Massachusetts
Workers Comp
200 Ratings
Last updated: 2/16/2024
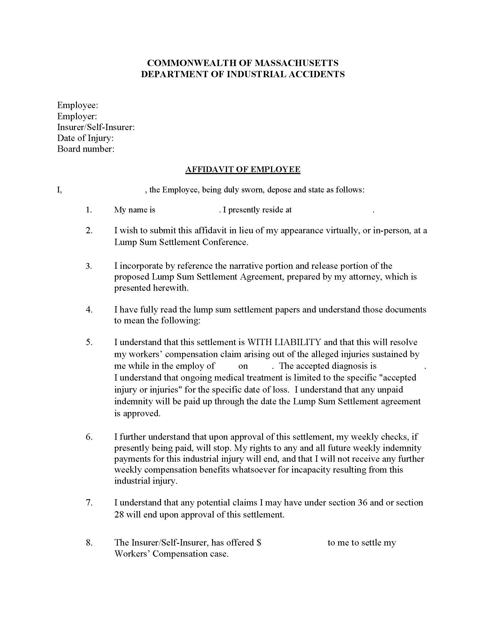
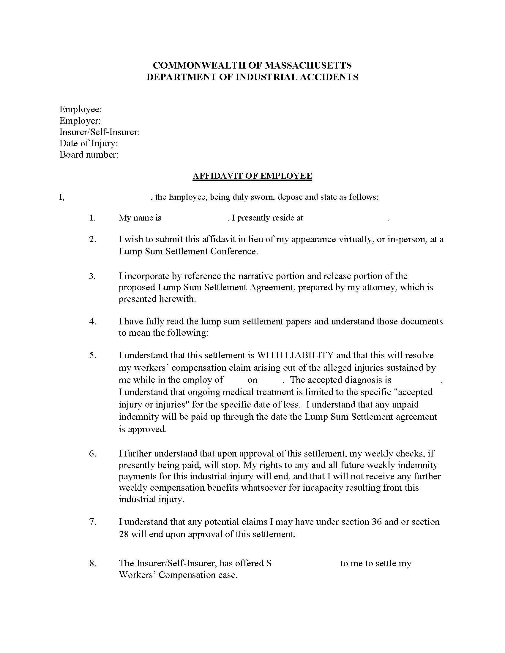
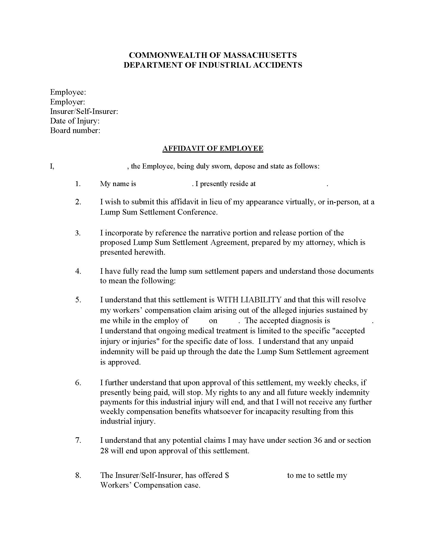
Uniform Lump Sum Settlement Employee Affidavit
Start Your Free Trial $ 14.00What you get:
- Instant access to fillable Microsoft Word or PDF forms.
- Minimize the risk of using outdated forms and eliminate rejected fillings.
- Largest forms database in the USA with more than 80,000 federal, state and agency forms.
