California
Statewide
Real Estate Deeds
Last updated: 12/8/2022
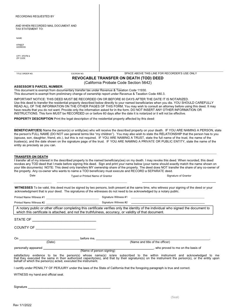
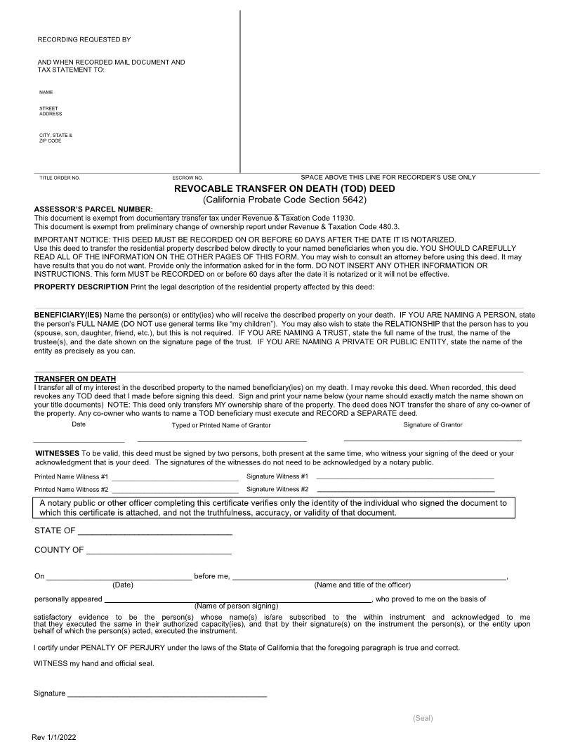
Transfer On Death (Beneficiary) Deed
Start Your Free Trial $ 0.00What you get:
- Instant access to fillable Microsoft Word or PDF forms.
- Minimize the risk of using outdated forms and eliminate rejected fillings.
- Largest forms database in the USA with more than 80,000 federal, state and agency forms.
- Download, edit, auto-fill multiple forms at once in MS Word using our Forms Workflow Ribbon
- Trusted by 1,000s of Attorneys and Legal Professionals
Description
REVOCABLE TRANSFER ON DEATH (TOD) DEED (California Probate Code Section 5642), This deed form allows property to be automatically transferred to a new owner when the current owner dies, without the need to go through probate. It also gives the current owner retained control over the property, including the right to change his or her mind about the transfer. www.FormsWorkflow.com
Related forms
Our Products





