Last updated: 10/22/2025
Final Pretrial Order (Judge Reinhard)
Start Your Free Trial $ 16.00What you get:
- Instant access to fillable Microsoft Word or PDF forms.
- Minimize the risk of using outdated forms and eliminate rejected fillings.
- Largest forms database in the USA with more than 80,000 federal, state and agency forms.
- Download, edit, auto-fill multiple forms at once in MS Word using our Forms Workflow Ribbon
- Trusted by 1,000s of Attorneys and Legal Professionals
Description
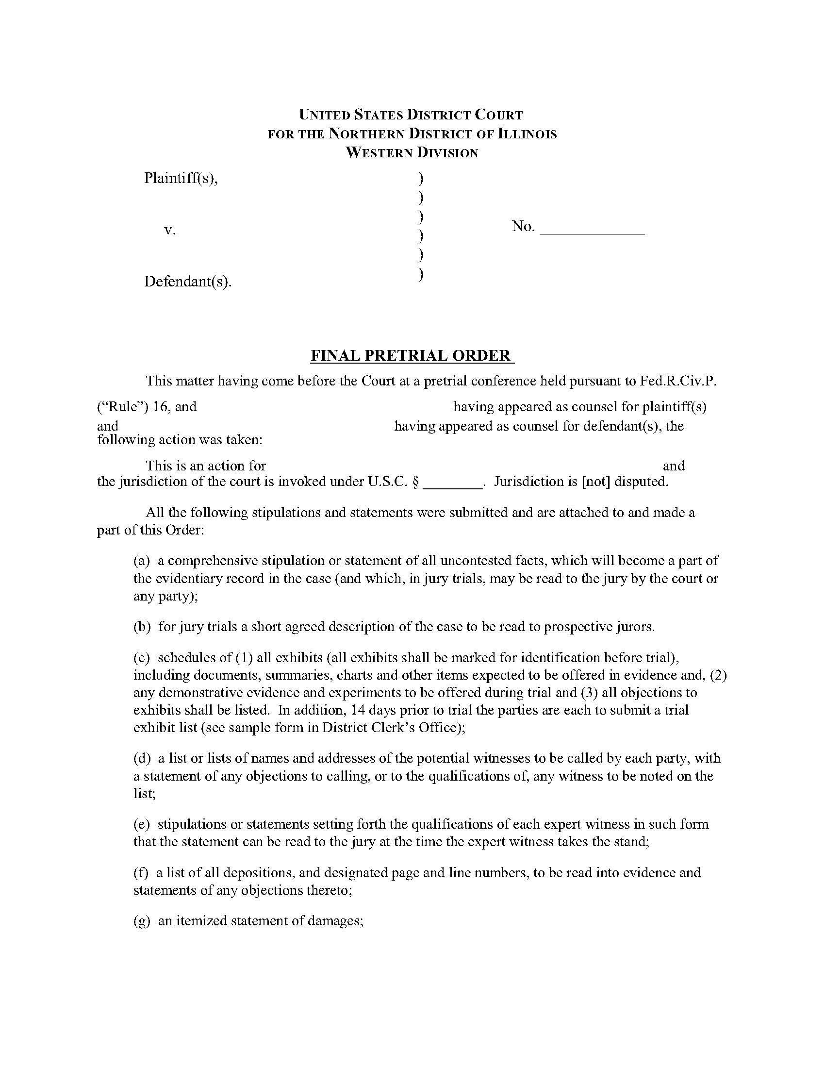
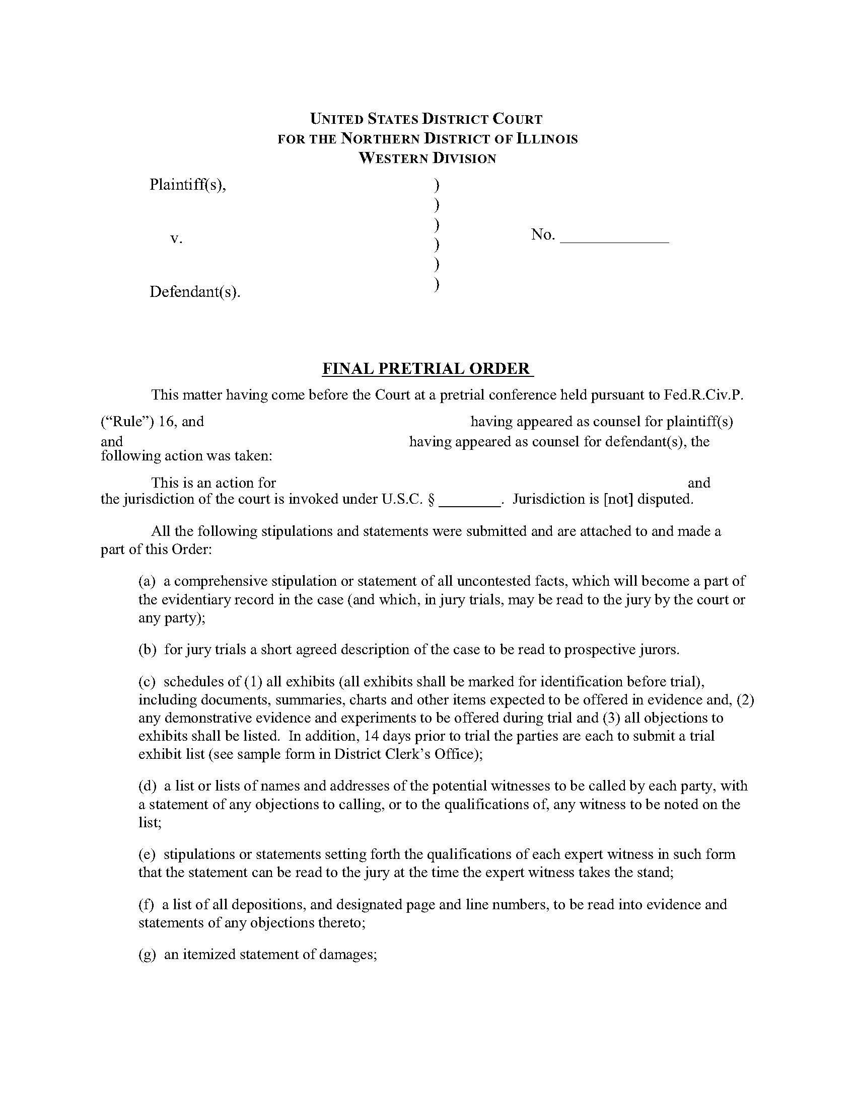
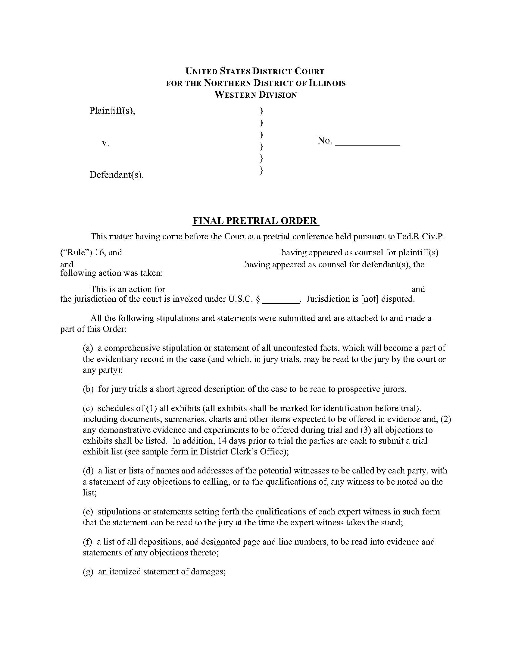
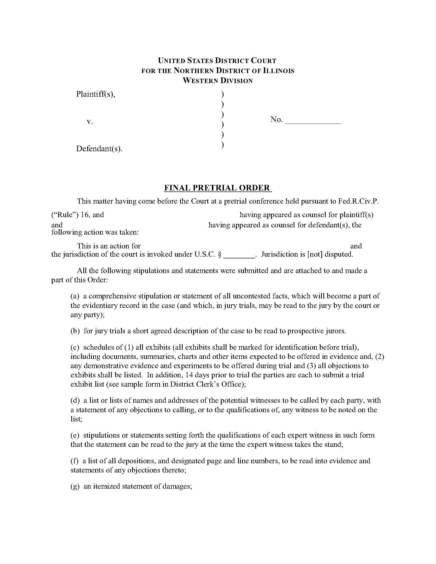
FINAL PRETRIAL ORDER. This form is used in the U.S. District Court for the Northern District of Illinois, Western Division, is entered pursuant to Federal Rule of Civil Procedure 16 to establish the final framework for trial. It requires both parties to file and attach a complete set of stipulations and statements, including a comprehensive list of uncontested facts (which may be read to the jury), a short agreed case description for jury selection, exhibit lists (with all objections), witness lists with objections and qualifications of experts, deposition designations, and an itemized statement of damages. For jury trials, the order mandates the submission of trial briefs, proposed jury instructions, verdict forms, and voir dire questions under Rule 47(a). Non-jury trials require proposed findings of fact and conclusions of law. Each side is limited to five motions in limine, included within the order rather than filed separately. The order confirms that discovery has been completed and sets expectations for trial length, number of jurors, and possible bifurcation of liability and damages. It also records whether the parties consent to trial before a magistrate judge and acknowledges that this order governs the trial proceedings unless amended to prevent manifest injustice. www.FormsWorkflow.com
Related forms
-
Complaint Of Employment Discrimination
Illinois/Federal/USDC Northern/ -
