Last updated: 4/29/2024
Affirmation In Support OSC Restore To Calendar Compliance Hearing Assessment Civil Penalties) {CIV-LT-22}
Start Your Free Trial $ 13.99What you get:
- Instant access to fillable Microsoft Word or PDF forms.
- Minimize the risk of using outdated forms and eliminate rejected fillings.
- Largest forms database in the USA with more than 80,000 federal, state and agency forms.
- Download, edit, auto-fill multiple forms at once in MS Word using our Forms Workflow Ribbon
- Trusted by 1,000s of Attorneys and Legal Professionals
Description
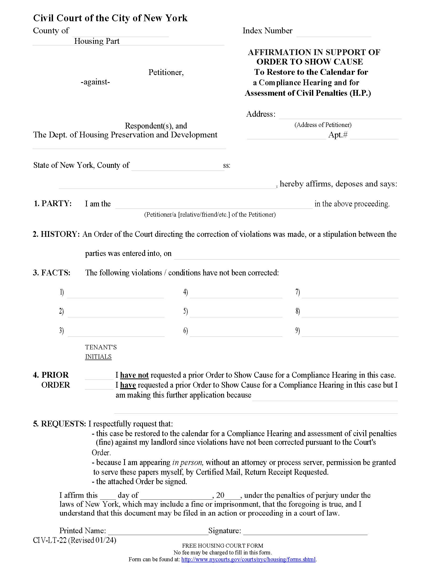
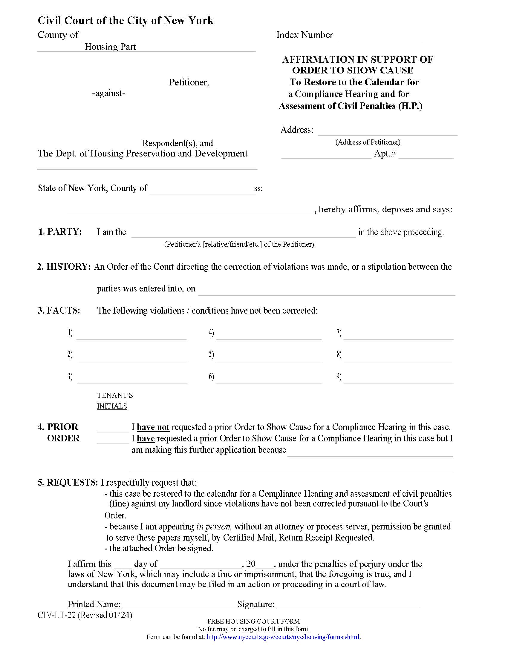
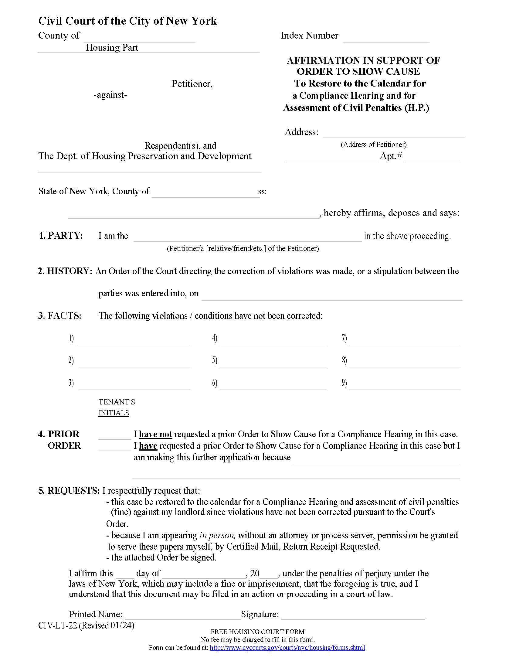
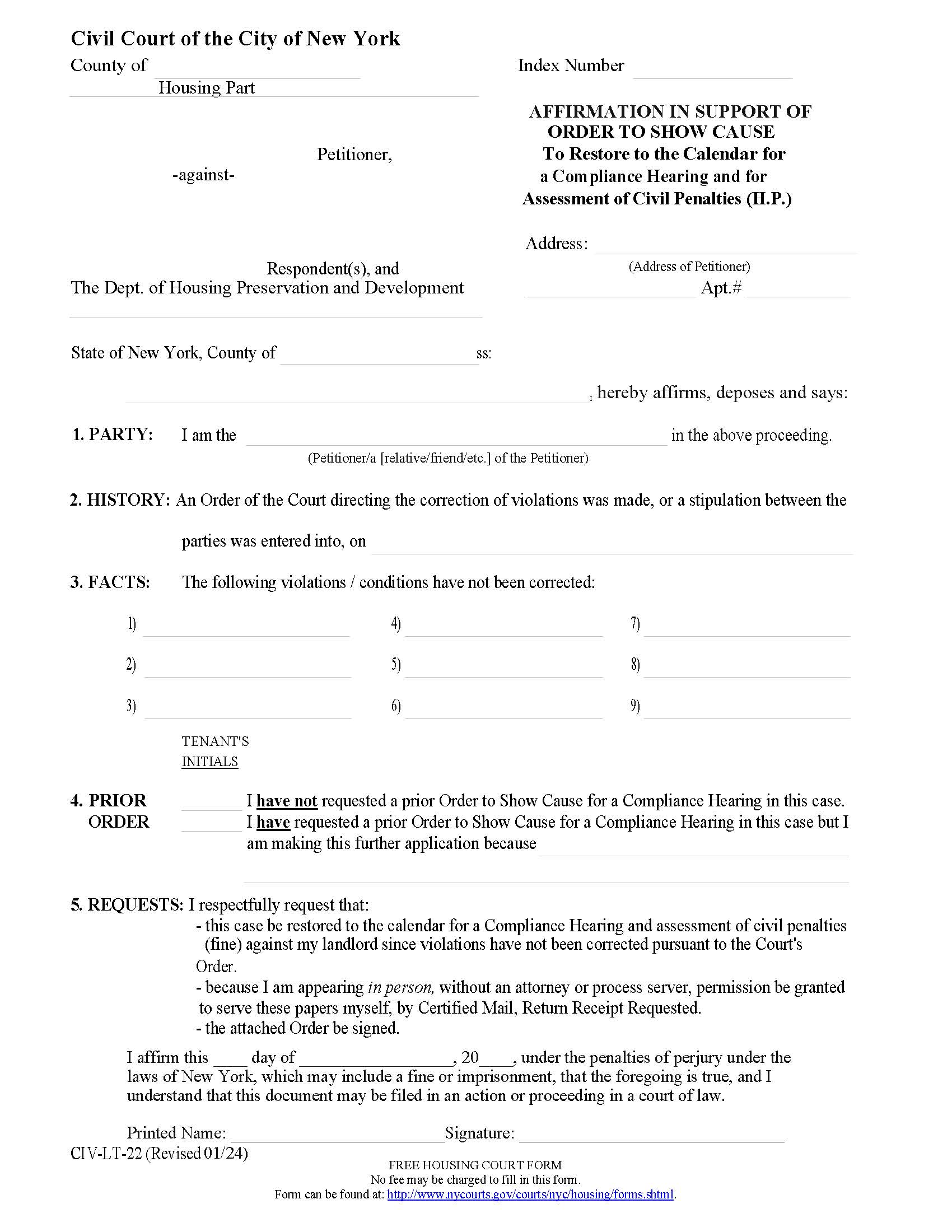
CIV-LT-22 - AFFIRMATION IN SUPPORT OF ORDER TO SHOW CAUSE To Restore to the Calendar for a Compliance Hearing and for Assessment of Civil Penalties (H.P.). This form is used in the Civil Court of the City of New York by a petitioner in a housing proceeding to request a compliance hearing and assessment of civil penalties against their landlord for failure to correct violations as ordered by the court. The affiant outlines the violations that have not been corrected, indicates whether they have previously requested a similar order, and makes specific requests for the case to be restored to the calendar and for permission to serve the papers themselves. They affirm the truth of the statements made under penalty of perjury. www.FormsWorkflow.com
Related forms
-
Notice Of Appeal
New York/Local County/New York/Civil Court/ -
Answer In Person And Verification
New York/Local County/New York/Civil Court/ -
Demand For Trial De Novo
New York/Local County/New York/Civil Court/ -
Landlord-Tenant Answer In Writing And Verification
New York/Local County/New York/Civil Court/ -
Notice Of Cross-Motion
New York/Local County/New York/Civil Court/ -
Notice Of Entry
New York/Local County/New York/Civil Court/ -
Notice Of Motion
New York/Local County/New York/Civil Court/ -
Notice Of Service On An Unauthorized Insurer
New York/Local County/New York/Civil Court/ -
Notice Of Settlement Of Transcript
New York/Local County/New York/Civil Court/ -
Notice Of Transmittal Of Transcript
New York/Local County/New York/Civil Court/ -
Request For Inquest
New York/Local County/New York/Civil Court/ -
Stipulation Of Settlement And Affidavit Upon Default
New York/Local County/New York/Civil Court/ -
Stipulation Of Settlement
New York/Local County/New York/Civil Court/ -
Stipulation To Adjourn
New York/Local County/New York/Civil Court/ -
Tenants Request For Inspection
New York/Local County/New York/Civil Court/ -
Compliance Stipulation And Order
New York/Local County/New York/Civil Court/ -
Notice Of Entry (Landlord-Tenant)
