Last updated: 10/3/2023
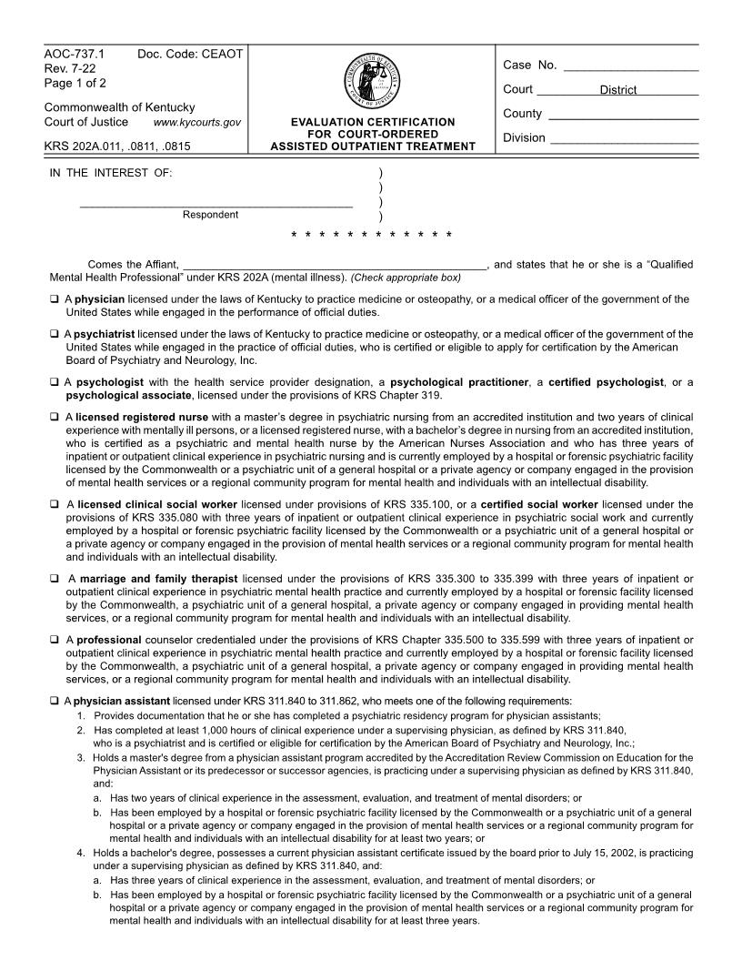
Examination Certification For Court Ordered Assisted Outpatient Treatment {AOC-737.1}
Start Your Free Trial $ 13.99What you get:
- Instant access to fillable Microsoft Word or PDF forms.
- Minimize the risk of using outdated forms and eliminate rejected fillings.
- Largest forms database in the USA with more than 80,000 federal, state and agency forms.
- Download, edit, auto-fill multiple forms at once in MS Word using our Forms Workflow Ribbon
- Trusted by 1,000s of Attorneys and Legal Professionals
Description
þ en-USen-USen-US(Check appropriate box)en-USen-US A en-USphysicianen-USen-USen-USen-US A en-USpsychiatristen-USen-USen-USen-USen-US A en-USpsychologisten-USen-USpsychological practitioneren-USen-USen-USen-USpsychological associateen-USen-USen-USen-US A en-USen-USen-USen-USen-USen-USen-USen-USen-US A en-USen-USen-USen-USen-USen-USen-USen-USen-USen-US A en-USen-USen-USen-USen-USen-USen-US A en-USen-USen-USen-USen-USen-USen-US A en-USphysician assistant en-USen-USen-USen-US en-USen-USen-US en-USen-USen-USen-USen-USen-USen-USen-USen-USen-USen-USen-USen-US en-USen-USen-USen-USen-USen-US www.courts.ky.goven-USen-USEXAMINATION CERTIFICATIONen-USFOR COURT-ORDEREDen-USASSISTED OUTPATIENT TREATMENT lexet justitia COMMONWEALTHOFKENTUCKY COURTOFJUSTICE þ þ þ en-USen-USen-USen-USen-USen-USen-USen-US* * * * * * * * * * * *en-US American LegalNet, Inc. www.FormsWorkFlow.com en-USen-USen-US þ en-USen-USen-USen-US(check one)en-USen-USen-US(Complete only paragraph 3)en-USORen-USen-USen-USen-USen-USen-USen-US(Complete paragraphs 1 through 3) en-USen-US(state reason(s) and attach supporting documentation)en-USen-USen-USen-USen-USen-USen-USen-USen-USen-USen-USen-USen-USen-USen-USen-US þ þ en-USSubmit this form immediately if possible but in any event, no later than seventy-two (72) hours following the examination en-US(excluding weekends and holidays).en-USReminder: If court-ordered assisted outpatient treatment is recommended, you must provide a proposed written treatment plan no lateren-US en-USthan the date of the hearing. KRS 202A.0817.en-USen-US þ þ þ þ American LegalNet, Inc. www.FormsWorkFlow.com





