Last updated: 10/23/2023
Fence And Boundary Affidavit
Start Your Free Trial $ 5.99What you get:
- Instant access to fillable Microsoft Word or PDF forms.
- Minimize the risk of using outdated forms and eliminate rejected fillings.
- Largest forms database in the USA with more than 80,000 federal, state and agency forms.
- Download, edit, auto-fill multiple forms at once in MS Word using our Forms Workflow Ribbon
- Trusted by 1,000s of Attorneys and Legal Professionals
Description
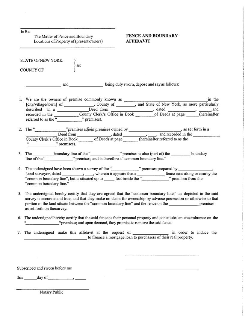
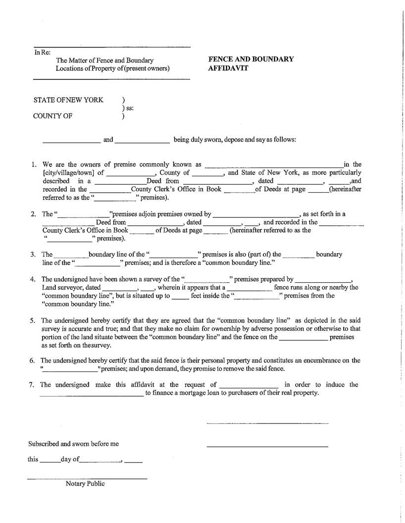
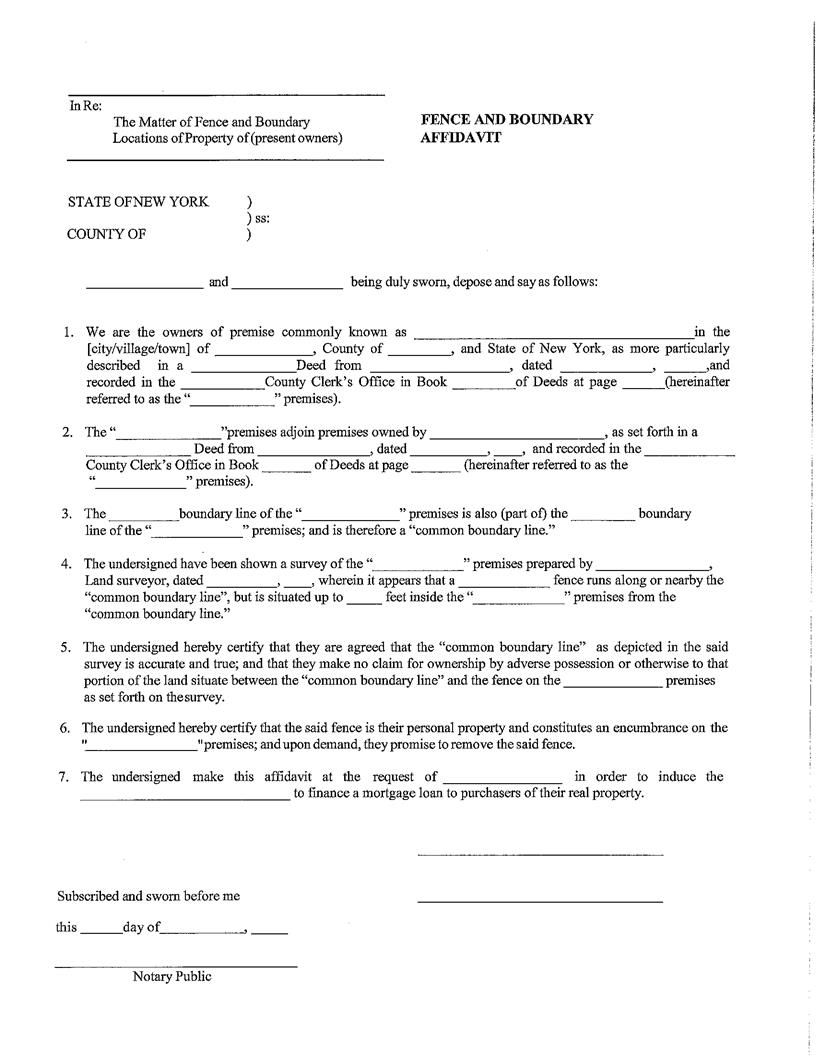
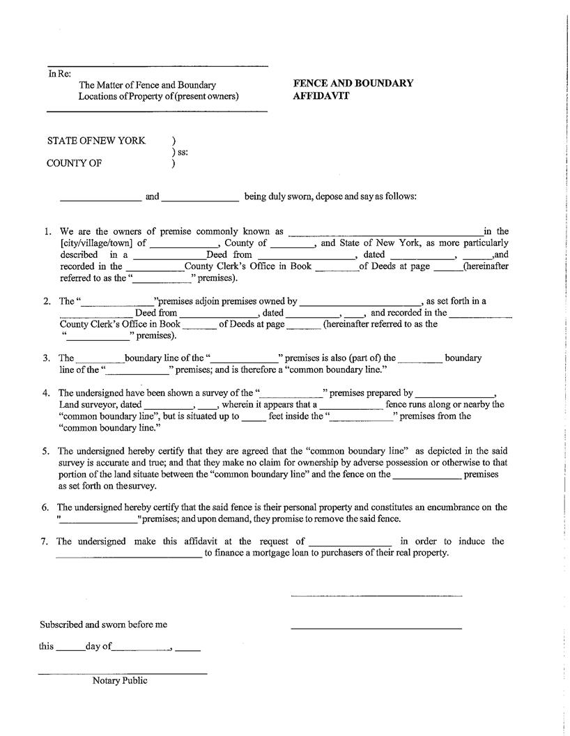
FENCE AND BOUNDARY AFFIDAVIT. This document is used in New York and is sworn by property owners and confirms the existence of a common boundary line between their property and an adjoining one. The affidavit acknowledges the location of a fence based on a survey, certifying its accuracy. The owners state they have no claim to the land between the boundary line and the fence. They confirm the fence as their property and agree to remove it upon request. The affidavit is made to facilitate a mortgage loan for the sale of their property and is signed before a Notary Public. www.FormsWorkflow.com
Related forms
-
Affidavit Of Title
New York/Statewide/Real Estate/Title/Affidavits/ -
Judgment Affidavit
New York/Statewide/Real Estate/Title/Affidavits/ -
Survey Affidavit
New York/Statewide/Real Estate/Title/Affidavits/ -
275 Affidavit Statement To Be Attached To Assignment Of Mortgage
New York/Statewide/Real Estate/Title/Affidavits/ -
Affidavit In Connection With A No Consideration Transfer
New York/Statewide/Real Estate/Title/Affidavits/ -
Section 255 Affidavit - Assignment Of Leases And Rents
New York/Statewide/Real Estate/Title/Affidavits/ -
General Affidavit
New York/Statewide/Real Estate/Title/Affidavits/ -