New York/Local County/New York/Civil Court/ -
Preliminary Conference Stipulation And Order For Discovery
New York/Local County/New York/Civil Court/ -
Request For Preliminary Conference
New York/Local County/New York/Civil Court/ -
Request For Audio Record
New York/Local County/New York/Civil Court/ -
Request For Warrant
New York/Local County/New York/Civil Court/ -
Affidavit In Support Of An Order To Show Cause (Restore Possession)
New York/Local County/New York/Civil Court/ -
Affidavit Of Service Of Restraining Notice
New York/Local County/New York/Civil Court/ -
Answer In Writing And Verification
New York/Local County/New York/Civil Court/ -
Questions In Connection With Information Subpoena
New York/Local County/New York/Civil Court/ -
Stipulation Of Settlement (Short Form)
New York/Local County/New York/Civil Court/ -
Affidavit Of Service Of Information Subpoena w-Instructions
New York/Local County/New York/Civil Court/ -
Petition For Family Change Of Name (Supplemental)
New York/Local County/New York/Civil Court/ -
Bulk Purchase Of Index Number Agreement
New York/Local County/New York/Civil Court/ -
Oral Answer Consumer Credit Transaction
New York/Local County/New York/Civil Court/ -
Oral Answer Action For Money Only
New York/Local County/New York/Civil Court/ -
Service Of Process Intake
New York/Local County/New York/Civil Court/ -
Demand Letter (Commercial Claim Arising Out Of Consumer Transaction)
New York/Local County/New York/Civil Court/ -
Notice Of Service Of Summons And Complaint On The Secretary Of State Of The State Of New York
New York/Local County/New York/Civil Court/ -
Affidavit Of Service (Other Than Personal Delivery)
New York/Local County/New York/Civil Court/ -
Affidavit Of Noncompliance
New York/Local County/New York/Civil Court/ -
Non-Military Affidavit
New York/Local County/New York/Civil Court/ -
Vendor Form (Execution)
New York/Local County/New York/Civil Court/ -
Summons (City Court)
New York/Local County/New York/Civil Court/ -
Affidavit Pursuant To CCA 1811 (d) Upon Payment Of Judgement
New York/Local County/New York/Civil Court/ -
Notice Of Discontinuance
New York/Local County/New York/Civil Court/ -
Statement Of Authorization For Electronic Filing (Managing Atty Individual Agent)
New York/Local County/New York/Civil Court/ -
Certification Of Signature (Attorney Or Party)
New York/Local County/New York/Civil Court/ -
Certification Of Signature (Judge)
New York/Local County/New York/Civil Court/ -
Notificatoin For Sealing In Electronically Filed Case
New York/Local County/New York/Civil Court/ -
Statement Of Authorization For Electronic Filing (Single Atty Agent Entity)
New York/Local County/New York/Civil Court/ -
Statement Of Authorization For Electronic Filing (Single Atty Individual Agent)
