Last updated: 8/22/2023
Notice Of Medical Information And Birth-Adoptive Parent Identifying Information Disclosure {JC-1631}
Start Your Free Trial $ 17.99What you get:
- Instant access to fillable Microsoft Word or PDF forms.
- Minimize the risk of using outdated forms and eliminate rejected fillings.
- Largest forms database in the USA with more than 80,000 federal, state and agency forms.
- Download, edit, auto-fill multiple forms at once in MS Word using our Forms Workflow Ribbon
- Trusted by 1,000s of Attorneys and Legal Professionals
Description
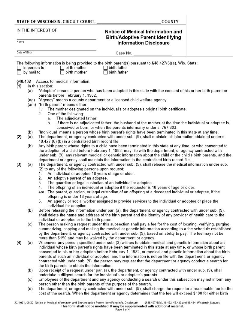
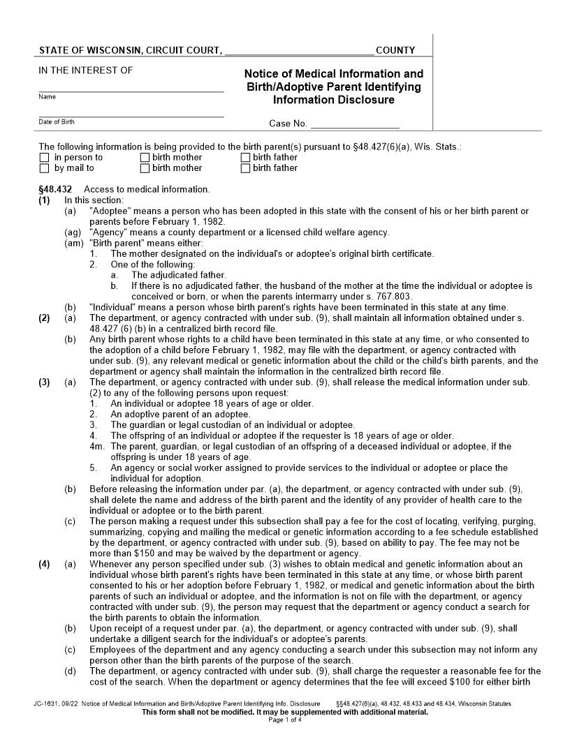
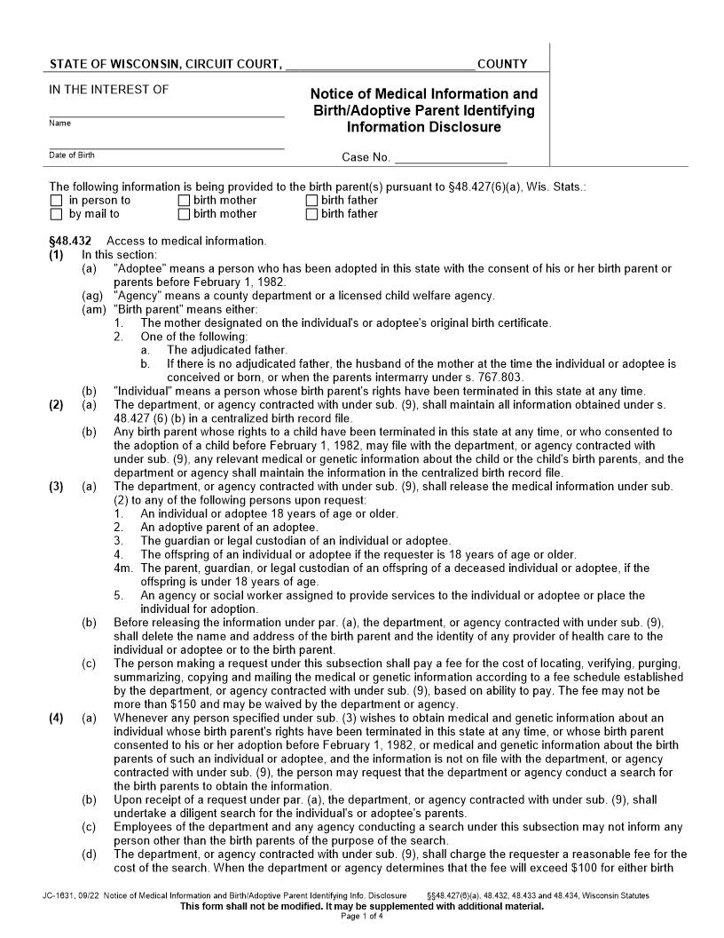
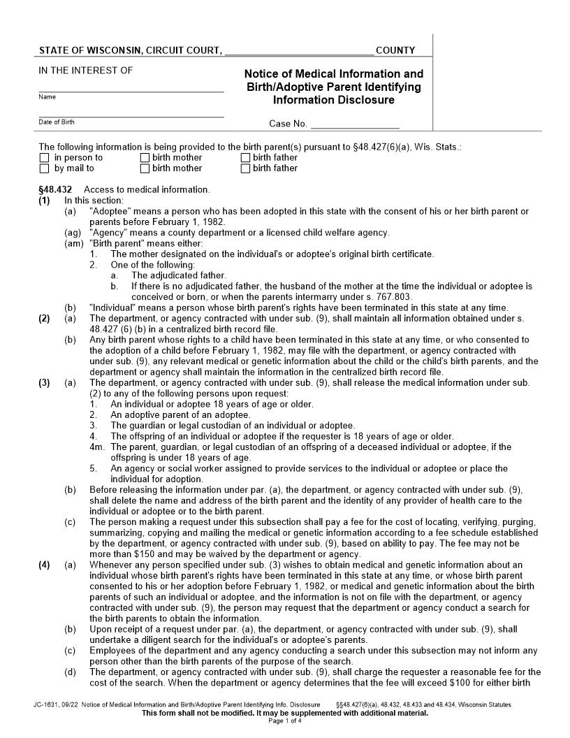
JC-1631, 02/16 Notice of Medical Information and Birth/Adoptive Parent Identifying Info. Disclosure 24724748.427(6)(a), 48.432, 48.433 and 48.434, Wisconsin Statutes This form shall not be modified. It may be supplemented with additional material. Page 1 of 4 STATE OF WISCONSIN, CIRCUIT COURT, COUNTY IN THE INTEREST OF Name Date of Birth Notice of Medical Information and Birth/Adoptive Parent Identifying Information Disclosure Case No. The following information is being provided to the birth parent(s) pursuant to 24748.427(6)(a), Wis. Stats.: in person to birth mother birth father by mail to birth mother birth father 48.432 Access to medical information. (1) In this section: (a) "Adoptee" means a person who has been adopted in this state with the consent of his or her birth parent or parents before February 1, 1982. (ag) "Agency" means a county department or a licensed child welfare agency. http://docs.legis.wisconsin.gov/document/statutes/48.432(1)(am) (am) "Birth parent" means either: 1. The mother designated on the individual's or adoptee's original birth certificate. 2. One of the following: a. The adjudicated father. b. If there is no adjudicated father, the husband of the mother at the time the individual or adoptee is conceived or born, or when the parents intermarry under s. 767.803. (b) "Individual" means a person whose birth parent's rights have been terminated in this state at any time. (2) (a) The department, or agency contracted with under sub. (9), shall maintain all information obtained under s. 48.427 (6) (b) in a centralized birth record file. (b) Any birth parent whose rights to a child have been terminated in this state at any time, or who consented to the adoption of a child before February 1, 1982, may file with the department, or agency contracted with under sub. (9), any relevant medical or genetic information about the child or the child's birth parents, and the department or agency shall maintain the information in the centralized birth record file. (3) (a) The department, or agency contracted with under sub. (9), shall release the medical information under sub. (2) to any of the following persons upon request: 1. An individual or adoptee 18 years of age or older. 2. An adoptive parent of an adoptee. 3. The guardian or legal custodian of an individual or adoptee. 4. The offspring of an individual or adoptee if the requester is 18 years of age or older. 