- Download, edit, auto-fill multiple forms at once in MS Word using our Forms Workflow Ribbon
- Trusted by 1,000s of Attorneys and Legal Professionals
Description
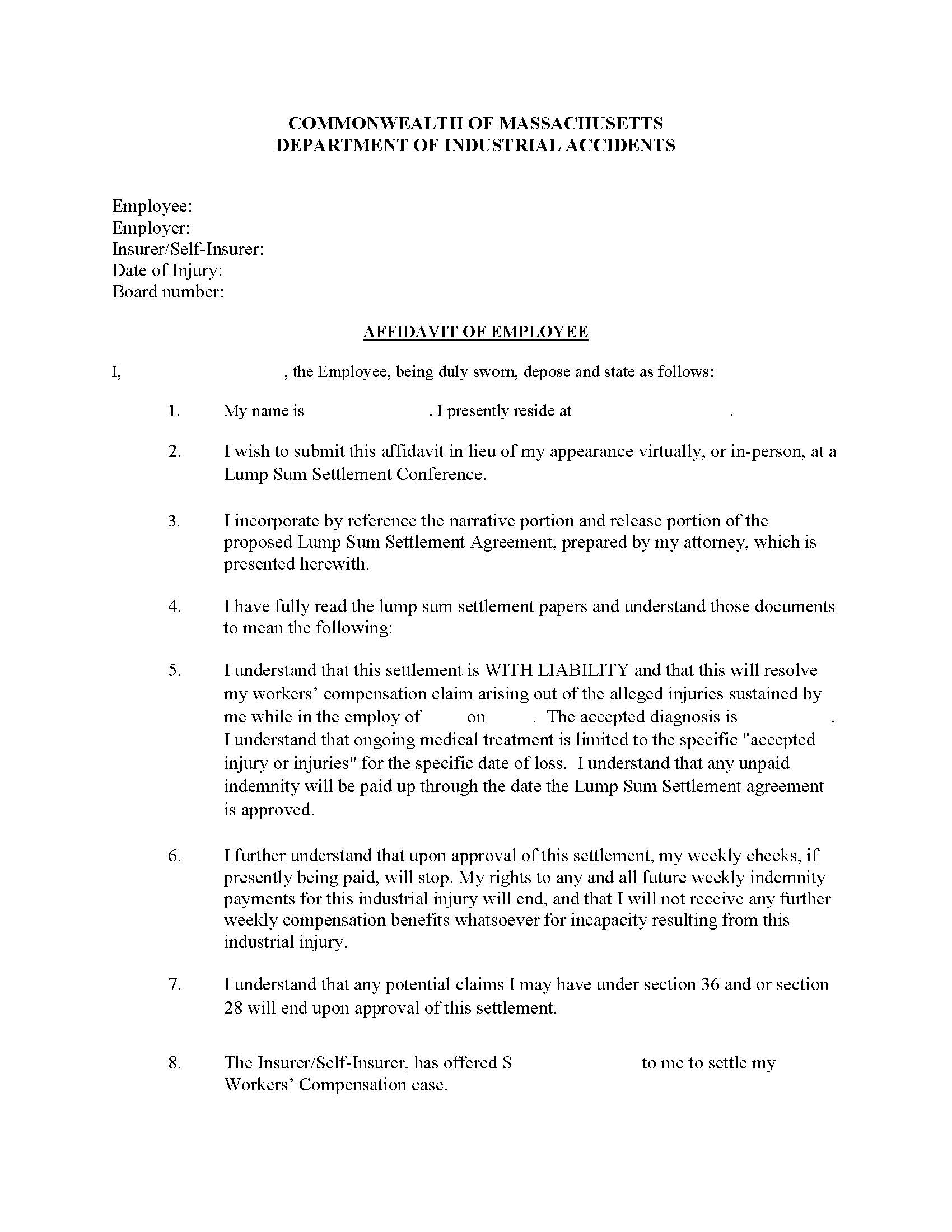
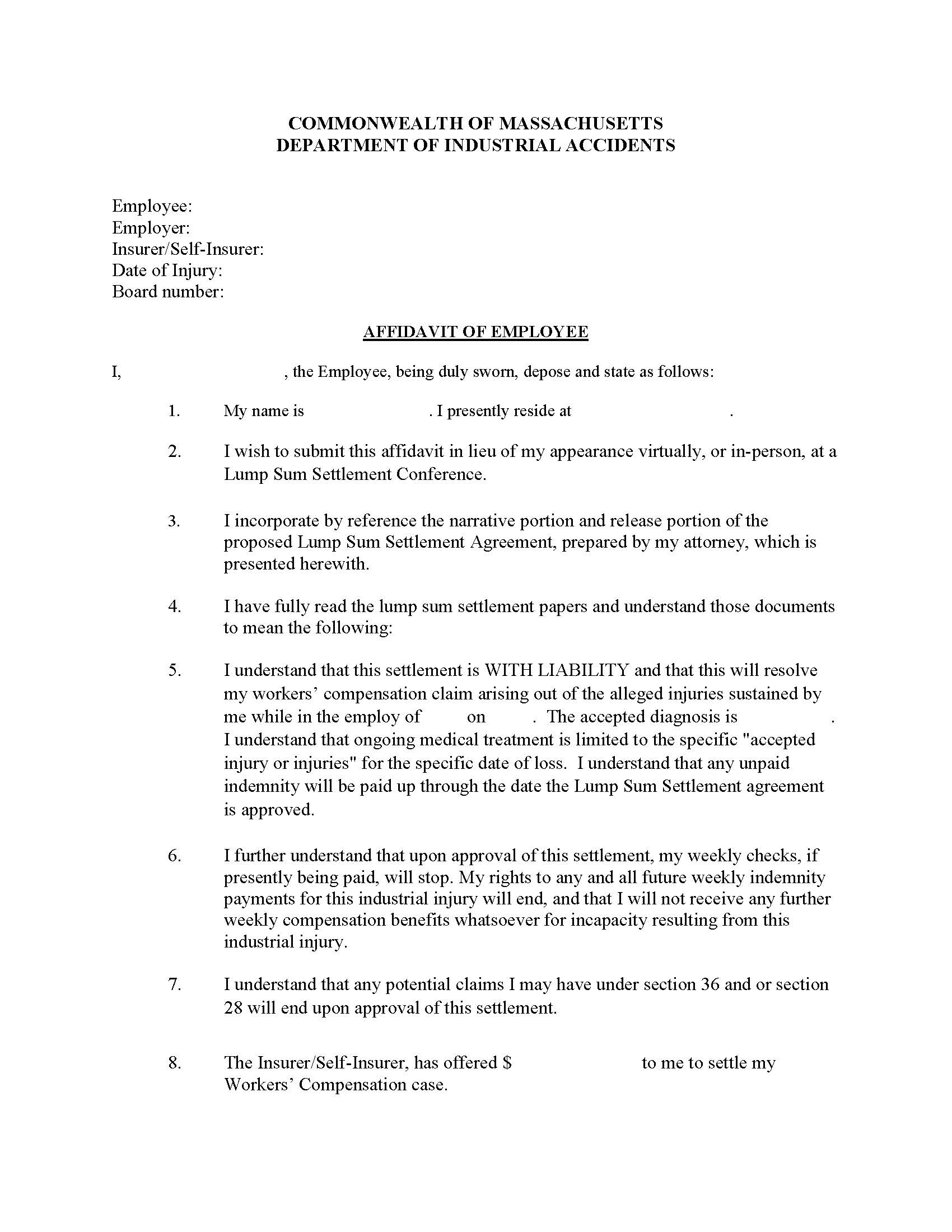
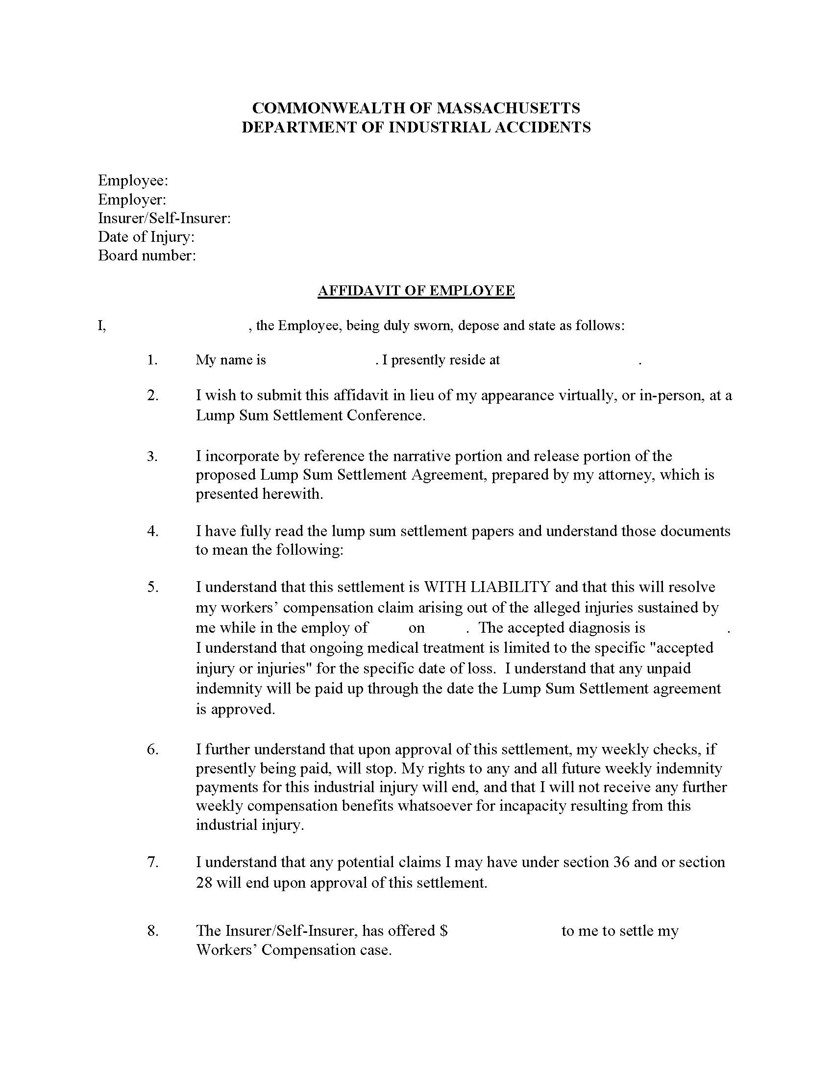
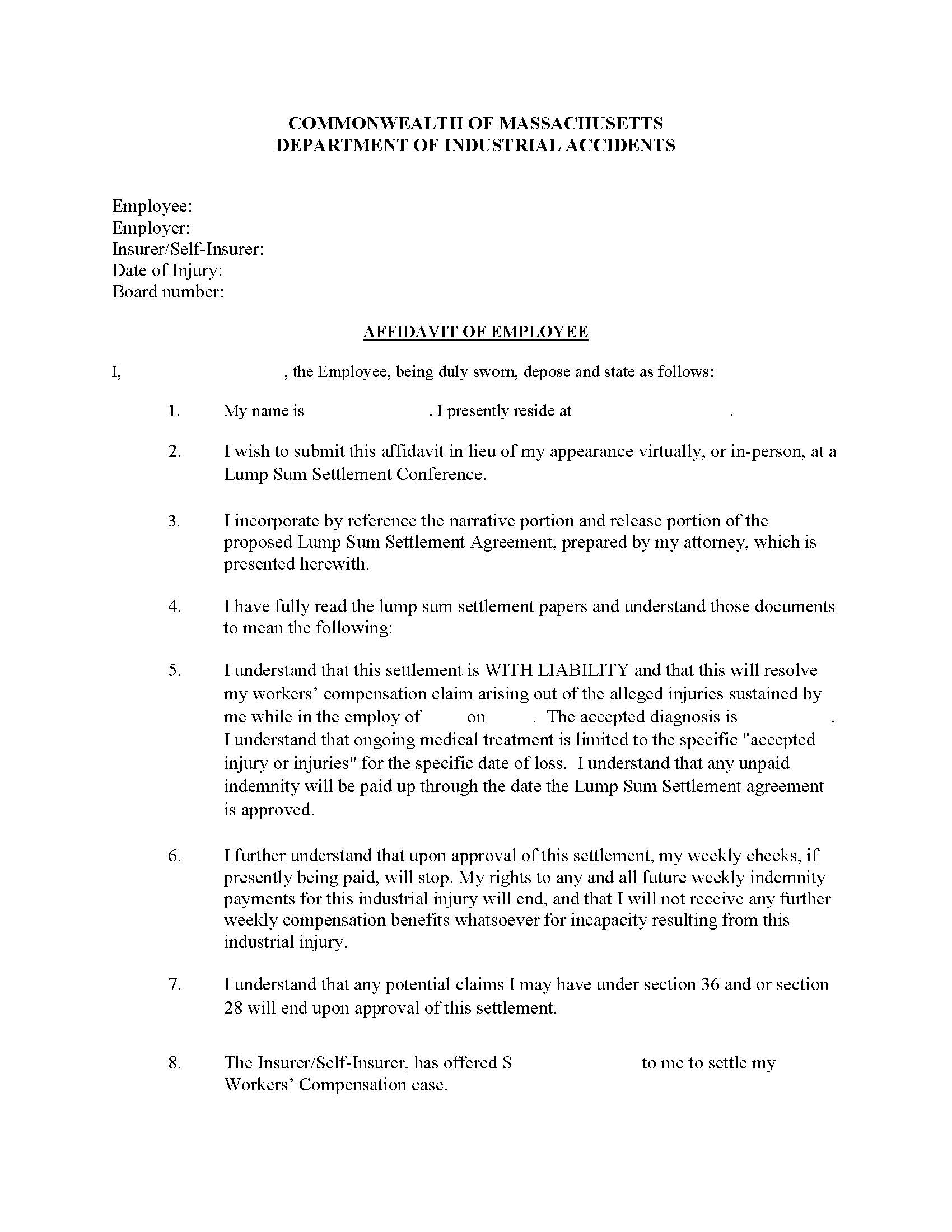
AFFIDAVIT OF EMPLOYEE. This form is used in workers' compensation cases in Massachusetts. It allows the employee to submit their statement regarding a lump sum settlement in lieu of appearing at a conference. The employee confirms their understanding of the settlement terms, accepts the offered settlement, and requests approval from the Administrative Judge. The document is notarized to verify the employee's identity and voluntary signature. www.FormsWorkflow.com
Related forms
-
Affidavit In Support Of Employees Request For Speedy Conference Because Of Hardship
Massachusetts/Workers Comp/ -
Affidavit In Support Of Request For Waiver In Filing Fee Under s11C
Massachusetts/Workers Comp/ -
Affidavit Of Indigence And Request For Waiver Of Section 11A(2) Fees