New York/Local County/New York/Civil Court/ -
Statement Of Authorization For Electronic Filing (Managing Atty Agent Entity)
New York/Local County/New York/Civil Court/ -
Notice Of Holdover Petition
New York/Local County/New York/Civil Court/ -
Notice Of Electronic Filing (Consensual Case) (Uniform Rule 208.4-a)
New York/3 Local County/New York/Civil Court/ -
Stipulation And Consent To E-Filing
New York/3 Local County/New York/Civil Court/ -
Letter Application To Convert Pending Action To E-Filing
New York/3 Local County/New York/Civil Court/ -
Statement Of Claim (Commercial Claims)
New York/Local County/New York/Civil Court/ -
Notice Of Nonpayment Petition
New York/Local County/New York/Civil Court/ -
Notice Of Electronic Filing (Mandatory Case) (Uniform Rule 208.4-a 202.5-bb)
New York/3 Local County/New York/Civil Court/ -
Notice Of Opt-Out From Participation In Action Subject To Mandatory Electronic Filing
New York/3 Local County/New York/Civil Court/ -
Notice Of Hard Copy Submission - E-Filed Case
New York/3 Local County/New York/Civil Court/ -
Notice Of Hard Copy Exhibit Filing
New York/3 Local County/New York/Civil Court/ -
Notice Of Intent To Cease E-Filing In This Case
New York/3 Local County/New York/Civil Court/ -
COVID-19 Hardship Declaration Affidavit (Residential)
New York/3 Local County/New York/Civil Court/ -
COVID-19 Hardship Declaration Affidavit (Commercial)
New York/3 Local County/New York/Civil Court/ -
Notice Of Conversion To Electronic Filing (Converted Action To E-Filing)
New York/3 Local County/New York/Civil Court/ -
Application For A Summons
New York/Local County/New York/Civil Court/ -
Statement Of Claim (Small Claims)
New York/Local County/New York/Civil Court/ -
Affirmation Of Compliance With The Insurance Law
New York/Local County/New York/Civil Court/ -
Affirmation Of Compliance With VTL 253 (Reverse)
New York/Local County/New York/Civil Court/ -
Affirmation In Support
New York/Local County/New York/Civil Court/ -
Affirmation Of Military Investigation
New York/Local County/New York/Civil Court/ -
Affirmation Of Service Summons With Endorsed Complaint (Other Than Personal Delivery)
New York/Local County/New York/Civil Court/ -
Affirmation Of Service Summons With Endorsed Complaint (Personal Delivery)
New York/Local County/New York/Civil Court/ -
Affirmation Of Service Order To Show Cause Affirmation In Support
New York/Local County/New York/Civil Court/ -
Affirmation In Support Order To Show Cause Punish For Contempt
New York/Local County/New York/Civil Court/ -
Affirmation Of Service Of Subpoena For Records
New York/Local County/New York/Civil Court/ -
Affirmation Of Service Of Subpoena To Testify
New York/Local County/New York/Civil Court/ -
Affirmation Of Service Of Demand For Trial De Novo