4m. The parent, guardian, or legal custodian of an offspring of a deceased individual or adoptee, if the offspring is under 18 years of age. 5. An agency or social worker assigned to provide services to the individual or adoptee or place the individual for adoption. (b) Before releasing the information under par. (a), the department, or agency contracted with under sub. (9), shall delete the name and address of the birth parent and the identity of any provider of health care to the individual or adoptee or to the birth parent. (c) The person making a request under this subsection shall pay a fee for the cost of locating, verifying, purging, summarizing, copying and mailing the medical or genetic information according to a fee schedule established by the department, or agency contracted with under sub. (9), based on ability to pay. The fee may not be more than $150 and may be waived by the department or agency. (4) (a) Whenever any person specified under sub. (3) wishes to obtain medical and genetic information about an individual whose birth parent's rights have been terminated in this state at any time, or whose birth parent consented to his or her adoption before February 1, 1982, or medical and genetic information about the birth parents of such an individual or adoptee, and the information is not on file with the department, or agency contracted with under sub. (9), the person may request that the department or agency conduct a search for the birth parents to obtain the information. (b) Upon receipt of a request under par. (a), the department, or agency contracted with under sub. (9), shall undertake a diligent search for the individual's or adoptee's parents. (c) Employees of the department and any agency conducting a search under this subsection may not inform any person other than the birth parents of the purpose of the search. American LegalNet, Inc. www.FormsWorkFlow.com JC-1631, 02/16 Notice of Medical Information and Birth/Adoptive Parent Identifying Info. Disclosure 24724748.427(6)(a), 48.432, 48.433 and 48.434, Wisconsin Statutes This form shall not be modified. It may be supplemented with additional material. Page 2 of 4 (d) The department, or agency contracted with under sub. (9), shall charge the requester a reasonable fee for the cost of the search. When the department or agency determines that the fee will exceed $100 for either birth parent, it shall notify the requester. No fee in excess of $100 per birth parent may be charged unless the requester, after receiving notification under this paragraph, has given consent to proceed with the search. (e) The department or agency conducting the search shall, upon locating a birth parent, notify him or her of the request and of the need for medical and genetic information. (f) The department, or agency contracted with under sub. (9), shall release to the requester any medical or genetic information provided by a birth parent under this subsection without disclosing the birth parent's identity or location. (g) If a birth parent is located but refuses to provide the information requested, the department, or agency contracted with under sub. (9), shall notify the requester, without disclosing the birth parent's identity or location, and the requester may petition the circuit court to order the birth parent to disclose the information. The court shall grant the motion for good cause shown. (7) (a) If the department or another agency that maintains records relating to the adoption of an adoptee or the termination of parental rights receives a report from a physician stating that a birth parent or another offspring of the birth parent has acquired or may have a genetically transferable disease, the department or agency shall notify the individual or adoptee of the existence of the disease, if he or she is 18 years of age or over, or notify the individual's or