Last updated: 10/3/2023
DUI Guilty Plea {495}
Start Your Free Trial $ 13.99What you get:
- Instant access to fillable Microsoft Word or PDF forms.
- Minimize the risk of using outdated forms and eliminate rejected fillings.
- Largest forms database in the USA with more than 80,000 federal, state and agency forms.
- Download, edit, auto-fill multiple forms at once in MS Word using our Forms Workflow Ribbon
- Trusted by 1,000s of Attorneys and Legal Professionals
Description
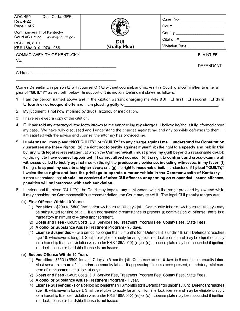
AOC-495 Rev. 4-16 Page 1 of 2 Doc. Code: GPF COM M O NW E A LT H O F K E lex et justitia Case No. ____________________ Court _______________________ County ______________________ Citation # ____________________ Violation Date ________________ PLAINTIFF DEFENDANT U C KY E NT CO Commonwealth of Kentucky Court of Justice www.courts.ky.gov RCr 8.08, 8.10; KRS 189A.010 COMMONWEALTH OF KENTUCKY VS. U RT OF JUS TI DUI (Guilty Plea) ______________________________________________ Address:_______________________________________ ______________________________________________ ______________________________________________ Comes Defendant, in person q with counsel OR q without counsel, and moves this Court to allow him/her to enter a plea of "GUILTY" as set forth below. In support of this motion, Defendant states as follows: 1. 2. 3. 4. I am the person named above and in the citation/warrant charging me with DUI q first q second q third q fourth or subsequent offense. I am pleading guilty to ___________________________________________. My judgment is not now impaired by drugs, alcohol, or medication. I have reviewed a copy of the citation. q I have told my attorney all the facts known to me concerning my charges. I believe he/she is fully informed about my case. We have fully discussed and I understand the charges against me and any possible defenses to them. I am satisfied with the advice and counsel the attorney has provided me. I understand I may plead "NOT GUILTY" or "GUILTY" to any charge against me. I understand the Constitution guarantees me these rights: (a) the right not to testify against myself; (b) the right to a speedy and public trial by jury, with legal representation, at which the Commonwealth must prove my guilt beyond a reasonable doubt; (c) the right to have counsel appointed if I cannot afford counsel; (d) the right to confront and cross-examine all witnesses called to testify against me; (e) the right to produce any evidence, including witnesses, in my favor; (f) the right to appeal my case to a higher court; and (g) the right to reasonable bail. I understand if I plead "GUILTY," I waive these rights and lose the privilege to operate a motor vehicle in the Commonwealth of Kentucky. I further understand that should I be convicted of other DUI offenses or operating on suspended license offenses, penalties will be increased with each conviction. I understand if I plead "GUILTY," the Court may impose any punishment within the range provided by law and while it may consider the Commonwealth's recommendation, the Court may reject it. The legal DUI penalty ranges are: (a) First Offense Within 10 Years: (1) Penalties - $200 to $500 fine and/or 48 hours to 30 days jail. Community labor of 48 hours to 30 days may be substituted for fine or jail. If an aggravating circumstance is present at commission of offense, there is a mandatory minimum of four (4) days imprisonment. (2) Costs and Fees - Court Costs, DUI Service Fee, Treatment Program Fee, County Fees, State Fees. (3) Alcohol or Substance Abuse Treatment Program - 90 days. (4) License Revoked - 30-120 days (or if Defendant is under 18, until Defendant reaches age 18, whichever is longer). May apply for hardship license after minimum suspension period expires. If aggravated offense, mandatory ignition interlock license/device for a period of six months. (b) Second Offense Within 10 Years: (1) Penalties - $350 to $500 fine and 7 days to 6 months jail. Court may order 10 days to 6 months community labor. Must serve minimum of jail and/or community labor. If aggravating circumstance present, mandatory minimum term of imprisonment shall be 14 days. (2) Costs and Fees - Court Costs, DUI Service Fee, Treatment Program Fee, County Fees, State Fees. (3) Alcohol or Substance Abuse Treatment Program - 1 year. (4) License Revoked - 12 - 18 months (or if Defendant is under 18, until Defendant reaches age 18, whichever is longer). (5) Ignition Interlock - mandatory ignition interlock license/device for a period of twelve (12) months. License plate impoundment if ignition interlock license requirements are not met. American LegalNet, Inc. www.FormsWorkFlow.com 5. 6. C AOC-495 Rev. 4-16 Page 2 of 2 (c) Third Offense Within 10 Years: (1) Penalties - $500 to $1000 fine and 30 days to 12 months jail, and court may order 10 days to 12 months community labor. Must serve minimum of jail and/or community labor. If aggravating circumstance present, mandatory minimum term of imprisonment shall be 60 days. (2) Costs and Fees - Court Costs, DUI Service Fee, Treatment Program Fee, County Fees, State Fees. (3) Alcohol or Substance Abuse Treatment Program - 1 year. (4) License Revoked - 24 to 36 months (5) Ignition Interlock - mandatory ignition interlock license/device for a period of thirty (30) months. License plate impoundment if ignition interlock license requirements are not met. Fourth or Subsequent Offense Within 10 Years: (1) Penalties - 1 to 5 years (Class D Felony). Must serve 120 days. If aggravating circumstance present, mandatory minimum term of imprisonment shall be 240 days. (2) Costs and Fees - Court Costs, DUI Service Fee, Treatment Program Fee, County Fees, State Fees. (3) Alcohol or Substance Abuse Treatment Program - 1 year. (4) License Revoked - 5 years. No hardship license. (5) Ignition Interlock - mandatory ignition interlock license/device for a period of thirty (30) months. License plate impoundment if ignition interlock license requirements are not met. (e) Aggravating Circumstances referred to above are: (1) Operating motor vehicle (MV) in excess of 30 miles per hour above the speed limit; (2) Operating MV in wrong direction on limited access highway; (3) Operating MV that causes accident resulting in death or serious physical injury; (4) Operating MV while alcohol concentration in operator's blood or breath is 0.15 or more as measured by test(s) of a sample of the operator's blood or breath taken within 2 hours of cessation of operation of MV; (5) Refusing to submit to any test(s) [blood, breath, or urine] requested by officer having reasonable grounds to believe person was operating or in physical control of a MV in violation of KRS 189A.010(1); and (6) Operating MV that is transporting a passenger under 12 years of age. 7. I understand that if the Court rejects the plea agreement, it must so inform me and allow me to either persist in my guilty plea, in which case I may receive a less favorable disposition of my case than i





