Last updated: 10/3/2023
Findings Of Probable Cause And Order Setting Examination {AOC-737.2}
Start Your Free Trial $ 13.99What you get:
- Instant access to fillable Microsoft Word or PDF forms.
- Minimize the risk of using outdated forms and eliminate rejected fillings.
- Largest forms database in the USA with more than 80,000 federal, state and agency forms.
- Download, edit, auto-fill multiple forms at once in MS Word using our Forms Workflow Ribbon
- Trusted by 1,000s of Attorneys and Legal Professionals
Description
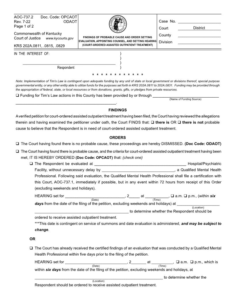
en-USNote: Implementation of Tim's law is contingent upon adequate funding by any unit of state or local government or divisions thereof, special purpose en-USgovernmental entity, or any other entity able to utilize funds for the purposes set forth in KRS 202A.0811 to 202A.0831. Funding may be provided through en-USthe appropriation of federal, state, or local resources or from donations, grants, gifts, or pledges from private resources.en-USen-US Funding for Tim222s Law actions in this County has been provided by or through en-US.en-USFINDINGSen-USen-USen-USFINDSen-US that: en-USen-US en-USthere isen-US OR en-USen-US en-USthere is noten-USen-US en-USen-USen-USen-USen-USCourt of Justice en-US www.courts.ky.goven-USen-USFINDINGS OF PROBABLE CAUSE AND ORDER SETTINGen-USEXAMINATION, APPOINTING COUNSEL, AND SETTING HEARINGen-US(COURT-ORDERED ASSISTED OUTPATIENT TREATMENT) lexet justitia COMMONWEALTHOFKENTUCKY COURTOFJUSTICE Case No. Court þ County þ Division þ en-USDistricten-USIN THE INTEREST OF:en-US en-USRespondenten-US)en-US)en-US)en-US)en-US* * * * * * * * * * * *en-USORDERSen-USen-USen-US(Doc Code: ODAOT)en-US þ þ en-US(Doc Code: OPCAOT)en-US that: en-US(check one)en-USen-USen-USen-USen-USen-USs en-USen-USen-USORen-USen-USen-USen-USen-US þ þ the Respondent. en-US þ en-USen-US a.m. en-USen-US þ þ þ en-USen-USen-USen-USen-USName of Funding Source) þ Date þ Judge þ en-USPlease print or type name of Judge in the space provided below: þ American LegalNet, Inc. www.FormsWorkFlow.com Attorney222s Address:Copy Distribution:If Respondent Dismissed:If Respondent Not Dismissed:Note: American LegalNet, Inc. www.FormsWorkFlow.com