adoptee's guardian, custodian or adoptive parent if the individual or adoptee is under age 18. (b) If the department or agency receives a report from a physician that an individual or adoptee has acquired or may have a genetically transferable disease, the department or agency shall notify the individual's or adoptee's birth parent of the existence of the disease. (c) Notice under par. (a) or (b) shall be sent to the most recent address on file with the agency or the department. (8) Any person, including this state or any political subdivision of this state, who participates in good faith in any requirement of this section shall have immunity from any liability, civil or criminal, that results from his or her actions. In any proceeding, civil or criminal, the good faith of any person participating in the requirements of this section shall be presumed. (8m) The department, or agency contracted with under sub. (9), shall give priority to all of the following: (a) Reports filed by physicians under sub. (7). (b) A request or a court order for medical or genetic information under subs. (3) and (4) if it is accompanied by a statement from a physician certifying that a child has acquired or may have a genetically transferable disease. (c) Any reports and requests specified by the department by rule. (9) The department shall promulgate rules to implement this section and may contract with an agency to administer this section. 48.433 Access to identifying information about parents. (1) In this section: (a) "Agency" has the meaning given under s. 48.432 (1) (ag). (b) "Birth parent" has the meaning given under s. 48.432 (1) (am). (2) Any birth parent whose rights have been terminated in this state at any time, or who has consented to the adoption of his or her child in this state before February 1, 1982, may file with the department, or agency contracted with under
Related forms
-
Summons
Wisconsin/Statewide/Circuit Court/Juvenile/ -
ICWA Summons
Wisconsin/Statewide/Circuit Court/Juvenile/ -
Indian Child Adoptee Information
Wisconsin/Statewide/Circuit Court/Juvenile/ -
Active Efforts Supplement - Indian Child Welfare Act
Wisconsin/Statewide/Circuit Court/Juvenile/ -
Plea Questionaire Waiver Of Rights
Wisconsin/Statewide/Circuit Court/Juvenile/ -
Plea Questionnaire - Waiver Of Rights (Juvenile)
Wisconsin/Statewide/Circuit Court/Juvenile/ -
Waiver Of Right To Attorney (Child Or Juvenile)
Wisconsin/Statewide/Circuit Court/Juvenile/ -
Notice Concerning Grounds To Terminate Parental Rights
Wisconsin/Statewide/Circuit Court/Juvenile/ -
Public Defender Response Order Concerning Recoupment
Wisconsin/Statewide/Circuit Court/Juvenile/ -
Request To Inspect Juvenile Court Records
Wisconsin/Statewide/Circuit Court/Juvenile/ -
Notice Of Rights And Obligations
Wisconsin/Statewide/Circuit Court/Juvenile/ -
Order Concerning Recoupment
Wisconsin/Statewide/Circuit Court/Juvenile/ -
Order To Inspect Juvenile Court Records
Wisconsin/Statewide/Circuit Court/Juvenile/ -
Injunction For Child Abuse
Wisconsin/Statewide/Circuit Court/Juvenile/ -
Acknowledgment Of Dispositional Conditions And Sanctions Habitual Truancy
Wisconsin/Statewide/Circuit Court/Juvenile/ -
Confidential Foster Parent Information
Wisconsin/1 Statewide/Circuit Court/Juvenile/ -
Affidavit And Motion For Sanctions
Wisconsin/Statewide/Circuit Court/Juvenile/ -
Consent Decree (In-Home Placement Only)
Wisconsin/Statewide/Circuit Court/Juvenile/ -
Consent of Child-Juvenile to Medical Services
Wisconsin/Statewide/Circuit Court/Juvenile/ -