Massachusetts/Workers Comp/ -
Agreement To Extend 180 Day Payment Without Prejudice Period
Massachusetts/Workers Comp/ -
Appeal Of Conference Proceeding
Massachusetts/Workers Comp/ -
Employees Earning Report
Massachusetts/Workers Comp/ -
Health Care Provider Complaint Form
Massachusetts/Workers Comp/ -
Notification Of Arbitration Award
Massachusetts/Workers Comp/ -
Notification Of Withdrawal Of Claim Or Complaint
Massachusetts/Workers Comp/ -
Request For Speedy Conference Because Of Hardship
Massachusetts/Workers Comp/ -
Utilization Review Agent Complaint Form
Massachusetts/Workers Comp/ -
Agreement For Redeeming Liability By Lump Sum - For Injuries Before 11-1-86
Massachusetts/Workers Comp/ -
Agreement That No Impartial Physician Report Is Required
Massachusetts/Workers Comp/ -
Appeal To Reviewing Board
Massachusetts/Workers Comp/ -
Complaint Of Improper Claims Handling Against Insurer
Massachusetts/Workers Comp/ -
Employee Biographical Data
Massachusetts/Workers Comp/ -
Individual Written Rehabilitation Program
Massachusetts/Workers Comp/ -
Last Best Offer At Conference
Massachusetts/Workers Comp/ -
OEVR Referral (For All Parties For Mandatory Meetings)
Massachusetts/Workers Comp/ -
Request For Section 46a Conference With Lump Sum Under Section 48
Massachusetts/Workers Comp/ -
Workers Compensation Insurance Affidavit - Building Plumbing Electrical Contractors
Massachusetts/Workers Comp/ -
Workers Compensation Insurance Affidavit - General Businesses
Massachusetts/Workers Comp/ -
Consent Of Employer To Lump Sum Settlement
Massachusetts/Workers Comp/ -
Average Weekly Wage Computation Schedule
Massachusetts/Workers Comp/ -
Motion For Expedited Conference
Massachusetts/Workers Comp/ -
Notice To Employees (Of Workers Compensation Coverage)
Massachusetts/Workers Comp/ -
Statement Of Eligibility To Serve On Roster Of Impartial Physicians
Massachusetts/Workers Comp/ -
Utilization Review Application (To Become An Approved Agent And Affidavit Of Compliance)
Massachusetts/Workers Comp/ -
Conference Memorandum Cover Sheet
Massachusetts/Workers Comp/ -
Certified Vendor Quarterly Report For OEVR
Massachusetts/Workers Comp/ -
