Last updated: 11/1/2022
Financial Declaration
Start Your Free Trial $ 21.99What you get:
- Instant access to fillable Microsoft Word or PDF forms.
- Minimize the risk of using outdated forms and eliminate rejected fillings.
- Largest forms database in the USA with more than 80,000 federal, state and agency forms.
- Download, edit, auto-fill multiple forms at once in MS Word using our Forms Workflow Ribbon
- Trusted by 1,000s of Attorneys and Legal Professionals
Description
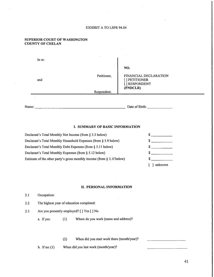
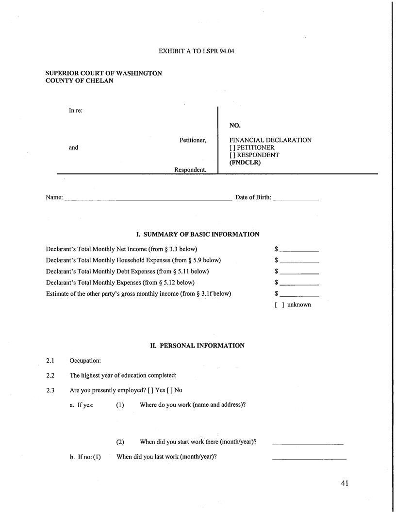
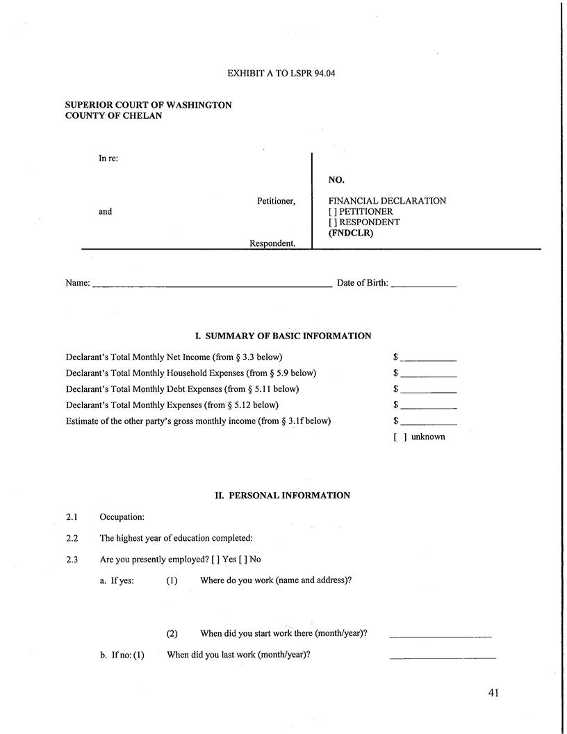
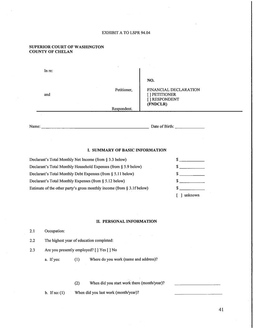
EXHIBIT A TO LSPR 94.04 SUPERIOR COURT OF WASHINGTON COUNTY OF CHELAN In re: Petitioner, and Respondent. NO. FINANCIAL DECLARATION [ ] PETITIONER [ ] RESPONDENT (FNDCLR) Name: Date of Birth: Social Security Number: I. SUMMARY OF BASIC INFORMATION Declarant222s Total Monthly Net Income (from 247 3.3 below)Declarant222s Total Monthly Household Expenses (from 247 5.9 below) $ Declarant222s Total Monthly Debt Expenses (from 247 5.11 below) $ Declarant222s Total Monthly Expenses (from 247 5.12 below)Estimate of the other party222s gross monthly income (from 247 3.1f below) [ ] $ [ ] unknown II. PERSONAL INFORMATIONAmerican LegalNet, Inc. www.FormsWorkFlow.com (2) What were your gross monthly earnings? $ (3) Why are you presently unemployed? III. INCOME INFORMATION If child support is at issue, complete the Washington State Child Support Worksheet(s), skip Paragraphs 3.1 and 3.2. If maintenance, fees, costs or debts are at issue and child support is NOT an issue this entire section should be completed. (Estimate of other party222s income information is optional.) 3.1 GROSS MONTHLY INCOME. If you are paid on a weekly basis, multiply your weekly gross pay by 4.3 to determine your monthly wages and salaries. If you are paid every two weeks, multiply your gross pay by 2.15. If you are paid twice monthly, multiply your gross pay by 2. If you are paid once a month, list that amount below. Petitioner Respondent a. Wages and Salaries $ $ b. Interest and Dividend Income $ $ c. Business Income $ $ d. Spousal Maintenance From Other Relationships $ $ e. Other Income $ $ f. Total Gross Monthly Income (add lines 3.1a through 3.1e) $ $ g. Actual Gross Income (Year to date) $ $ 3.2 MONTHLY DEDUCTIONS FROM GROSS INCOME. a. Income Taxes $ $ b. FICA/Self-employment Taxes $ $ c. State Industrial Insurance Deductions $ $ d. MANDATORY Union/Professional Dues $ $ e. Pension Plan Payments $ $ f. Spousal Maintenance Paid $ $ g. Normal Business Expenses $ $ h. Total Deductions from Gross Income (add lines 3.2a through 3.2g) $ $ 3.3 MONTHLY NET INCOME. (Line 3.1f minus line 3.2h or $ $ line 3 from the Child Support Worksheet(s).) 