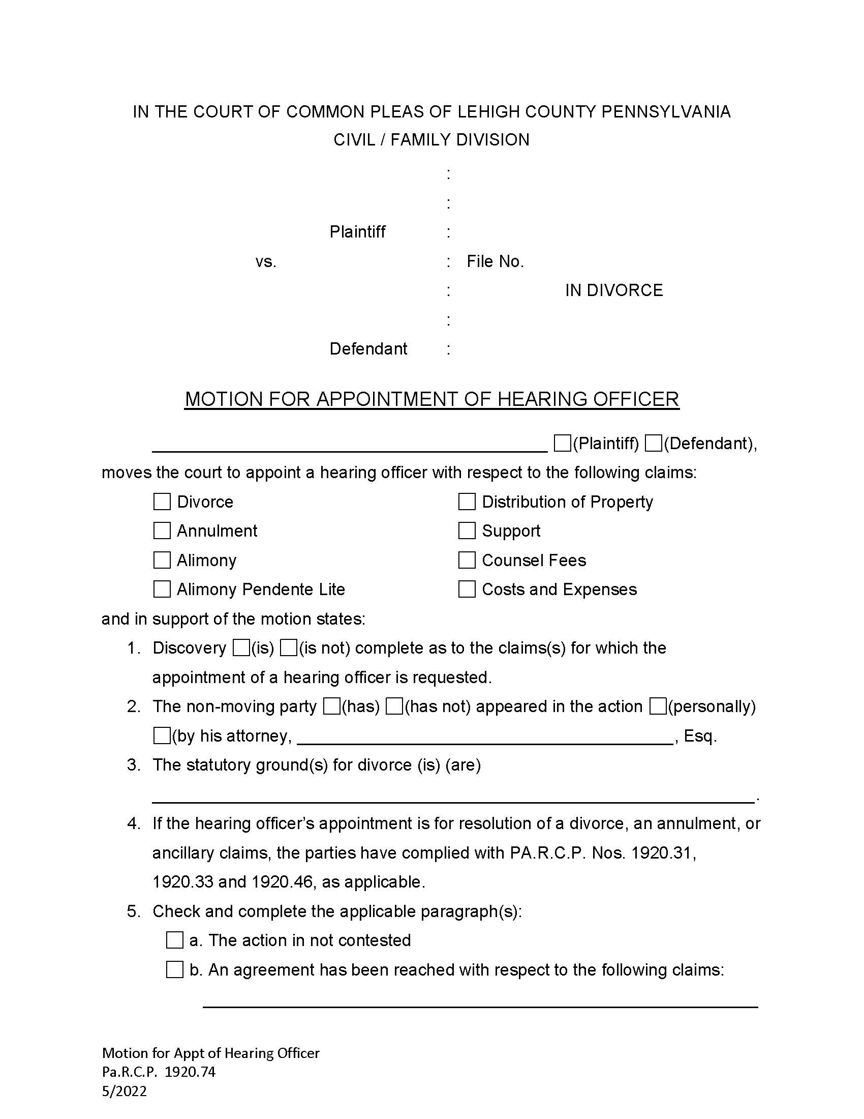
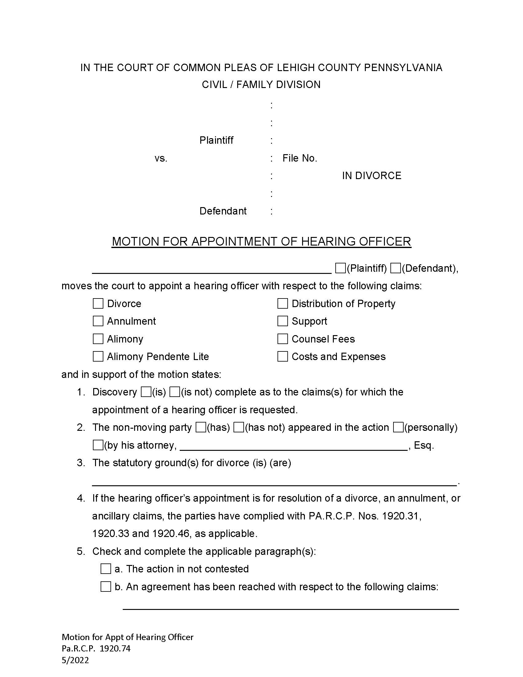
MOTION FOR APPOINTMENT OF HEARING OFFICER. This form is used in the Court of Common Pleas of Lehigh County, Pennsylvania, to request the appointment of a hearing officer in a divorce or related family law matter. The motion can be filed by either the plaintiff or defendant and covers claims such as divorce, annulment, alimony, property distribution, support, and legal fees. The form outlines the status of discovery, whether the case is contested, and whether any agreements have been reached. It also requires compliance with certain Pennsylvania procedural rules and details the expected duration of the hearing. Pa.R.C.P. 1920.74. www.FormsWorkflow.com
Related forms
-
Notice Of Intent To Praecipe For Arbitration
Pennsylvania/Local County/Lehigh/Civil/ -
Counter Affidavit Under 3301(d) Of The Divorce Code
Pennsylvania/Local County/Lehigh/Civil/ -
Notice To Resume Prior Surname
Pennsylvania/Local County/Lehigh/Civil/ -
Order Of Court (To Proceed In Forma Pauperis)
Pennsylvania/Local County/Lehigh/Civil/ -
Praecipe For Withdrawal Of Appearance
Pennsylvania/Local County/Lehigh/Civil/ -
Praecipe To Reinstate Or Reissue
Pennsylvania/Local County/Lehigh/Civil/ -
Praecipe For Writ Of Execution - Mortgage Foreclosure
Pennsylvania/Local County/Lehigh/Civil/ -
Praecipe For Writ Of Possession
Pennsylvania/Local County/Lehigh/Civil/ -
Certification
Pennsylvania/Local County/Lehigh/Civil/ -
Notice Of Appeal From Award Of Board Of Arbitrators
Pennsylvania/Local County/Lehigh/Civil/ -
Petition For Leave To Proceed In Forma Pauperis
Pennsylvania/Local County/Lehigh/Civil/ -
Decree (Divorce)
Pennsylvania/Local County/Lehigh/Civil/ -
Affidavit Of Consent (Divorce)
Pennsylvania/Local County/Lehigh/Civil/ -
Petition For Appeal From Suspension Of An Inspection Mechanic-Station Certificate
Pennsylvania/Local County/Lehigh/Civil/ -
Praecipe For Termination Of Supersedeas-Certiorari
Pennsylvania/Local County/Lehigh/Civil/ -
Praecipe For Terminate Of Supersedeas-Rule 1008
Pennsylvania/Local County/Lehigh/Civil/ -
