Last updated: 8/23/2023
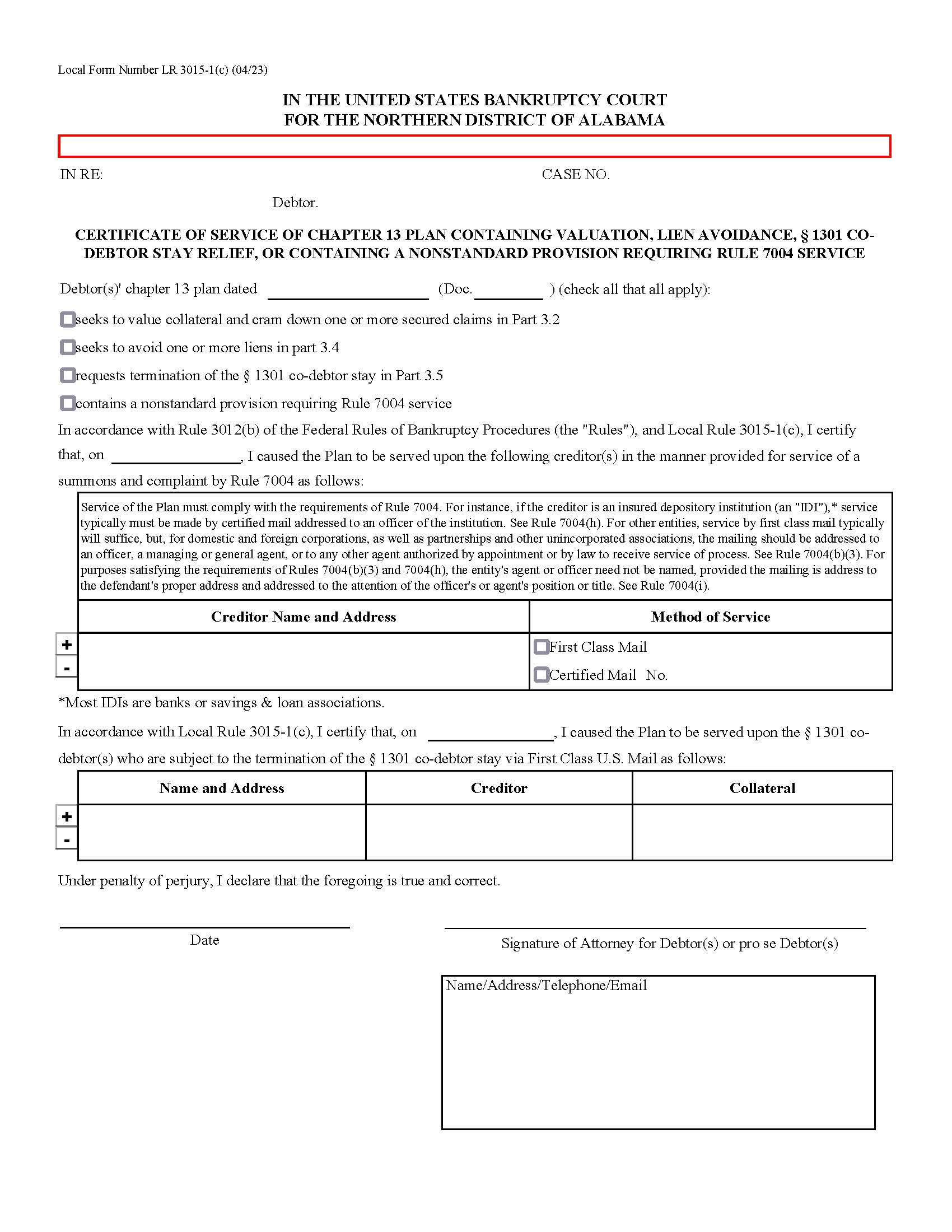
Certificate Of Service Of Chapter 13 Plan Containing Valuation Lien Avoidance {LR 3015-1(c)}
Start Your Free Trial $ 14.00What you get:
- Instant access to fillable Microsoft Word or PDF forms.
- Minimize the risk of using outdated forms and eliminate rejected fillings.
- Largest forms database in the USA with more than 80,000 federal, state and agency forms.
- Download, edit, auto-fill multiple forms at once in MS Word using our Forms Workflow Ribbon
- Trusted by 1,000s of Attorneys and Legal Professionals
Description
Local Form Number LR 3015-1(c) - CERTIFICATE OF SERVICE OF CHAPTER 13 PLAN CONTAINING VALUATION, LIEN AVOIDANCE, § 1301 CO-DEBTOR STAY RELIEF, OR CONTAINING A NONSTANDARD PROVISION REQUIRING RULE 7004 SERVICE. This form is used in the United States Bankruptcy Court for the Northern District of Alabama in the context of a Chapter 13 bankruptcy case. It's used to certify the service of a Chapter 13 bankruptcy plan containing specific provisions such as valuation of collateral, lien avoidance, requesting termination of the § 1301 co-debtor stay, or containing a nonstandard provision requiring Rule 7004 service. The form requires the debtor's attorney or the debtor themselves to certify that they have served the Chapter 13 plan to specific creditors and co-debtors in accordance with the rules outlined in the form. It includes spaces to list the names and addresses of the creditors or co-debtors served, along with the method of service (such as First Class Mail or Certified Mail). www.FormsWorkflow.com





