Last updated: 5/31/2023
Certificate Of Formation
Start Your Free Trial $ 15.99What you get:
- Instant access to fillable Microsoft Word or PDF forms.
- Minimize the risk of using outdated forms and eliminate rejected fillings.
- Largest forms database in the USA with more than 80,000 federal, state and agency forms.
- Download, edit, auto-fill multiple forms at once in MS Word using our Forms Workflow Ribbon
- Trusted by 1,000s of Attorneys and Legal Professionals
Description
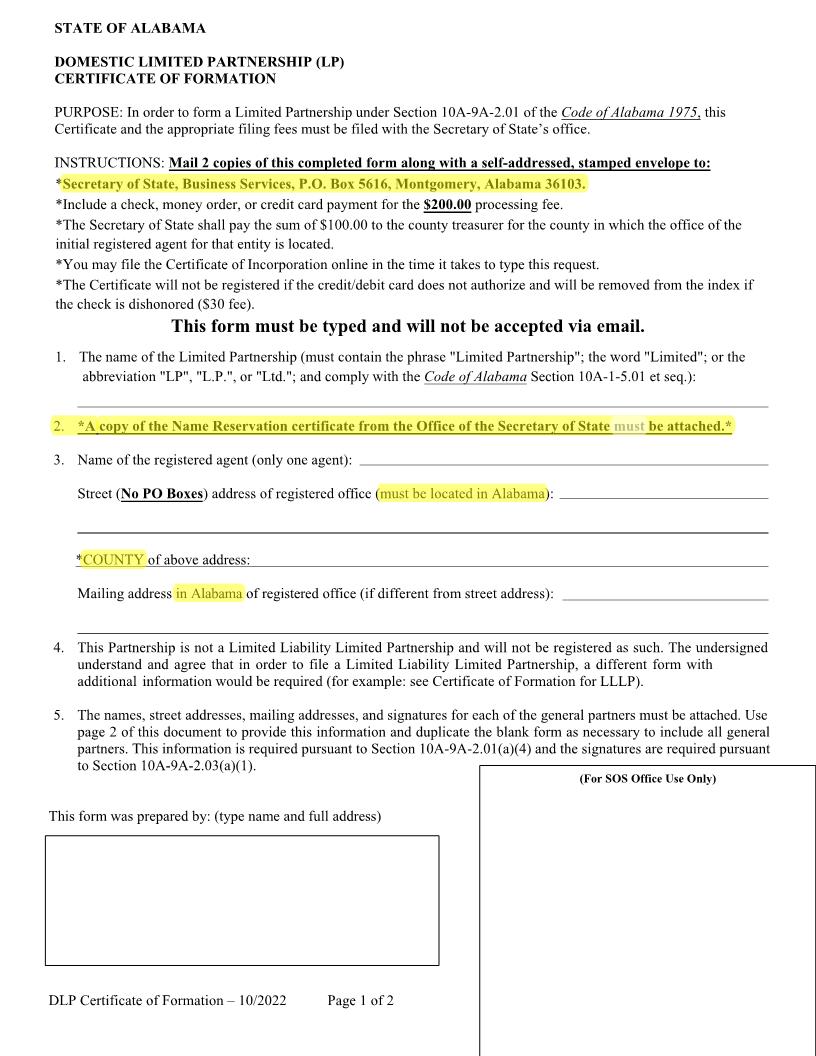
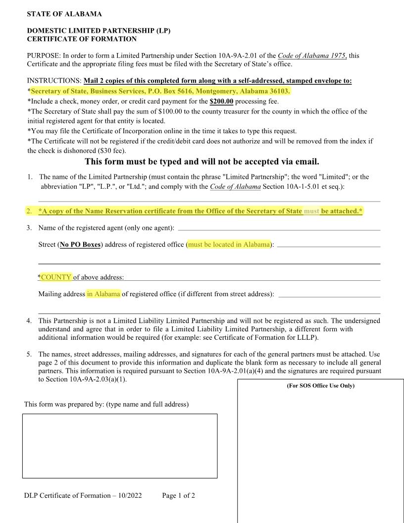
STATE OF ALABAMA DOMESTIC LIMITED PARTNERSHIP (LP) CERTIFICATE OF FORMATION DLPCertificateofFormation22601/2019Page1of2PURPOSE: In order to form a Limited Partnership under Section 10A-9A-2.01 of the Code of Alabama 1975 this Certificate and the appropriate filing fees must be filed with the Office of the Judge of Probate in the county where the Limited Partnership222s initial registered agent222s office is located. INSTRUCTIONS: Mail one (1) signed original and two (2) copies of this completed Certificate and the appropriate filing fees to the Office of the Judge of Probate in the county where the Limited Partnership222s initial registered office is located. Contact the Judge of Probate222s Office to determine the county filing fees. Make a separate check or money order payable to the Secretary of State for the state filing fee of $100.00 and the Judge of Probate222s Office will transmit the fees along with a certified copy of the Certificate to the Office of the Secretary of State within 10 days after the Certificate is recorded. You may pay the Secretary of State222s fee by credit card if the county you are filing in will accept that method of payment (see attached). Your entity will not be indexed if the credit card does not authorize and will be removed from the index if the check is dishonored ($30.00 fee). This form must be typed or laser printed. 1. ThenameoftheLimitedPartnership(mustcontainthephraseLimitedPartnership;thewordLimited;ortheabbreviationLP,L.P.,orLtd.,andcomplywithCodeofAlabamaTitle10A15): 2. AcopyoftheNameReservationcertificatefromtheOfficeoftheSecretaryofStatemustbeattached[provesnamereservationunder10A15.03].3. NameoftheRegisteredAgent: Street(NoPOBoxes)addressofRegisteredAgent: MailingaddressofRegisteredAgent(ifdifferentfromstreetaddress): 