California Jury Instructions
47 Consumers Legal Remedies Act
Last updated: 12/14/2023
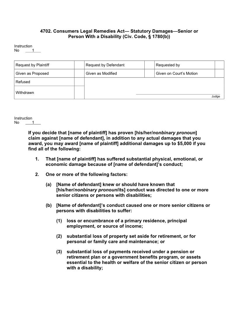
4702. Consumers Legal Remedies Act Statutory Damages Senior Or Person With A Disability
Start Your Free Trial $ 14.00What you get:
- Instant access to fillable Microsoft Word or PDF forms.
- Minimize the risk of using outdated forms and eliminate rejected fillings.
- Largest forms database in the USA with more than 80,000 federal, state and agency forms.
- Download, edit, auto-fill multiple forms at once in MS Word using our Forms Workflow Ribbon
- Trusted by 1,000s of Attorneys and Legal Professionals
Description
null
Related forms
Our Products