Authorization And Waiver
Illinois/Federal/USDC Northern/ -
Consent To Exercise Of Jurisdiction By US Magistrate Judge
Illinois/Federal/USDC Northern/ -
Limited Consent To Exercise Of Jurisdiction
Illinois/Federal/USDC Northern/ -
Motion To Vacate Set Aside Or Correct Sentence By A Person In Federal Custody
Illinois/Federal/USDC Northern/ -
Observation Affidavit Of Supervising Attorney
Illinois/Federal/USDC Northern/ -
Petition For Admission To The General Bar
Illinois/Federal/USDC Northern/ -
Petition For Admission To The Trial Bar
Illinois/Federal/USDC Northern/ -
Public Files Request
Illinois/Federal/USDC Northern/ -
Request For Prepayment Or Reimbursement Of Expenses
Illinois/Federal/USDC Northern/ -
Motion For Admission To Practice
Illinois/Federal/USDC Northern/ -
Instructions For Completing Appearance Form (Local Appearance Rules)
Illinois/Federal/USDC Northern/ -
Amended Complaint Under The Civil Rights Act Or Bivens Action
Illinois/Federal/USDC Northern/ -
Limited Attorney Appearance Form As Settlement Assistance Counsel
Illinois/Federal/USDC Northern/ -
Transcription Redaction Request
Illinois/Federal/USDC Northern/ -
Notice Of Motion And Certificate Of Service
Illinois/Federal/USDC Northern/ -
Request For Early Settlement Conference
Illinois/Federal/USDC Northern/ -
Mediation Evaluation Form For Attorneys (ILND Western Division)
Illinois/Federal/USDC Northern/ -
Mediation Evaluation Form For Mediators (ILND Western Division)
Illinois/Federal/USDC Northern/ -
Mediators Oath Of Office (ILND Western Division)
Illinois/Federal/USDC Northern/ -
Summons In A Civil Case (ILND Electronic Version)
Illinois/Federal/USDC Northern/ -
Civil Complaint Form
Illinois/4 Federal/USDC Northern/ -
Complaint Under Family And Medical Leave Act (FMLA)
Illinois/4 Federal/USDC Northern/ -
Settlement Checklist-Term Sheet (Mag. Judge Finnegan)
Illinois/Federal/USDC Northern/ -
Affidavit For Certification Of Simulation Unit
Illinois/Federal/USDC Northern/ -
Pretrial Memorandum (Employment Discrimination Cases)
Illinois/Federal/USDC Northern/ -
