Last updated: 2/13/2024
Application For Unclaimed Funds {1340}
Start Your Free Trial $ 19.99What you get:
- Instant access to fillable Microsoft Word or PDF forms.
- Minimize the risk of using outdated forms and eliminate rejected fillings.
- Largest forms database in the USA with more than 80,000 federal, state and agency forms.
- Download, edit, auto-fill multiple forms at once in MS Word using our Forms Workflow Ribbon
- Trusted by 1,000s of Attorneys and Legal Professionals
Description
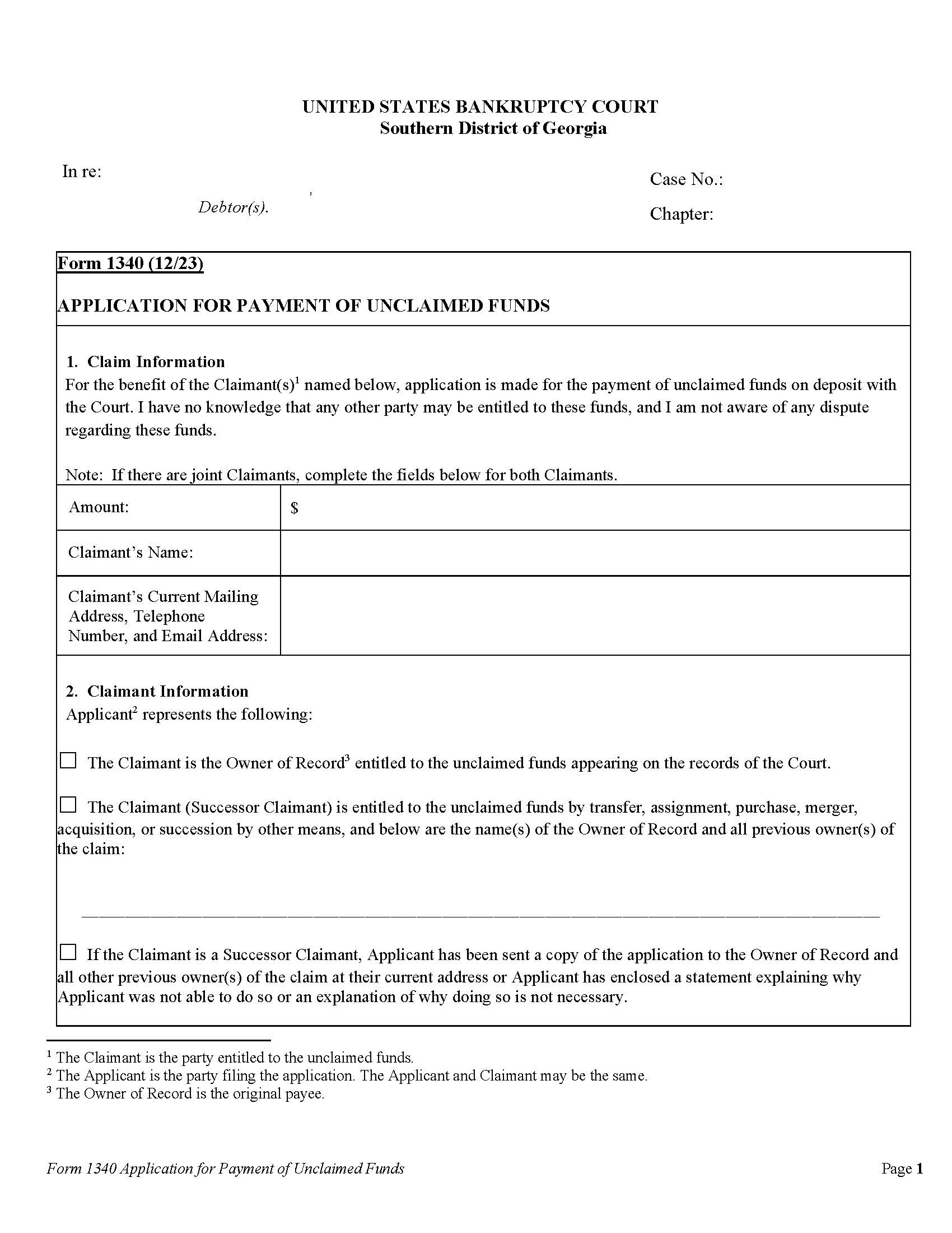
Form 1340 - APPLICATION FOR PAYMENT OF UNCLAIMED FUNDS. This form is used in the United States Bankruptcy Court, Southern District of Georgia to request the disbursement of unclaimed funds. Unclaimed funds are held by the Court for an individual or entity who is entitled to the money, but who has failed to claim ownership of it. The United States Courts, as custodians of such funds, have established policies and procedures for holding, safeguarding and accounting for the funds. The form requires details about the claimant, including whether they are the owner of record or a successor claimant, and supporting documentation must be provided. The applicant must also confirm that a copy of the application has been sent to the United States Attorney. The application must be notarized, and a certificate of service must be included to confirm the service of the application to relevant parties. Additionally, there are attached instructions for the disbursement process, including searching for unclaimed funds, filing requirements, supporting documentation, and filing procedures. www.FormsWorkflow.com
Related forms
-
Certification Of Creditor Mailing Matrix
Georgia/Federal/Bankruptcy Court/Southern District/ -
Chapter 13 Plan And Motion
Georgia/Federal/Bankruptcy Court/Southern District/ -
Debtor(s) Declaration Regarding Electronic Filing (Form A)
Georgia/Federal/Bankruptcy Court/Southern District/ -
Debtor(s) Declaration Regarding Electronic Filing (Form B)
Georgia/Federal/Bankruptcy Court/Southern District/ -
Certificate Of Interested Parties
Georgia/Federal/Bankruptcy Court/Southern District/ -
Certification Regarding Domestic Support Obligation
Georgia/Federal/Bankruptcy Court/Southern District/ -
Modification To Chapter 13 Plan After Confirmation
Georgia/Federal/Bankruptcy Court/Southern District/ -
Notice Of Intent To Redact Transcript