Case Closure Order
Wisconsin/Statewide/Circuit Court/Juvenile/ -
Annual Report On Condition Of The Child
Wisconsin/1 Statewide/Circuit Court/Juvenile/ -
Certificate To Delegation Of Powers Under 48.979 Of An Indian Child
Wisconsin/Statewide/Circuit Court/Juvenile/ -
Consent To Use Mothers Name For Publication
Wisconsin/Statewide/Circuit Court/Juvenile/ -
Consent To Termination Of Parental Rights (Judicial) ICWA
Wisconsin/Statewide/Circuit Court/Juvenile/ -
Consent To Delegation Of Powers ICWA
Wisconsin/Statewide/Circuit Court/Juvenile/ -
Consent To Termination Of Parental Rights (Judicial)
Wisconsin/Statewide/Circuit Court/Juvenile/ -
Consent To Termination Of Parental Rights (Affidavit)
Wisconsin/Statewide/Circuit Court/Juvenile/ -
Dispositional Order Appointing Guardian
Wisconsin/1 Statewide/Circuit Court/Juvenile/ -
Dispositional Order Of Unborn Child
Wisconsin/Statewide/Circuit Court/Juvenile/ -
Dispositional Order Civil Law Ordinance Violation
Wisconsin/Statewide/Circuit Court/Juvenile/ -
ICWA Summons (Termination Of Parental Rights)
Wisconsin/Statewide/Circuit Court/Juvenile/ -
Nomination Of Guardian By Parent Or Child
Wisconsin/1 Statewide/Circuit Court/Juvenile/ -
Medical Authorization
Wisconsin/Statewide/Circuit Court/Juvenile/ -
Letters Of Guardianship And Dispositional Order Appointing Emergency Guardian
Wisconsin/1 Statewide/Circuit Court/Juvenile/ -
Notice Of Change Of Address
Wisconsin/1 Statewide/Circuit Court/Juvenile/ -
Motion For Transfer To Tribal Court ICWA
Wisconsin/Statewide/Circuit Court/Juvenile/ -
Notice And Order Of Hearing (For Publication)
Wisconsin/Statewide/Circuit Court/Juvenile/ -
Notice Of Medical Information And Birth-Adoptive Parent Identifying Information Disclosure
Wisconsin/Statewide/Circuit Court/Juvenile/ -
Order Concerning Petition To Expunge Court Record Of Adjudication
Wisconsin/Statewide/Circuit Court/Juvenile/ -
Notice To School District To Transfer Records
Wisconsin/Statewide/Circuit Court/Juvenile/ -
Order Concerning Removal Of Firearm Restriction
Wisconsin/Statewide/Circuit Court/Juvenile/ -
Notice Of Right To Seek Postdisposition Relief
Wisconsin/Statewide/Circuit Court/Juvenile/ -
Notice Of Right To Seek Post-Judgment Relief
Wisconsin/Statewide/Circuit Court/Juvenile/ -
Order Concerning Competency Or Mental Responsibility Determination
Wisconsin/Statewide/Circuit Court/Juvenile/ -
Order Dismissing Petition
Wisconsin/Statewide/Circuit Court/Juvenile/ -
Order For Adoptive Placement
Wisconsin/Statewide/Circuit Court/Juvenile/ -
Order For Appointment Of Successor Guardian
Wisconsin/1 Statewide/Circuit Court/Juvenile/ -
Order For Hearing And Screening (Stepparent Adoption)
Wisconsin/Statewide/Circuit Court/Juvenile/ -
Order For Examination Or Assessment
Wisconsin/Statewide/Circuit Court/Juvenile/ -
Order For Payment Of Guardian Ad Litem Fees And Expenses For Child Juvenile
Wisconsin/Statewide/Circuit Court/Juvenile/ -
Order For Hearing And Investigation
Wisconsin/Statewide/Circuit Court/Juvenile/ -
Order For Recoupment Of Costs Of Legal Services
Wisconsin/Statewide/Circuit Court/Juvenile/ -
Order For Temporary Physical Custody Expectant Mother
Wisconsin/Statewide/Circuit Court/Juvenile/ -
Order On Petition For Minor Child Adoption
Wisconsin/Statewide/Circuit Court/Juvenile/ -
Order On Petition To Discharge Guardian
Wisconsin/1 Statewide/Circuit Court/Juvenile/ -
Order On Motion For Transfer To Tribal Court
Wisconsin/Statewide/Circuit Court/Juvenile/ -
Order On Petition Vacating Consent Decree And Reinstating Proceedings