New York/Local County/New York/Civil Court/ -
Affirmation In Support Of OSC (Vacate Judgment-Restore To Calendar)
New York/Local County/New York/Civil Court/ -
Affirmation Of Service Of Judgment With Notice Of Entry
New York/Local County/New York/Civil Court/ -
Affirmation Requesting Nunc Pro Tunc Filing
New York/Local County/New York/Civil Court/ -
Affirmation In Support Application To Proceed As Poor Person Waive Court Fees
New York/Local County/New York/Civil Court/ -
Affirmation In Support Poor Person Application Authorizing State Costs Of Transcript
New York/Local County/New York/Civil Court/ -
Affimation In Opposition (Landlord-Tenant)
New York/Local County/New York/Civil Court/ -
Service Other Than By Personal Delivery
New York/Local County/New York/Civil Court/ -
Affirmation Of Personal Service
New York/Local County/New York/Civil Court/ -
Affirmation Of Service Of Judgment With Notice Of Entry
New York/Local County/New York/Civil Court/ -
Affirmation In Support Of OSC To Restore To Calendar (LT)
New York/Local County/New York/Civil Court/ -
Affirmation Of Military Investigation
New York/Local County/New York/Civil Court/ -
Affirmation In Support Of Order To Show Cause Generic
New York/Local County/New York/Civil Court/ -
Affirmation In Support Of An Order For Withdrawal Of Funds
New York/Local County/New York/Civil Court/ -
Affirmation In Support OSC Restore To Calendar Compliance Hearing Assessment Civil Penalties)
New York/Local County/New York/Civil Court/ -
Affirmation Of Service (Personal Delivery)
New York/Local County/New York/Civil Court/ -
Reply Affirmation (Landlord-Tenant)
New York/Local County/New York/Civil Court/ -
Reply Affirmation
New York/Local County/New York/Civil Court/ -
Affirmation In Opposition
New York/Local County/New York/Civil Court/ -
Affirmation In Support Of An Order To Show Cause
New York/Local County/New York/Civil Court/ -
Affirmation Of Service Of Order To Show Cause And Affidavit In Support
New York/Local County/New York/Civil Court/ -
Affirmation Of Unavailability And Request For Adjournment
New York/Local County/New York/Civil Court/ -
Affirmation Of Service By Mail
New York/Local County/New York/Civil Court/ -
Affirmation Of Service (Other Than Personal Delivery)
New York/Local County/New York/Civil Court/ -
Request For An Execution From NYC Small Claims Or Civil Court
New York/Local County/New York/Civil Court/ -
Eviction Intake
New York/Local County/New York/Civil Court/ -
Written Answer Action For Money Only
New York/Local County/New York/Civil Court/ -
Petition For Family Change Of Name
New York/Local County/New York/Civil Court/ -
Written Answer Consumer Credit Transaction
New York/Local County/New York/Civil Court/
Form Preview
Contact Us
Success: Your message was sent.
Thank you!