Pretrial Memorandum (Personal Injury Cases)
Illinois/Federal/USDC Northern/ -
Notice Of Party Contact Information
Illinois/Federal/USDC Northern/ -
Notification Of Change Of Attorney Address Or Name
Illinois/Federal/USDC Northern/ -
Report Of The Parties Planning Meeting
Illinois/Federal/USDC Northern/ -
Answer To Complaint To Foreclose Mortgage
Illinois/Federal/USDC Northern/ -
Mediation Evaluation Form For Parties (ILND Western Division)
Illinois/Federal/USDC Northern/ -
Plaitiffs Certificate Of Service Of Process
Illinois/Federal/USDC Northern/ -
Certificate Of Service (Motion To Confirm Report Of Sale
Illinois/Federal/USDC Northern/ -
Complaint To Foreclose Mortgage
Illinois/Federal/USDC Northern/ -
Plaintiffs Military Affidavit
Illinois/Federal/USDC Northern/ -
Final Pretrial Order (Mag. Judge Johnston)
Illinois/Federal/USDC Northern/ -
Corrected Joint Status Report For Cases Assigned To Judge Gettleman
Illinois/Federal/USDC Northern/ -
Settlement Checklist-Term Sheet (Judge Chang)
Illinois/Federal/USDC Northern/ -
Pretrial Memorandum For Use In Personal Injury Cases (Judge Kocoras)
Illinois/Federal/USDC Northern/ -
Final Pretrial Order - Short Form (Judge Kocoras)
Illinois/Federal/USDC Northern/ -
Pretrial Memorandum For Use In Employment Discrimination Cases (Judge Kocoras)
Illinois/Federal/USDC Northern/ -
Final Pretrial Order (Judge Kocoras)
Illinois/Federal/USDC Northern/ -
Mediator Certification Of Session (Western Division)
Illinois/Federal/USDC Northern/ -
Civil Cover Sheet
Illinois/Federal/USDC Northern/ -
Motion For Leave To Appear Pro Hac Vice
Illinois/Federal/USDC Northern/ -
Sealed Temporary Restraining Order
Illinois/Federal/USDC Northern/ -
Plaintiff(s) And Defendant(s) Joint Rule 26(f)(1) Report (Judge Pallmeyer)
Illinois/Federal/USDC Northern/ -
Qualified Protective Order (HIPAA - Mag. Judge Shain)
Illinois/Federal/USDC Northern/ -
Proposed (Rule 16b) Scheduling Order (Judge Valdez)
Illinois/Federal/USDC Northern/ -
(Model) Stipulated Order For Discovery Of Electronically Stored Information (Mag. Judge Hotaling)