Interrogatories (For Garnishee)
Pennsylvania/Local County/Lehigh/Civil/ -
Praecipe And Rule To File Complaint Or Bill Of Particulars
Pennsylvania/Local County/Lehigh/Civil/ -
Motion For Appointment Of Hearing Officer (Divorce)
Pennsylvania/Local County/Lehigh/Civil/ -
Waiver Of Notice Of Intention To File The Praecipe To Transmit Record
Pennsylvania/Local County/Lehigh/Civil/ -
Address Change Update
Pennsylvania/Local County/Lehigh/Civil/ -
Application For Continuance Civil Cases
Pennsylvania/Local County/Lehigh/Civil/ -
Petition For Name Change
Pennsylvania/Local County/Lehigh/Civil/ -
Petition For Appeal From A Suspension Of Operating Privilege-Denial Of Drivers License-Suspension Of Motor Vehicle Registration
Pennsylvania/Local County/Lehigh/Civil/ -
Notice Of Intention To Request Entry Of 3301(c) Divorce Decree
Pennsylvania/Local County/Lehigh/Civil/ -
Notice Of Intention To Request Entry Of 3301(d) Divorce Decree
Pennsylvania/Local County/Lehigh/Civil/ -
Notice To Defend And Claim Rights (Divorce)
Pennsylvania/Local County/Lehigh/Civil/ -
Notice Of Filing Judgment
Pennsylvania/Local County/Lehigh/Civil/ -
Important Notice Pursuant To Pa RCP 237.1(a)(2) (Default Judgment)
Pennsylvania/Local County/Lehigh/Civil/ -
Important Notice Pursuant To Pa RCP 237.1(a)(2) (Judgment Of Non Pros)
Pennsylvania/Local County/Lehigh/Civil/ -
Praecipe For Writ Of Possession Upon A Confessed Judgment
Pennsylvania/Local County/Lehigh/Civil/ -
Praecipe For Judgment Of Non Pros
Pennsylvania/Local County/Lehigh/Civil/ -
Praecipe For Entry Of Appearance
Pennsylvania/Local County/Lehigh/Civil/ -
Plaintiffs Affidavit Averment
Pennsylvania/Local County/Lehigh/Civil/ -
Praecipe For Writ Of Execution Upon Confesed Judgment
Pennsylvania/Local County/Lehigh/Civil/ -
Praecipe For Writ Of Revival
Pennsylvania/Local County/Lehigh/Civil/ -
Praecipe For Summons
Pennsylvania/Local County/Lehigh/Civil/ -
Praecipe For Writ Of Execution
Pennsylvania/Local County/Lehigh/Civil/ -
Praecipe For Judgment
Pennsylvania/Local County/Lehigh/Civil/
Form Preview
Contact Us
Success: Your message was sent.
Thank you!