Wisconsin/Statewide/Circuit Court/Juvenile/ -
Order On Petition For Voluntary Transition to Independent Living Agreement
Wisconsin/Statewide/Circuit Court/Juvenile/ -
Order On Motion For Sanctions
Wisconsin/1 Statewide/Circuit Court/Juvenile/ -
Order On Petition For Termination Of Guardianship
Wisconsin/1 Statewide/Circuit Court/Juvenile/ -
Order On Petition To Revise Guardianship Order
Wisconsin/1 Statewide/Circuit Court/Juvenile/ -
Order On Petition To Remove Guardian For Cause
Wisconsin/1 Statewide/Circuit Court/Juvenile/ -
Order Terminating Dispositional Order
Wisconsin/Statewide/Circuit Court/Juvenile/ -
Order On Request To Reconsider Or Modify Emergency Guardianship Order
Wisconsin/1 Statewide/Circuit Court/Juvenile/ -
Order On Request To Extend Guardianship
Wisconsin/1 Statewide/Circuit Court/Juvenile/ -
Order On Request To Terminate Guardianship
Wisconsin/1 Statewide/Circuit Court/Juvenile/ -
Order Registering Foreign Adoption
Wisconsin/Statewide/Circuit Court/Juvenile/ -
Order To Discharge Guardian
Wisconsin/1 Statewide/Circuit Court/Juvenile/ -
Order On Request To Modify Order
Wisconsin/1 Statewide/Circuit Court/Juvenile/ -
Order On Waiver Of Parental Consent For Abortion
Wisconsin/Statewide/Circuit Court/Juvenile/ -
Order On Review Of Conduct Of The Guardian
Wisconsin/1 Statewide/Circuit Court/Juvenile/ -
Order To Provide Statement Of Income Assets Debts And Living Expenses
Wisconsin/Statewide/Circuit Court/Juvenile/ -
Order To Open Court Records For Inspection
Wisconsin/Statewide/Circuit Court/Juvenile/ -
Order To Impose Stayed Delinquency Dispositional Order
Wisconsin/Statewide/Circuit Court/Juvenile/ -
Petition For A Voluntary Transition to Independent Living Agreement
Wisconsin/Statewide/Circuit Court/Juvenile/ -
Petition For Appointment Of Successor Guardian
Wisconsin/1 Statewide/Circuit Court/Juvenile/ -
Petition For Examination Or Assessment
Wisconsin/Statewide/Circuit Court/Juvenile/ -
Petition For Protection Or Care Of An Unborn Child Chapter 48
Wisconsin/Statewide/Circuit Court/Juvenile/ -
Petition For Waiver Of Jurisdiction
Wisconsin/Statewide/Circuit Court/Juvenile/ -
Petition For Review Of Conduct Of Guardian
Wisconsin/1 Statewide/Circuit Court/Juvenile/ -
Request And Authorization To Open Court Records For Inspection
Wisconsin/Statewide/Circuit Court/Juvenile/ -
Petition To Vacate Consent Decree-Waiver Of Hearing
Wisconsin/Statewide/Circuit Court/Juvenile/ -
Report Of Guardian Ad Litem For Guardianship Of Child
Wisconsin/1 Statewide/Circuit Court/Juvenile/ -
Priority Placement Order (Interstate Compact On The Placement Of Children)
Wisconsin/Statewide/Circuit Court/Juvenile/ -
Petition To Waive Parental Consent For Abortion
Wisconsin/Statewide/Circuit Court/Juvenile/ -
Resignation Of Guardian
Wisconsin/1 Statewide/Circuit Court/Juvenile/ -
Resignation Of Guardian
Wisconsin/1 Statewide/Circuit Court/Juvenile/ -
Request To Extend Consent Decree
Wisconsin/Statewide/Circuit Court/Juvenile/ -
Request For Custody By School Attendance Officer Designation By School District Administrator
Wisconsin/Statewide/Circuit Court/Juvenile/ -
Request To Impose Stayed Delinquency Dispositional Order
Wisconsin/Statewide/Circuit Court/Juvenile/ -
Request to Modify, Extend Limited-Temporary Reconsider-Modify Emergency Or Terminate Guardianship
Wisconsin/1 Statewide/Circuit Court/Juvenile/ -
Stipulation For Consent Decree (In-Home Placement Only)
Wisconsin/Statewide/Circuit Court/Juvenile/ -
Summons For Termination of Parental Rights
