Last updated: 5/15/2023
Writ Of Possession-Real Property-Instructions to Sheriff {DEL-0026}
Start Your Free Trial $ 0.00What you get:
- Instant access to fillable Microsoft Word or PDF forms.
- Minimize the risk of using outdated forms and eliminate rejected fillings.
- Largest forms database in the USA with more than 80,000 federal, state and agency forms.
- Download, edit, auto-fill multiple forms at once in MS Word using our Forms Workflow Ribbon
- Trusted by 1,000s of Attorneys and Legal Professionals
Description
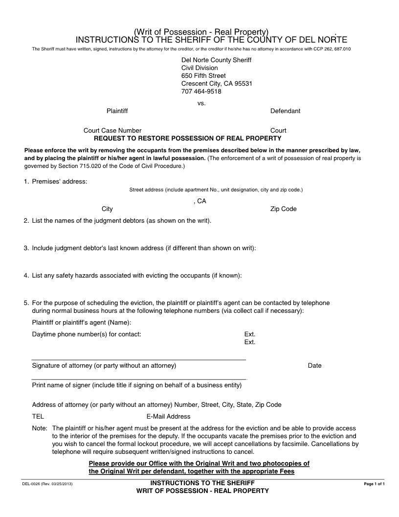
DEL-0026 - INSTRUCTIONS TO THE SHERIFF WRIT OF POSSESSION - REAL PROPERTY. This form is used to enforce a writ of possession and remove occupants from a specific premises. It requires the following information: the premises' address, names of the judgment debtors, last known address of the judgment debtor (if different), any safety hazards associated with the eviction, contact information of the plaintiff or plaintiff's agent, and the signature and contact details of the attorney or party submitting the form. It also states that the plaintiff or their agent must be present during the eviction and provide access to the premises. The form includes a note about cancellation procedures and the requirement to provide the original writ and copies, along with the necessary fees, to the Office. www.FormsWorkflow.com





