Last updated: 7/19/2022
Misdemeanor Advisement Of Rights Waiver Of Plea Form {TUO-CR-200}
Start Your Free Trial $ 0.00What you get:
- Instant access to fillable Microsoft Word or PDF forms.
- Minimize the risk of using outdated forms and eliminate rejected fillings.
- Largest forms database in the USA with more than 80,000 federal, state and agency forms.
- Download, edit, auto-fill multiple forms at once in MS Word using our Forms Workflow Ribbon
- Trusted by 1,000s of Attorneys and Legal Professionals
Description
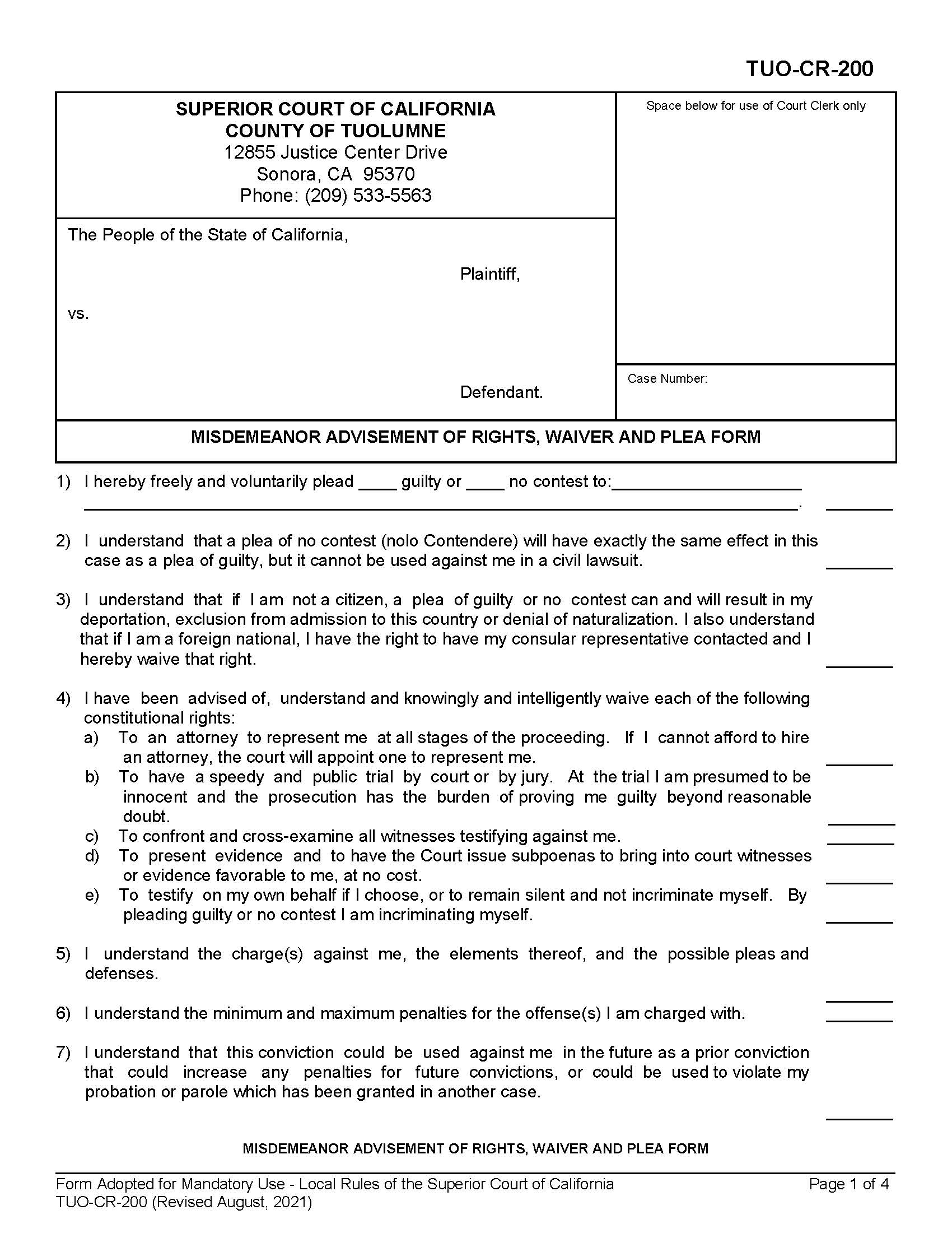
TUO-CR-200 - MISDEMEANOR ADVISEMENT OF RIGHTS, WAIVER AND PLEA FORM. This form is used in the Superior Court of California, County of Tuolumne, for defendants entering a plea in misdemeanor cases. It informs the defendant of their legal rights, including the consequences of a guilty or no contest plea, which may lead to deportation for non-citizens. The defendant waives constitutional rights such as the right to an attorney, a trial, and to remain silent. They confirm understanding the charges, penalties, and that their plea is voluntary without coercion. The form also includes sections for the defendant’s attorney and the court to verify that the defendant's decision was informed and voluntary. www.FormsWorkflow.com
Related forms
-
Acknowledgment Of Terms And Conditions Of Drug Court Participation
California/Local County/Tuolumne County/Criminal/ -
Order For Ex Parte Appointment Of Expert Or Investigator
California/Local County/Tuolumne County/Criminal/ -
Advisement Of Rights Waiver Of Plea Form For Felonies
California/Local County/Tuolumne County/Criminal/ -
Advisement And Waiver Of Rights (Felony)
California/Local County/Tuolumne County/Criminal/ -
Prop. 64 Marijuana Initiative Penalties And Referral
California/Local County/Tuolumne County/Criminal/ -
Waiver Of Personal Appearance Consent To Entry Of Plea Of Guilty
California/Local County/Tuolumne County/Criminal/ -
Waiver Of Defendants Personal Presence
California/Local County/Tuolumne County/Criminal/ -
Affidavit Re Ignition Interlock
California/Local County/Tuolumne County/Criminal/ -