Wisconsin/Statewide/Circuit Court/Juvenile/ -
Statement Of Income Assets Debts And Living Expenses
Wisconsin/Statewide/Circuit Court/Juvenile/ -
Teen Court Referral
Wisconsin/Statewide/Circuit Court/Juvenile/ -
Stipulation For Consent Decree (Out-of-Home Placement Only)
Wisconsin/Statewide/Circuit Court/Juvenile/ -
Temporary Order Appointing An Emergency Guardian
Wisconsin/1 Statewide/Circuit Court/Juvenile/ -
Stipulation For Consent Decree (Out-Of-Home Placement Only)
Wisconsin/Statewide/Circuit Court/Juvenile/ -
Waiver Of Immediate Notice Parental Consent Abortion Waivers
Wisconsin/Statewide/Circuit Court/Juvenile/ -
Waiver Of Participation In Nonsecure Physical Custody Hearing
Wisconsin/Statewide/Circuit Court/Juvenile/ -
Temporary Physical Custody Request Supplement-Ch 48
Wisconsin/Statewide/Circuit Court/Juvenile/ -
Order on Petition for Minor Child Adoption
Wisconsin/Statewide/Circuit Court/Juvenile/ -
Judgment For Unpaid Restitution Forfeiture
Wisconsin/Statewide/Circuit Court/Juvenile/ -
Notice Of Intent To Enter Civil Judgment For Restitution-Forfeiture-Surcharge
Wisconsin/Statewide/Circuit Court/Juvenile/ -
Notice Of Right To Seek Postdisposition Relief
Wisconsin/Statewide/Circuit Court/Juvenile/ -
Petition Under Ch 938 - Delinquency-Protection Or Services-Civil Law Or Ordinances
Wisconsin/Statewide/Circuit Court/Juvenile/ -
Petition For Protection Or Services (Chapter 938) ICWA
Wisconsin/Statewide/Circuit Court/Juvenile/ -
Dispositional Order-Protection Or Services With Termination Of Parental Rights
Wisconsin/Statewide/Circuit Court/Juvenile/ -
Dispositional Order Protection Or Services Chapter 938
Wisconsin/Statewide/Circuit Court/Juvenile/ -
Dispositional Order - Protection Or Services With TPR Notice
Wisconsin/1 Statewide/Circuit Court/Juvenile/ -
Consent Decree (Out-Of-Home Placement Only)
Wisconsin/Statewide/Circuit Court/Juvenile/ -
Petition To Terminate-Revise Guardianship Order Or Remove Guardian For Cause
Wisconsin/1 Statewide/Circuit Court/Juvenile/ -
Order To Consolidate Minor Guardianship Of The Child And Estate Cases
Wisconsin/1 Statewide/Circuit Court/Juvenile/ -
Consent Decree (Out of Home Placement Only)
Wisconsin/Statewide/Circuit Court/Juvenile/ -
Dispositional Order-Protection Or Services With Termination Of Parental Rights
Wisconsin/Statewide/Circuit Court/Juvenile/ -
Letters Of Guardianship
Wisconsin/1 Statewide/Circuit Court/Juvenile/ -
Order For Temporary Physical Custody-Secure-Nonsecure-ICWA
Wisconsin/Statewide/Circuit Court/Juvenile/ -
Notice Change In Placement ICWA
Wisconsin/Statewide/Circuit Court/Juvenile/ -
Affidavit Of Clergyperson To Waive Parental Consent For Abortion
Wisconsin/Statewide/Circuit Court/Juvenile/ -
Petition For Adoptive Placement
Wisconsin/Statewide/Circuit Court/Juvenile/ -
Petition For Minor Child Adoption
Wisconsin/Statewide/Circuit Court/Juvenile/ -
Notice To School
Wisconsin/Statewide/Circuit Court/Juvenile/ -
Dispositional Order - Delinquent With Termination Of Parental Rights
Wisconsin/1 Statewide/Circuit Court/Juvenile/ -
Petition For Judgment Against Juvenile Parent For Unpaid Restitution
Wisconsin/Statewide/Circuit Court/Juvenile/ -
Petition For Judgment Against Juvenile Parent For Unpaid Forfeiture
Wisconsin/Statewide/Circuit Court/Juvenile/ -
Short Term Detention - Pending Investigation-As A Consequence
Wisconsin/Statewide/Circuit Court/Juvenile/ -
Petition For Removal Of Firearm Restriction
Wisconsin/Statewide/Circuit Court/Juvenile/ -
Statement By Proposed Guardian
