Last updated: 1/25/2024
Affirmation Of Facts By Original Creditor {UCS-CCR3}
Start Your Free Trial $ 6.00What you get:
- Instant access to fillable Microsoft Word or PDF forms.
- Minimize the risk of using outdated forms and eliminate rejected fillings.
- Largest forms database in the USA with more than 80,000 federal, state and agency forms.
- Download, edit, auto-fill multiple forms at once in MS Word using our Forms Workflow Ribbon
- Trusted by 1,000s of Attorneys and Legal Professionals
Description
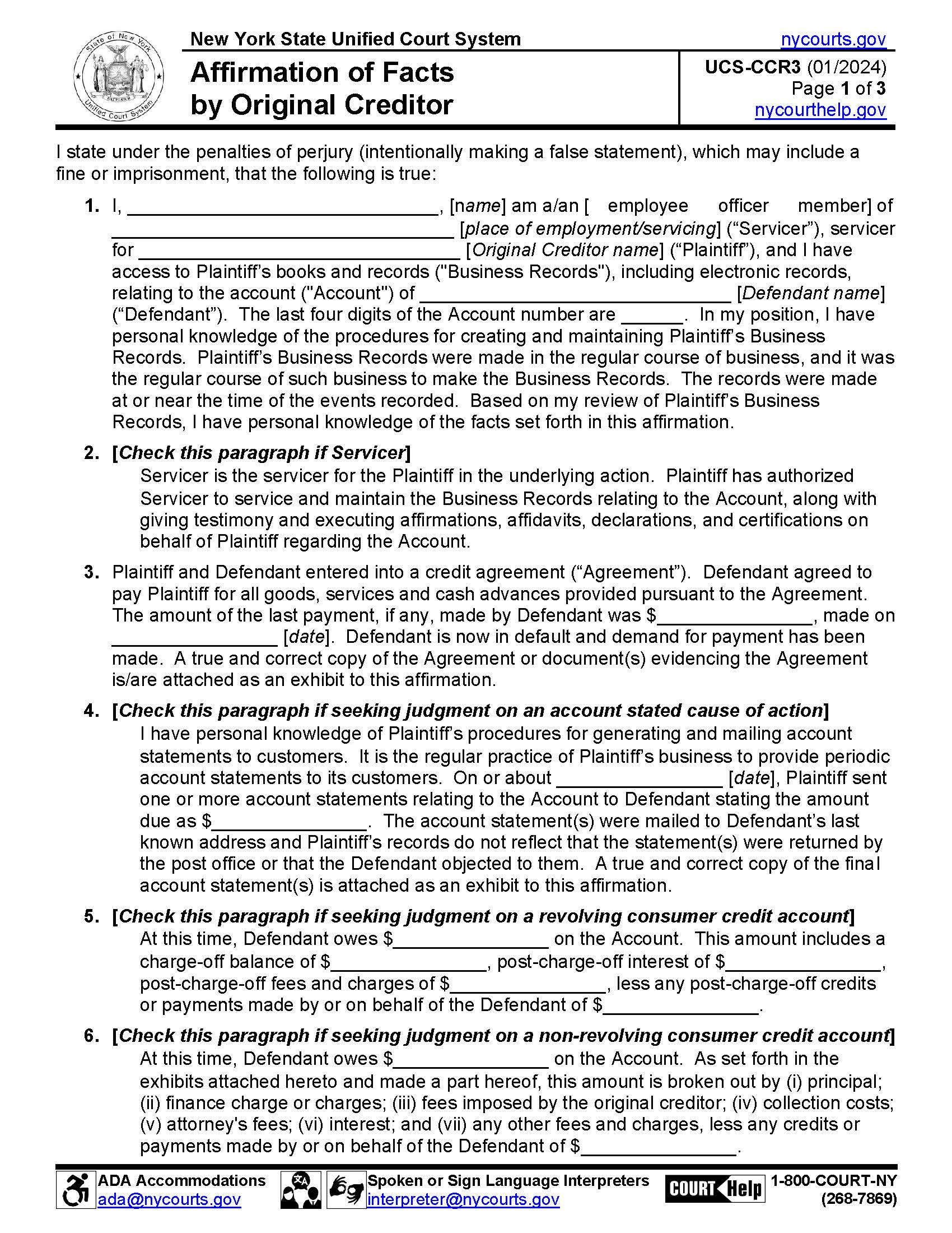
UCS-CCR3 - AFFIRMATION OF FACTS BY ORIGINAL CREDITOR. This form is used in the New York State Unified Court System in cases where an original creditor is seeking judgment against a debtor for an outstanding consumer credit account. The affiant, who is an employee, officer, or member of the servicer for the original creditor, attests to the facts related to the account, the credit agreement, and the default by the debtor. The affiant also provides details about the debt, including the amount owed and any relevant fees, interest, or charges. The affirmation is made under the penalties of perjury, and the affiant requests judgment against the debtor along with the costs and disbursements of the legal action. Exhibits, such as the original credit agreement, the most recent statement, and additional records, are attached to support the affirmation. www.FormsWorkflow.com
Related forms
-
Authorization For Release Of Health Information Pursuant To HIPAA
New York/Statewide/General/ -
Authorization To Release Treatment Records
New York/Statewide/General/ -
Supporting Affidavit
New York/Statewide/General/ -
Verification Of Licensure In Another Jurisdiction
New York/Statewide/General/ -
Notice Of Motion To Take Deposition In Another Jurisdiction
New York/Statewide/General/ -
Request For Judicial Intervention Addendum
New York/Statewide/General/ -
Request For Judicial Intervention Addendum - Foreclosure
New York/Statewide/General/ -
Request For Judicial Intervention Addendum - Matrimonial
New York/Statewide/General/ -
Authorization To Permit Interview Of Treating Physician By Defense Counsel (HIPAA)
New York/Statewide/General/ -
Redaction Cover Page
New York/Statewide/General/ -
Judicial Subpoena Duces Tecum (Records Only)
New York/Statewide/General/ -