Residential One Family Condo Unit Affidavit
New York/Statewide/Real Estate/Title/Affidavits/ -
Certificate Of Non Foreign Status (FIRPTA)
New York/Statewide/Real Estate/Title/Affidavits/ -
Affidavit Grantee-Grantor No Judgments
New York/Statewide/Real Estate/Title/Affidavits/ -
Estate Tax Affidavit (Federal And Or New York)
New York/Statewide/Real Estate/Title/Affidavits/ -
Multiple Exceptions Affidavit
New York/Statewide/Real Estate/Title/Affidavits/ -
Affidavit Under Section 256 Of The Tax Law (Indefinite Mortgage)
New York/Statewide/Real Estate/Title/Affidavits/ -
Affidavit Of Understanding Indemnity Hold Harmless Due To COVID - Sale
New York/1 Statewide/Real Estate/Title/Affidavits/ -
Title Affidavit
New York/1 Statewide/Real Estate/Title/Affidavits/ -
Affidavit For Special Survey Endorsement (1-4 Family Residential Dwellings)
New York/1 Statewide/Real Estate/Title/Affidavits/ -
Affidavit Under Section 255 Tax Law
New York/1 Statewide/Real Estate/Title/Affidavits/ -
Affidavit Under Section 255 Tax Law (With Mortgage Assignment)
New York/1 Statewide/Real Estate/Title/Affidavits/ -
Affidavit For An Assigned Contract (Single Transfer Tax Payments Only)
New York/1 Statewide/Real Estate/Title/Affidavits/ -
256 Affidavit For Indefinite Mortgage
New York/1 Statewide/Real Estate/Title/Affidavits/ -
Closing Affidavit
New York/1 Statewide/Real Estate/Title/Affidavits/ -
Affidavit Of Exemption Under Section 253(1-a) (Natural Person)
New York/1 Statewide/Real Estate/Title/Affidavits/ -
Affidavit Of No Demand (Mortgage)
New York/1 Statewide/Real Estate/Title/Affidavits/ -
Affidavit In Connection With RPAPL §1302-a
New York/1 Statewide/Real Estate/Title/Affidavits/ -
LLC Affidavit Of Title
New York/1 Statewide/Real Estate/Title/Affidavits/ -
Affidavit To Cancel Notice Of Pendency Pursuant to CPLR_6514(e)
New York/1 Statewide/Real Estate/Title/Affidavits/ -