Wisconsin/1 Statewide/Circuit Court/Juvenile/ -
Letters Of Guardianship And Dispositional Order Appointing Guardian
Wisconsin/1 Statewide/Circuit Court/Juvenile/ -
Dispositional Order - Delinquent
Wisconsin/Statewide/Circuit Court/Juvenile/ -
Request For Case Closure Order
Wisconsin/Statewide/Circuit Court/Juvenile/ -
Petition For Order Of Foreign Adoption
Wisconsin/Statewide/Circuit Court/Juvenile/ -
Petition To Expunge Court Record Of Adjudication-Recommendation Of District Attorney
Wisconsin/Statewide/Circuit Court/Juvenile/ -
Temporary Physical Custody Request
Wisconsin/Statewide/Circuit Court/Juvenile/ -
Stipulation To Revise Dispositional Order
Wisconsin/Statewide/Circuit Court/Juvenile/ -
Statement Of Guardian Ad Litem (Chapters 48 And 938)
Wisconsin/Statewide/Circuit Court/Juvenile/ -
Request To Change Placement- Revise Dispositional Order ICWA
Wisconsin/Statewide/Circuit Court/Juvenile/ -
Request To Change Placement - Revise Dispositional Order
Wisconsin/Statewide/Circuit Court/Juvenile/ -
Request For Transition To Discharge Hearing
Wisconsin/Statewide/Circuit Court/Juvenile/ -
Postdisposition Emergency Change In Placement Order With Termination Of Parental Rights
Wisconsin/Statewide/Circuit Court/Juvenile/ -
Order To Revise Dispositional Order
Wisconsin/Statewide/Circuit Court/Juvenile/ -
Order Of Extension Of Trial Reunification
Wisconsin/Statewide/Circuit Court/Juvenile/ -
Order Granting Temporary Extension Of Trial Reunification
Wisconsin/Statewide/Circuit Court/Juvenile/ -
Order Granting Temporary Extension
Wisconsin/Statewide/Circuit Court/Juvenile/ -
Order For Trial Reunification
Wisconsin/Statewide/Circuit Court/Juvenile/ -
Order For Revocation Of Trial Reunification
Wisconsin/Statewide/Circuit Court/Juvenile/ -
Order For Post Termination Of Parental Rights
Wisconsin/Statewide/Circuit Court/Juvenile/ -
Order For Extension Of Dispositional Order With Termination Of Parental Rights
Wisconsin/1 Statewide/Circuit Court/Juvenile/ -
Order For Extension Of Dispositional Order (Out Of Home Placement Only)
Wisconsin/Statewide/Circuit Court/Juvenile/ -
Order For Extension Of Dispositional Order (In Home Placement Only)
Wisconsin/Statewide/Circuit Court/Juvenile/ -
Order For Extension Of Dispo Order-Consent Decree With Termination Of Parental Rights
Wisconsin/1 Statewide/Circuit Court/Juvenile/ -
Order For Extension Of Dispo Order-Consent Decree (Out Of Home Placement Only)
Wisconsin/Statewide/Circuit Court/Juvenile/ -
Order For Change Of Placement With Termination Of Parental Rights
Wisconsin/Statewide/Circuit Court/Juvenile/ -
Order For Change Of Placement With Termination Of Parental Rights
Wisconsin/Statewide/Circuit Court/Juvenile/ -
Order For Change Of Placement With Termination Of Parental Rights
Wisconsin/Statewide/Circuit Court/Juvenile/ -
Order For Change Of Placement (Out Of Home To In Home Placement Only)
Wisconsin/Statewide/Circuit Court/Juvenile/ -
Order For Change Of Placement (In Home To In Home Placement Only)
Wisconsin/Statewide/Circuit Court/Juvenile/ -
Order For Change In Placement
Wisconsin/1 Statewide/Circuit Court/Juvenile/ -
Order Appointing Guardian Ad Litem Or Attorney (Chapter 48 And 938)
Wisconsin/Statewide/Circuit Court/Juvenile/ -
Notice Of Postdisposition Emergency Change In Placement
Wisconsin/Statewide/Circuit Court/Juvenile/ -
Notice Of Post-Disposition Change Of Placement
Wisconsin/Statewide/Circuit Court/Juvenile/ -
Notice Of Post Termination Of Parental Rights Change In Placement