Section 19 Agreement
Massachusetts/Workers Comp/ -
Verification Of Massachusetts Workers Compensation Coverage For Out-Of-State Employers
Massachusetts/Workers Comp/ -
Affidavit (General Business)
Massachusetts/Workers Comp/ -
Application For Employment Agency License Or Placement Agency Registration
Massachusetts/Workers Comp/ -
Form 117 Lump Sum Settlement Agreement For Injuries On or After 11-1-1986
Massachusetts/Workers Comp/ -
Employees Claim For Post-Lump Sum Medical Mediation
Massachusetts/Workers Comp/ -
Agreement To Pay Compensation
Massachusetts/6 Workers Comp/ -
Affidavit (Builders-Contractors-Electricians-Plumbers)
Massachusetts/Workers Comp/ -
DIA File Request (Request To Keeper Of Records For File Information)
Massachusetts/Workers Comp/ -
Affidavit Of Exemption For Certain Corporate Officers Or Directors
Massachusetts/Workers Comp/ -
Exemption Certificate Form M-4
Massachusetts/6 Workers Comp/ -
New Hire Reporting
Massachusetts/6 Workers Comp/ -
Form 19A Section 19A Medical Mediation Agreement
Massachusetts/Workers Comp/ -
Amendment-Suspension-Closure Of Vocational Rehabilitation Plan
Massachusetts/Workers Comp/ -
Joint-Pre-Hearing-Memorandum
Massachusetts/Workers Comp/ -
Insurer Request Certification
Massachusetts/Workers Comp/ -
MGL Sec. 65B Appeal Of Cancellation Or Termination Of Policy
Massachusetts/Workers Comp/ -
Workers Compensation COLA Data Form
Massachusetts/Workers Comp/ -
Addendum To Lump Sum Settlement Agreement
Massachusetts/Workers Comp/ -
Employees Hearing Memorandum
Massachusetts/Workers Comp/ -
Uniform Lump Sum Settlement Employee Affidavit
Massachusetts/6 Workers Comp/ -
Insurers Hearing Memorandum
Massachusetts/Workers Comp/ -
Lien Disclosure Form
Massachusetts/Workers Comp/ -
Request For Section 37 Or 37A Proceeding
Massachusetts/Workers Comp/ -
Agreement Under Section 37 Or 37A
Massachusetts/Workers Comp/ -
Affidavit Of Employee In Application For Trust Fund Benefits
Massachusetts/Workers Comp/ -
Insurance Inquiry Form
Massachusetts/Workers Comp/
Form Preview
Sorry, we couldn't download the pdf file.
Our Products
Contact Us
Success: Your message was sent.
Thank you!