3.4 MISCELLANEOUS INCOME. a. Child support received from other relationships $ $ b. Other miscellaneous income (list source and amounts): $ $ $ $ American LegalNet, Inc. www.FormsWorkFlow.com $ $ $ $ $ $ c. Total Miscellaneous Income (add lines 3.4a through 3.4c) $ $ 3.5 Income of Other Adults in Household $ $ 3.6 If the income of either party is disputed, state monthly income you believe is correct and explain below: IV. AVAILABLE ASSETS 4.1 Cash on hand $ 4.2 On deposit in banks $ 4.3 Stocks and Bonds, cash value of life insurance $ 4.4 Other liquid assets: $ V. MONTHLY EXPENSE INFORMATION Monthly expenses for myself and dependents are: (Expenses should be calculated for the future, after separation, based on the anticipated residential schedule for the children.) 5.1 HOUSING. Rent, 1st mortgage or contract payments $ Installment payments for other mortgages or encumbrances $ Taxes & insurance (if not in monthly payment) $ Total Housing $ 5.2 UTILITIES. Heat (gas & oil) $ Electricity $ Water, sewer, garbage $ Telephone $ Cable $ Other $ Total Utilities $ 5.3 FOOD AND SUPPLIES. Food for persons $ American LegalNet, Inc. www.FormsWorkFlow.com Supplies (paper, tobacco, pets) $ Meals eaten out $ Other $ Total Food Supplies $ 5.4 CHILDREN. Day Care/Babysitting $ Clothing $ Tuition (if any) $ Other child related expenses $ Total Expenses Children $ 5.5 TRANSPORTATION. Vehicle payments or leases $ Vehicle insurance & license $ Vehicle gas, oil, ordinary maintenance $ Parking $ Other transportation expenses $ Total Transportation $ 5.6 HEALTH CARE. (Omit if fully covered) Insurance $ Uninsured dental, orthodontic, medical, eye care expenses $ Other uninsured health expenses $ Total Health Care $ 5.7 PERSONAL EXPENSES (Not including children). Clothing $ Hair care/personal care expenses $ Clubs and recreation $ Education $ Books, newspapers, magazines, photos $ Gifts $ Other $ Total Personal Expenses $ 5.8 MISCELLANEOUS EXPENSES. Life insurance (if not deducted from income) $ Other $ American LegalNet, Inc. www.FormsWorkFlow.com Other $ Total Miscellaneous Expenses $ 5.9 TOTAL HOUSEHOLD EXPENSES (The total of Paragraphs 5.1 through 5.8) $ 5.10 INSTALLMENT DEBTS INCLUDED IN PARAGRAPHS 5.1 THROUGH 5.8. Description Month of Creditor of Debt Balance Last Payment 5.11 OTHER DEBTS AND MONTHLY EXPENSES NOT INCLUDED IN PARAGRAPHS 5.1 THROUGH 5.8. Description Month of Monthly Creditor of Debt Balance Last Payment Payment $ $ $ $ $ $ $ Total Monthly Payments for Other Debts and Monthly Expenses $ 5.12 TOTAL EXPENSES (Add Paragraphs 5.9 and 5.11) $ VI. ATTORNEY FEES 6.1 Amount paid for attorney fees and costs to date: $ 6.2 The source of this money was: 6.3 Fees and costs incurred to date: $ 6.4 Arrangements for attorney fees and costs are: 6.5 Other: American LegalNet, Inc. www.FormsWorkFlow.com I declare under penalty of perjury under the laws of the State of Washington that the foregoing is true and correct. Signed at on . [Place] [Date] Signature Print or Type Name THE OTHER PARTY MUST BE SERVED COPIES OF YOUR TAX RETURNS FROM THE LAST TWO YEARS AND COPIES OF YOUR PAY STUBS FOR THE LAST SIX MONTHS TO VERIFY YOUR INCOME. YOU SHOULD ALSO BRING COPIES OF YOUR TAX RETURNS FROM THE LAST TWO YEARS AND COPIES OF YOUR PAY STUBS FOR THE LAST SIX MONTHS TO YOUR COURT HEARINGS. American LegalNet, Inc. www.FormsWorkFlow.com