Wisconsin/Statewide/Circuit Court/Juvenile/ -
Notice Of Permanency Hearing
Wisconsin/Statewide/Circuit Court/Juvenile/ -
Notice Of Hearing (Juvenile) ICWA
Wisconsin/Statewide/Circuit Court/Juvenile/ -
Notice And Request For Trial Reunification-Extension-Revocation
Wisconsin/Statewide/Circuit Court/Juvenile/ -
Dispositional Order Appointing Guardian For Child Without Living Parent
Wisconsin/1 Statewide/Circuit Court/Juvenile/ -
Consent To Act As Guardian Ad Litem Or Attorney (Ch. 48 and 938)
Wisconsin/Statewide/Circuit Court/Juvenile/ -
Temporary Physical Custody Request
Wisconsin/Statewide/Circuit Court/Juvenile/ -
Petition In Juvenile Court For Temporary Restraining Order And-Or Injunction (Harassment)
Wisconsin/Statewide/Circuit Court/Juvenile/ -
Petition For Termination Of Parental Rights
Wisconsin/Statewide/Circuit Court/Juvenile/ -
Petition For Termination Of Parental Rights - ICWA
Wisconsin/Statewide/Circuit Court/Juvenile/ -
Petition For Temporary Restraining Order And-Or Injunction (Child Abuse)
Wisconsin/Statewide/Circuit Court/Juvenile/ -
Petition For Protection Or Services (Chapter 48)
Wisconsin/Statewide/Circuit Court/Juvenile/ -
Petition For Protection Or Services - Chapter 48 (ICWA)
Wisconsin/Statewide/Circuit Court/Juvenile/ -
Petition For Appointment Of Guardian For Child Without Living Parent
Wisconsin/1 Statewide/Circuit Court/Juvenile/ -
Petition For Appointment Of Guardian
Wisconsin/1 Statewide/Circuit Court/Juvenile/ -
Petition For Appointment Of Guardian
Wisconsin/1 Statewide/Circuit Court/Juvenile/ -
Petition For Appointment Of Guardian (Full-Limited-Temporary Guardianship)
Wisconsin/1 Statewide/Circuit Court/Juvenile/ -
Petition For Appointment Of Emergency Guardian
Wisconsin/1 Statewide/Circuit Court/Juvenile/ -
Permanency Plan Hearing Order With Termination Of Parental Rights
Wisconsin/Statewide/Circuit Court/Juvenile/ -
Permanency Hearing Order
Wisconsin/Statewide/Circuit Court/Juvenile/ -
Order For Temporary Physical Custody (Secure Or Non-Secure)
Wisconsin/Statewide/Circuit Court/Juvenile/ -
Order For Revision Of Dispositional Order
Wisconsin/Statewide/Circuit Court/Juvenile/ -
Order Concerning Termination Of Parental Rights (Voluntary) ICWA
Wisconsin/Statewide/Circuit Court/Juvenile/ -
Order Concerning Termination Of Parental Rights (Voluntary)
Wisconsin/Statewide/Circuit Court/Juvenile/ -
Order Concerning Termination Of Parental Rights (Involuntary) ICWA
Wisconsin/Statewide/Circuit Court/Juvenile/ -
Notice Of Rights And Obligations
Wisconsin/Statewide/Circuit Court/Juvenile/ -
Acknowledgment Of Dispositional Conditions And Sanctions Delinquency JIPS
Wisconsin/Statewide/Circuit Court/Juvenile/ -
Permanency Hearing Order With Termination Of Parental Rights
Wisconsin/Statewide/Circuit Court/Juvenile/ -
Order Concerning Termination Of Parental Rights (Involuntary)
Wisconsin/Statewide/Circuit Court/Juvenile/ -
Temporary Physical Custody Request
Wisconsin/Statewide/Circuit Court/Juvenile/ -
Dispositional Order Protection Or Services With Termination Of Parental Rights
Wisconsin/1 Statewide/Circuit Court/Juvenile/ -
Dispositional Order Protection Or Services Chapter 48
Wisconsin/Statewide/Circuit Court/Juvenile/ -
Temporary Restraining Order And Notice Of Injunction Hearing (Child Abuse - 30711)
Wisconsin/Statewide/Circuit Court/Juvenile/ -
Notice Of Hearing Juvenile
Wisconsin/Statewide/Circuit Court/Juvenile/ -
Consent To Adoption
Wisconsin/Statewide/Circuit Court/Juvenile/
Form Preview
Contact Us
Success: Your message was sent.
Thank you!




