West Virginia
Secretary Of State
Business Organizations
Corporation
Domestic
Last updated: 1/25/2024
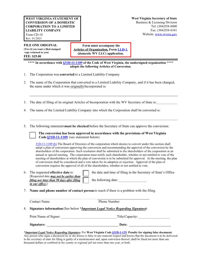
Statement Of Conversion Of A Domestic Corporation To A Domestic LLC (Domestic Corporation) {CD-10}
Start Your Free Trial $ 19.99What you get:
- Instant access to fillable Microsoft Word or PDF forms.
- Minimize the risk of using outdated forms and eliminate rejected fillings.
- Largest forms database in the USA with more than 80,000 federal, state and agency forms.
- Download, edit, auto-fill multiple forms at once in MS Word using our Forms Workflow Ribbon
- Trusted by 1,000s of Attorneys and Legal Professionals
Description
CD-10, STATEMENT OF CONVERSION OF A DOMESTIC LLC (DOMESTIC CORPORATION) www.FormsWorkflow.com
Related forms
Our Products





