Last updated: 10/16/2023
Employers Instructions For Garnishment Type B {CC-3-8H}
Start Your Free Trial $ 17.99What you get:
- Instant access to fillable Microsoft Word or PDF forms.
- Minimize the risk of using outdated forms and eliminate rejected fillings.
- Largest forms database in the USA with more than 80,000 federal, state and agency forms.
- Download, edit, auto-fill multiple forms at once in MS Word using our Forms Workflow Ribbon
- Trusted by 1,000s of Attorneys and Legal Professionals
Description
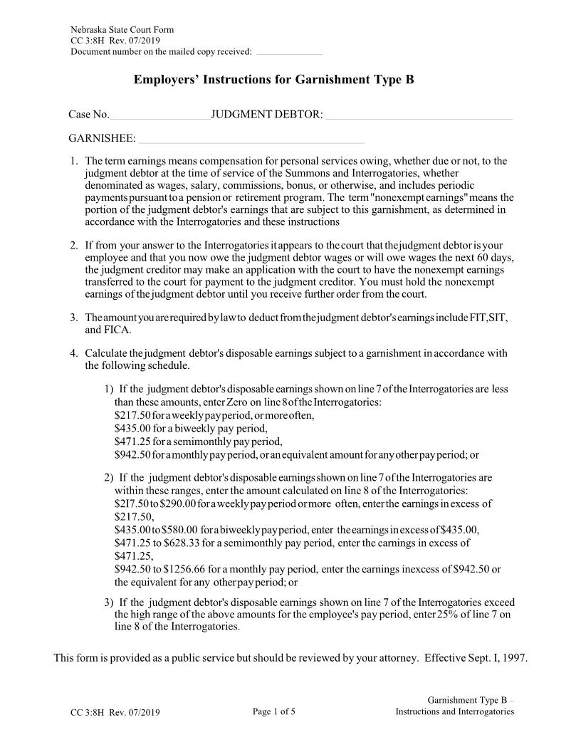
Employers222 Instructions for Garnishment Type B CC 3:8H New 01/16 Document number on the mailed copy received: Page 1 of 4 This form is provided as a public service but should be reviewed by your attorney. Effective Sept. I, 1997. JUDGMENT DEBTOR: Case GARNISHEE: The term earnings means compensation for personal services owing, whether due or not, to thejudgment debtor at the time of service of the Summons and Interrogatories, whether denominated aswages, salary, commissions, bonus, or otherwise, and includes periodic payments pursuant to apension or retirement program. The term "nonexempt earnings" means the portion of the judgmentdebtor's earnings that are subject to this garnishment, as determined in accordance with theInterrogatories and these instructions If from your answer to the Interrogatories it appears to the court that the judgment debtor is youremployee and that you now owe the judgment debtor wages or will owe wages the next 60 days, thejudgment creditor may make an application with the court to have the nonexempt earnings transferred tothe court for payment to the judgment creditor. You must hold the nonexempt earnings of the judgmentdebtor until you receive further order from the court. The amount you are required by law to deduct from the judgment debtor's earnings include FIT, SIT, andFICA. Calculate the judgment debtor's disposable earnings subject to a garnishment in accordance with thefollowing schedule. If the judgment debtor's disposable earnings shown on line 7 of the Interrogatories are less thanthese amounts, enter Zero on line 8 of the Interrogatories: $217.50 for a weekly pay period, or more often, $435.00 for a biweekly pay period, $471.25 for a semimonthly pay period, $942.50 for a monthly pay period, or an equivalent amount for any other pay period; or If the judgment debtor's disposable earnings shown on line 7 of the Interrogatories arewithin these ranges, enter the amount calculated on line 8 of the Interrogatories: $2I7.50 to $255.88 for a weekly pay period or more often, enter the earnings in excess of $217.50, $435.00 to $511.76 for a biweekly pay period, enter the earnings in excess of $435.00, $471.25 to $554.41 for a semimonthly pay period, enter the earnings in excess of $471.25, $942.50 to $1,108.82 for a monthly pay period, enter the earnings in excess of $942.50 or the equivalent for any other pay period; or If the judgment debtor's disposable earnings shown on line 7 of the Interrogatories exceedthe high range of the aboveamounts for the employee's pay period, enter 25% of line 7 online 8 of the Interrogatories. American LegalNet, Inc. www.FormsWorkFlow.com Page 2 of 4 This form is provided as a public service but should be reviewed by your attorney. Effective Sept. I, 1997. If the judgment debtor's wages are already being withheld under a different court order, you mustcompute the amount that is subject to garnishment under this order. Enter the amount shown on line 8 of the Interrogatories; this is the portion of the judgment