Illinois/Federal/USDC Northern/ -
Qualified Protective Order (HIPAA - Mag. Judge Hotaling)
Illinois/Federal/USDC Northern/ -
Qualified Protective Order (HIPAA - Mag. Judge Schneider)
Illinois/Federal/USDC Northern/ -
Joint Initial Status Report Under Rule 26(f) (Judge Seeger)
Illinois/Federal/USDC Northern/ -
Scheduling Order Under Rule 16(b) (Judge Seeger)
Illinois/Federal/USDC Northern/ -
Sample Qualified Protective Order (HIPAA)
Illinois/Federal/USDC Northern/ -
Joint Initial Status Report Under Rule 26(f) (Judge Valderrama)
Illinois/Federal/USDC Northern/ -
Final Pretrial Order (Judge Reinhard)
Illinois/Federal/USDC Northern/ -
Proposed Scheduling Order (Judge Lefkow)
Illinois/Federal/USDC Northern/ -
Joint Initial Status Report Under Rule 26(f) (Judge Kness)
Illinois/Federal/USDC Northern/ -
FLSA Schedling Order (Mag. Judge Johnston)
Illinois/Federal/USDC Northern/ -
Trial Exhibit List Form (Western Division)
Illinois/Federal/USDC Northern/ -
Registry Deposit Form
Illinois/Federal/USDC Northern/ -
Parties Proposed Case Management Order (Mag. Judge Johnston)
Illinois/Federal/USDC Northern/ -
(Model) Stipulated Order For Discovery Of Electronically Stored Information (Judge Harjani)
Illinois/Federal/USDC Northern/ -
Complaint Under The Civil Rights Act Or Bivens Action
Illinois/Federal/USDC Northern/ -
Joint Report On EAR Hearing
Illinois/Federal/USDC Northern/ -
Qualified Protective Order (HIPAA - Sample) (Mag. Judge Appenteng)
Illinois/Federal/USDC Northern/ -
Attorney Appearance Form
Illinois/Federal/USDC Northern/ -
Parties Proposed Case Management Order (Mag. Judge Schneider)
Illinois/Federal/USDC Northern/ -
Final Pretrial Order
Illinois/Federal/USDC Northern/ -
Final Pretrial Order (Mag. Judge Schneider)
Illinois/Federal/USDC Northern/ -
FLSA Schedling Order (Mag. Judge Schneider)
Illinois/Federal/USDC Northern/ -
Summons In A Civil Action
Illinois/Federal/USDC Northern/ -
Joint Initial Status Report (Judge Johnston)
Illinois/Federal/USDC Northern/
Form Preview
Contact Us
Success: Your message was sent.
Thank you!