Judicial Subpoena Duces Tecum
New York/Statewide/General/ -
Judicial Subpoena
New York/Statewide/General/ -
Trial Subpoena Duces Tecum
New York/Statewide/General/ -
Additional Notice Of Consumer Credit Action
New York/Statewide/General/ -
Notice Of Appearance And Demand
New York/Statewide/General/ -
Written Answer Consumer Credit Transaction
New York/Statewide/General/ -
Partition Request For Judicial Intervention Addendum
New York/1 Statewide/General/ -
Additional Notice Of Lawsuit
New York/Statewide/General/ -
Important Notice - Motion For Summary Judgment
New York/Statewide/General/ -
Order Granting Name And-Or Sex Designation Change Individual Minor
New York/1 Statewide/General/ -
Order Granting Name And-Or Sex Designation Change Legally Incapacitated Person
New York/1 Statewide/General/ -
Affirmation Of Non-Expiration Of Statute Of Limitations
New York/Statewide/General/ -
Family Name Change Petition - Supplemental Form
New York/Statewide/General/ -
Order Granting A Family Name Change
New York/Statewide/General/ -
Order Granting Name And-Or Sex Designation Change Individual Adult
New York/1 Statewide/General/ -
Affirmation Of Facts And Sale Of Account By Original Creditor
New York/Statewide/General/ -
Affirmation Of Facts By Original Creditor
New York/Statewide/General/ -
Affirmation Of Facts And Purchase Of Account By Debt Buyer Plaintiff
New York/Statewide/General/ -
Affirmation Of Purchase And Sale Of Account By Debt Seller
New York/Statewide/General/ -
Voucher For Assigned Counsel (Reimbursement)
New York/Statewide/General/ -
Affirmation Of Truth Of Statement
New York/Statewide/General/ -
Request For Judicial Intervention
New York/Statewide/General/ -
Eviction Petition Nonpayment Recover Prossession Of Real Property
New York/Statewide/General/ -
Request For Judicial Intervention - Commercial Division Addendum
New York/Statewide/General/ -
Name And-Or Sex Designation Change Petition For Individual Minor
New York/1 Statewide/General/ -
Family Name Change Petition
New York/Statewide/General/ -
Name And-Or Sex Designation Change Petition For Individual Adult
New York/1 Statewide/General/ -
Name And-Or Sex Designation Change Petition For Legally Incapacitated Person (LIP)
New York/1 Statewide/General/
Form Preview
Contact Us
Success: Your message was sent.
Thank you!




