Last updated: 12/7/2023
Application For Attorney Fee
Start Your Free Trial $ 13.99What you get:
- Instant access to fillable Microsoft Word or PDF forms.
- Minimize the risk of using outdated forms and eliminate rejected fillings.
- Largest forms database in the USA with more than 80,000 federal, state and agency forms.
- Download, edit, auto-fill multiple forms at once in MS Word using our Forms Workflow Ribbon
- Trusted by 1,000s of Attorneys and Legal Professionals
Description
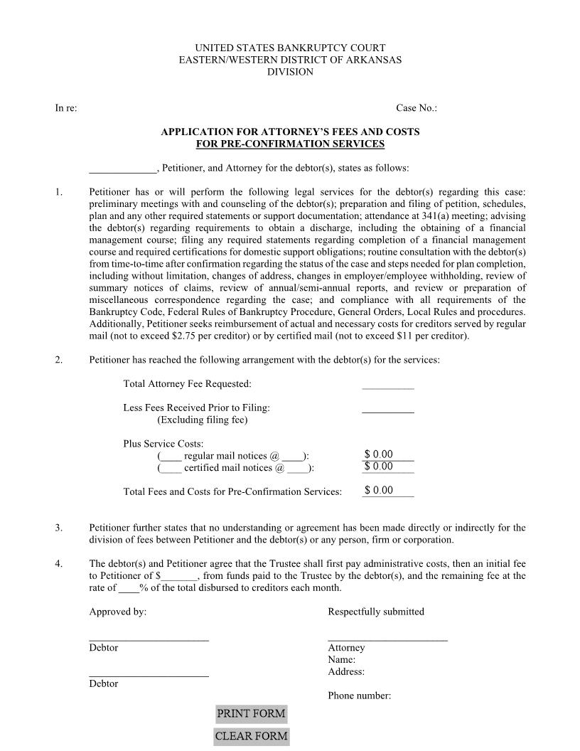
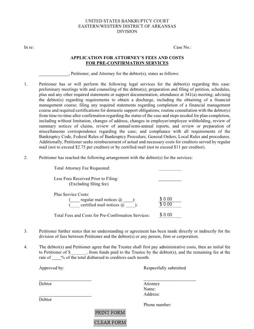
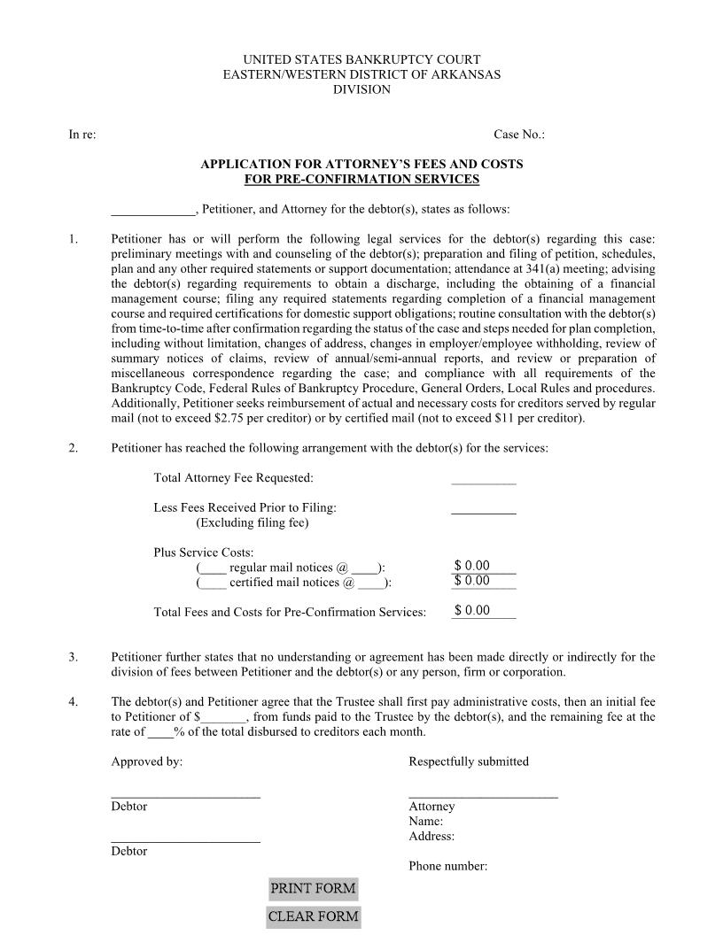
UNITED STATES BANKRUPTCY COURT EASTERN/WESTERN DISTRICT OF ARKANSASIn re: Case No.: APPLICATION FOR ATTORNEY222S FEES AND COSTS FOR PRE-CONFIRMATION SERVICES , Petitioner, and Attorney for the debtor(s), states as follows: 1.Petitioner has or will perform the following legal services for the debtor(s) regarding this case:preliminary meetings with and counseling of the debtor(s); preparation and filing of petition, schedules,plan and any other required statements or support documentation; attendance at 341(a) meeting; advisingthe debtor(s) regarding requirements to obtain a discharge, including the obtaining of a financialmanagement course; filing any required statements regarding completion of a financial managementcourse and required certifications for domestic support obligations; routine consultation with the debtor(s) from time-to-time after confirmation regarding the status of the case and steps needed for plan completion,including without limitation, changes of address, changes in employer/employee withholding, review ofsummary notices of claims, review of annual/semi-annual reports, and review or preparation ofmiscellaneous correspondence regarding the case; and compliance with all requirements of theBankruptcy Code, Federal Rules of Bankruptcy Procedure, General Orders, Local Rules and procedures.Additionally, Petitioner seeks reimbursement of actual and necessary costs for creditors served by regularmail (not to exceed $2.25 per creditor) or by certified mail (not to exceed $9 per creditor).2.Petitioner has reached the following arrangement with the debtor(s) for the services:Total Attorney Fee Requested: Less Fees Received Prior to Filing: (Excluding filing fee) Plus Service Costs: ( regular mail notices @ ): ( certified mail notices @): Total Fees and Costs for Pre-Confirmation Services: This fee arrangement is / is not a Life of Case fee. 3.Petitioner further states that no understanding or agreement has been made directly or indirectly for thedivision of fees between Petitioner and the debtor(s) or any person, firm or corporation.4.The debtor(s) and Petitioner agree that the Trustee shall first pay administrative costs, then an initial feeto Petitioner of $, from funds paid to the Trustee by the debtor(s), and the remaining fee at therate of % of the total disbursed to creditors each month.Approved by: Respectfully submitted Debtor Attorney Name: Address: Debtor Phone number: American LegalNet, Inc. www.FormsWorkFlow.com





