Last updated: 9/20/2023
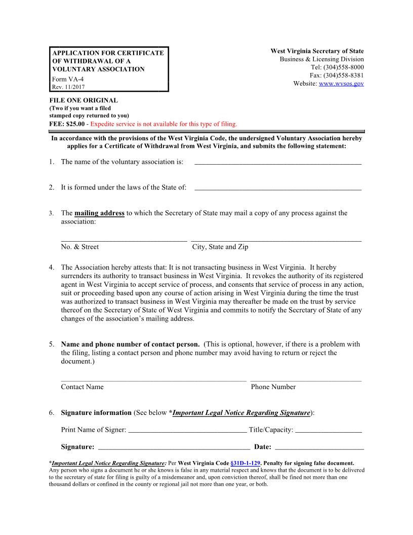
Application For Certificate Of Withdrawal Of A Voluntary Association (Foreign) {VA-4}
Start Your Free Trial $ 19.99What you get:
- Instant access to fillable Microsoft Word or PDF forms.
- Minimize the risk of using outdated forms and eliminate rejected fillings.
- Largest forms database in the USA with more than 80,000 federal, state and agency forms.
- Download, edit, auto-fill multiple forms at once in MS Word using our Forms Workflow Ribbon
- Trusted by 1,000s of Attorneys and Legal Professionals
Description
Important Legal Notice Regarding Signature Important Legal Notice Regarding Signature : Make your checks payable to West Virginia Secretary of State CUSTOMER ORDER REQUESTStandard and Expedited Filings Do Not mail cash Must attach request form including payment information. X (required) (optional) For security and verification purposes, all credit card payments must include the 3- or 4-digit CVV2 code (V Code) numberlocated on the credit card. Failure to include this code will result in the rejection of your filing or service request. (card holder name and billing address required below) (required) X