Section 22 Affidavit (Pursuant To NYS Lien Law)
New York/1 Statewide/Real Estate/Title/Affidavits/ -
Affidavit Of Title Deed In Lieu Of Foreclosure
New York/Statewide/Real Estate/Title/Affidavits/ -
Affidavit Under Section 255 Tax Law Reverse Mortgage
New York/Statewide/Real Estate/Title/Affidavits/ -
Affidavit To Establish Surviving Tenant By The Entirety
New York/1 Statewide/Real Estate/Title/Affidavits/ -
Trust Affidavit
New York/1 Statewide/Real Estate/Title/Affidavits/ -
Corporate Affidavit
New York/1 Statewide/Real Estate/Title/Affidavits/ -
Adverse Possession Affidavit
New York/Statewide/Real Estate/Title/Affidavits/ -
Delivery Affidavit
New York/Statewide/Real Estate/Title/Affidavits/ -
Mail Closing Affidavit
New York/Statewide/Real Estate/Title/Affidavits/ -
Fence And Boundary Affidavit
New York/Statewide/Real Estate/Title/Affidavits/ -
Ancient Mortgage Affidavit
New York/1 Statewide/Real Estate/Title/Affidavits/ -
Cooperative Affidavit
New York/Statewide/Real Estate/Title/Affidavits/ -
Corporate Affidavit (NYC)
New York/1 Statewide/Real Estate/Title/Affidavits/ -
Affidavit Under Section 255 Tax Law (Wraparound Mortgage)
New York/1 Statewide/Real Estate/Title/Affidavits/ -
Affidavit Of Lost Note (Individual)
New York/1 Statewide/Real Estate/Title/Affidavits/ -
Trust Affidavit (Settlors Death)
New York/1 Statewide/Real Estate/Title/Affidavits/ -
Affidavit Of Lost Note (Corporation)
New York/1 Statewide/Real Estate/Title/Affidavits/ -
Affidavit Of Compliance Carbon Monoxide Detector Smoke Alarm (1-2 Family Dwelling)
New York/1 Statewide/Real Estate/Title/Affidavits/ -
Affidavit Of Exemption Under Section 253(1-a)(b) (Credit Union)
New York/1 Statewide/Real Estate/Title/Affidavits/ -
Affidavit Of Heirship
New York/Statewide/Real Estate/Title/Affidavits/
Form Preview
Contact Us
Success: Your message was sent.
Thank you!