4. ThisPartnershipisnotaLimitedLiabilityLimitedPartnershipandwillnotberegisteredassuch.TheundersignedunderstandandagreethatinordertofileaLimitedLiabilityLimitedPartnershipadifferentformwithadditionalinformationwouldberequired(forexample:seeCertificateofFormationforLLLP).5. Thenames,streetaddresses,mailingaddresses,andsignaturesforeachofthegeneralpartnersmustbeattached.Usepage2ofthisdocumenttoprovidethisinformationandduplicatetheblankformasnecessarytoincludeallgeneralpartners.ThisinformationisrequiredpursuanttoSection10A9A2.01(a)(4)andthesignaturesarerequiredpursuanttoSection10A9A2.03(a)(1). (For SOS Office Use Onl y ) American LegalNet, Inc. www.FormsWorkFlow.com DOMESTICLIMITEDPARTNERSHIP(LP)CERTIFICATEOFFORMATIONDLPCertificateofFormation22601/2019Page2of2ThenameoftheGeneralPartner: Street(NoPOBoxes)addressofGeneralPartner: Mailingaddress(ifdifferent): SignatureofGeneralPartnerThenameoftheGeneralPartner: Street(NoPOBoxes)addressofGeneralPartner: Mailingaddress(ifdifferent): SignatureofGeneralPartnerThenameoftheGeneralPartner: Street(NoPOBoxes)addressofGeneralPartner: Mailingaddress(ifdifferent): SignatureofGeneralPartner American LegalNet, Inc. www.FormsWorkFlow.com Credit Card/Prepaid Acct. Option Sheet 226 01/2019 Secretary of State Credit Card or Prepaid Payment Option/Return/Hold Sheet: If you do not send an acknowledgement copy and a pre-addressed postage paid envelope with the filing or provide an email return on this form, you will not receive a credit card or prepaid account receipt from the Secretary of State222s Office. Hold for pickup request will have the receipt attached. The document of record will be stamped showing the receipt of the filing fee and expedite fee but will not show convenience fees which will be charged; (generally these fees are between 2% and 5% of the total charge). Information MUST be typed or filing will be returned without review. Entity Name: AL Entity ID Number: - (ex: 000-000) Service Requested: X $0.00 iling fee $100.00 Expedited Processing fee (must be included with initial filing) Hold at Front Desk for Pick-up by: (Service providers who run couriers for pick-up) There is no notification service and there will not be a call for pick-up. Return via email (only one email): (ONLY for expedited filings) No paper copy will be mailed Charge fees to prepaid account: Account Number and Account Name Typed Name & Signature of Authorized Individual on Account Credit Card Type: (Visa, MC, Discover & AmEx) Card Number: Expiration Mo/Yr: / (MM/YY) Card Holder Name: Complete Billing Address: Street or PO City State Zip Signature of Card Holder: MUST be Signature of Card Holder American LegalNet, Inc. www.FormsWorkFlow.com