debtor's earnings that are subject to this garnishment. Add the amounts shown on lines 9A, 9B, 9C, and 9D of the Interrogatories to determine the total amount withheld from the judgment debtor's disposable earnings under all other orders. Subtract the total amount withheld under all other orders from the amount subject to this garnishment. If the amount withheld under all other orders equals or exceeds the amount subject to the garnishment, enter Zero. Enter this amount on line 10 of the Interrogatories. CAUTION: If you entered an amount on line 9D, because you have been withholding a portion of the judgment debtor's earnings under a different Garnishment Order or Order of Continuing Lien that is not for the support of a person, you should recalculate the proper amount, if any, that you should continue to withhold under that order. Effective: GARNISHEE COPY . American LegalNet, Inc. www.FormsWorkFlow.com INTERROGATORIES FOR GARNISHMENTS CC 3:8H New 01/16 Document number on the mailed copy received: Page 3 of 4 This form is provided as a public service but should be reviewed by your attorney. Effective Sept. I, 1997. Plaintiff vs. Defendant JUDGMENT CREDITOR: ATTORNEY: JUDGMENT DEBTOR: Case INTERROGATORIES FOR GARNISHMENTS GARNISHEE: 1.Is the judgment debtor currently in your employ? Yes No 2.Did you owe the judgment debtor any money for wages on the date and Time you were served with this garnishment? YesNo 3.Will you owe earnings to the judgment debtor within the next 60 days? Yes No 4.How often is the judgment debtor paid? Weekly or more often; Biweekly; Semimonthly; Monthly; Other (Explain: ) American LegalNet, Inc. www.FormsWorkFlow.com Page 4 of 4 This form is provided as a public service but should be reviewed by your attorney. Effective Sept. I, 1997. If you answer No, enter the amount shown on line 8 on line 10 and answer the remaining interrogatories. The amount subject to garnishment under this order for each pay period cannot exceed the amount on line 8. If you answer Yes, you must answer the questions in this interrogatory and calculate the amount subject to garnishment under this order in accordance with part 5 of the Employer's Instruction Sheet. Is any portion of the judgment debtor's earnings currently withheld pursuant to: A.A Withhold and Transmit Order for support of a person? Yes No If Yes, what is the amount withheld for this pay period under the order?B.An order requiring Income Withholding for the support of a person? Yes No If Yes, what is the amount withheld for this pay period under the order? C.A Garnishment order (including an Order of Continuing Lien) forsupport of a person? Yes No If Yes, what is the amount withheld for this pay period under the order? D.A Garnishment order (including an Order of Continuing Lien) that isnot for the support of a person? Yes No If Yes, what is the amount withheld for this pay period under the order?If you have entered any amount on lines 9A to 9D, consult part 5 of the Employer's Instruction Sheet and enter the amount determined according to those instructions on line 10. OTHER THAN WAGES I. Do you have property belonging to the judgment debtor, or credits or monies owed to the judgmentdebtor, whether due or not, other than the earnings described above? Yes No 2. If Yes, specify: a. Property of the judgment debtor in your possession: b. Amount of money or credits you owe the judgment debtor, other than earnings: c. Date the money or credits were due, or will be due: Date: Prepared by: RETURN TO COURT American LegalNet, Inc. www.FormsWorkFlow.com





