West Virginia
Secretary Of State
Business Organizations
Business Trust
Last updated: 9/20/2023
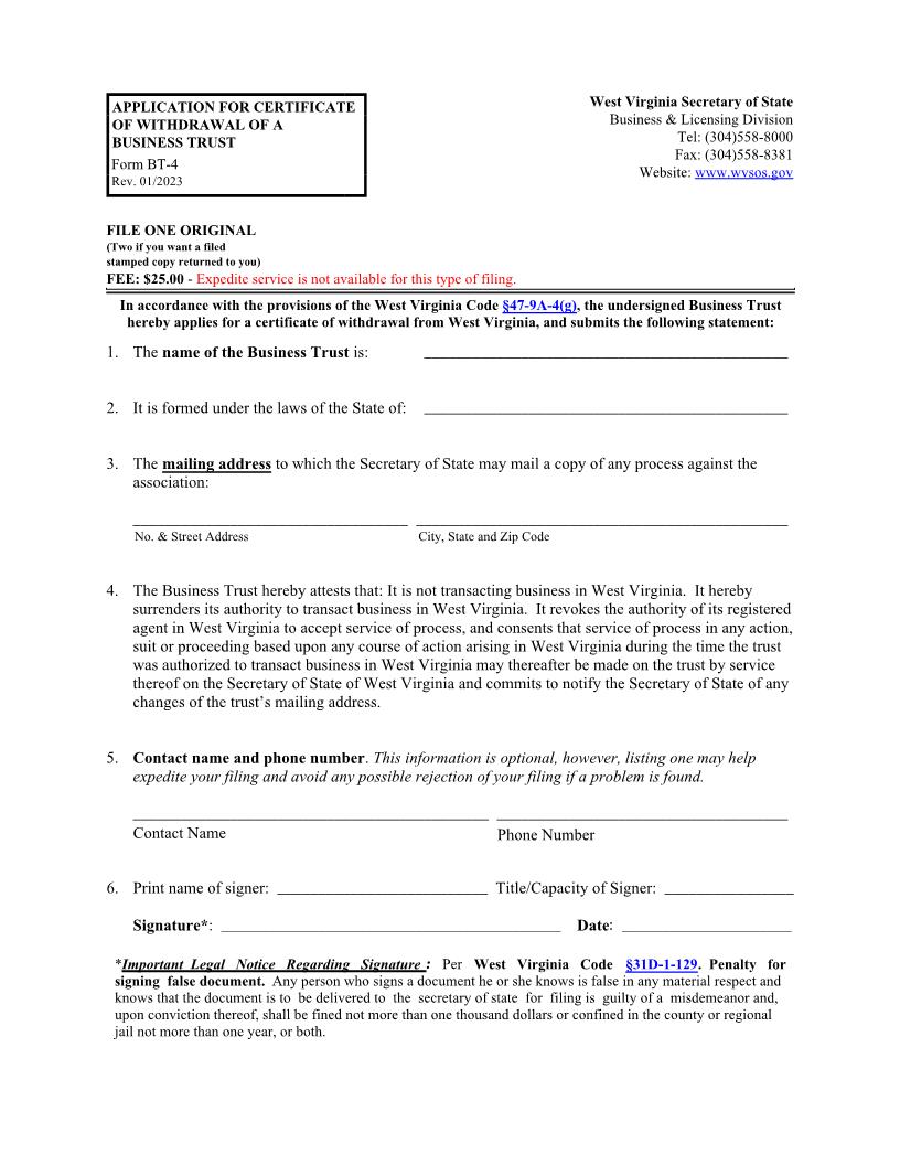
Application For Certificate Of A Business Trust (Foreign) {BT-4}
Start Your Free Trial $ 19.99What you get:
- Instant access to fillable Microsoft Word or PDF forms.
- Minimize the risk of using outdated forms and eliminate rejected fillings.
- Largest forms database in the USA with more than 80,000 federal, state and agency forms.
- Download, edit, auto-fill multiple forms at once in MS Word using our Forms Workflow Ribbon
- Trusted by 1,000s of Attorneys and Legal Professionals
Description
BT-4, APPLICATION FOR CERTIFICATE OF A BUSINESS TRUST (FOREIGN) www.FormsWorkflow.com
Related forms
Our Products