Addendum To Advisement Waiver And Plea Form Defendant Under 21
California/Local County/Tuolumne County/Criminal/ -
Petition For Restricted License And Order Thereon
California/Local County/Tuolumne County/Criminal/ -
Petition To Proceed In Propria Persona
California/Local County/Tuolumne County/Criminal/ -
Agreement To Appear On Release Of Defendant On Own Recognizance
California/Local County/Tuolumne County/Criminal/ -
Waiver Of Time
California/Local County/Tuolumne County/Criminal/ -
Clerks Modification Of Sentence Or Probation Conditions
California/Local County/Tuolumne County/Criminal/ -
Petition For Resentencing Reduction To Misdemeanor
California/Local County/Tuolumne County/Criminal/ -
Response For Resentencing Or Reduction To Misdemeanor (Penal Code Section 1170.18)
California/Local County/Tuolumne County/Criminal/ -
Notification Of Military Status
California/Local County/Tuolumne County/Criminal/ -
Petition Application (HS Code Section 11361.8) (With Response) Adult Crimes
California/Local County/Tuolumne County/Criminal/ -
Order For Hearing On Petition Application (HS Code Section 11361.8)
California/Local County/Tuolumne County/Criminal/ -
Acknowledgment Of Terms And Condition Of Post Sentence Release
California/Local County/Tuolumne County/Criminal/ -
Book And Release
California/Local County/Tuolumne County/Criminal/ -
Prohibited Persons Relinquishment Form Findings PC Sec. 29810c
California/Local County/Tuolumne County/Criminal/ -
Misdemeanor Advisement Of Rights Waiver Of Plea Form
California/Local County/Tuolumne County/Criminal/ -
Summary Judgment And Notice Thereof
California/Local County/Tuolumne County/Criminal/ -
Probationers Request For Probation Modification
California/Local County/Tuolumne County/Criminal/ -
Advisement And Waiver Of Rights (Felony) PC 1170h
California/Local County/Tuolumne County/Criminal/ -
Advisement And Waiver Of Rights (Felony) NON PC 1170h
California/Local County/Tuolumne County/Criminal/ -
Order On Petition For Resentencing (Penal Code Section 1170.18)
California/Local County/Tuolumne County/Criminal/
Form Preview
Contact Us
Success: Your message was sent.
Thank you!