Georgia/Federal/Bankruptcy Court/Southern District/ -
Transmittal Of Pay Advices
Georgia/Federal/Bankruptcy Court/Southern District/ -
Debtors Certification of Eligibility for Discharge (Ch 11)
Georgia/Federal/Bankruptcy Court/Southern District/ -
Debtors Certification Of Eligibility For Discharge (Ch 12)
Georgia/Federal/Bankruptcy Court/Southern District/ -
Disclosure Statement
Georgia/Federal/Bankruptcy Court/Southern District/ -
Motion For Hardship Discharge (Ch. 13)
Georgia/Federal/Bankruptcy Court/Southern District/ -
Trustees Motion To Confirm Plan As Amended
Georgia/Federal/Bankruptcy Court/Southern District/ -
Exhibit A - To Disclosure Statement
Georgia/Federal/Bankruptcy Court/Southern District/ -
Motion For Hardship Discharge (Ch. 12)
Georgia/Federal/Bankruptcy Court/Southern District/ -
Order On Motion For Relief From Stay -- Pro se (Local)
Georgia/Federal/Bankruptcy Court/Southern District/ -
Debtors Certification Of Plan Completion And Request For Discharge Ch 13
Georgia/Federal/Bankruptcy Court/Southern District/ -
Rule 26(f) Report
Georgia/4 Federal/Bankruptcy Court/Southern District/ -
Withdrawal
Georgia/4 Federal/Bankruptcy Court/Southern District/ -
Notice Of Change Of Address
Georgia/Federal/Bankruptcy Court/Southern District/ -
Notice Of Modification Of Chapter 13 Plan After Confirmation
Georgia/Federal/Bankruptcy Court/Southern District/ -
Notice Of Motion For Relief From Codebtor Stay
Georgia/Federal/Bankruptcy Court/Southern District/ -
Notice Of Motion To Avoid Lien
Georgia/Federal/Bankruptcy Court/Southern District/ -
Notice Of Objection To Claim
Georgia/Federal/Bankruptcy Court/Southern District/ -
Request For Stop Garnishment
Georgia/Federal/Bankruptcy Court/Southern District/ -
Notice Of Motion To Redeem Personal Property Under Section 722
Georgia/Federal/Bankruptcy Court/Southern District/ -
Notice Of Motion To Approve Compromise Or Settlement
Georgia/Federal/Bankruptcy Court/Southern District/ -
Order On Motion For Relief From Stay Affidavit Of Default
Georgia/Federal/Bankruptcy Court/Southern District/ -
Order On Motion Or Amended Motion For Relief From Stay
Georgia/Federal/Bankruptcy Court/Southern District/ -
Order On Motion Or Amended Motion For Relief From Co Debtor Stay
Georgia/Federal/Bankruptcy Court/Southern District/ -
Application For Unclaimed Funds
Georgia/Federal/Bankruptcy Court/Southern District/
Form Preview
Contact Us
Success: Your message was sent.
Thank you!




