Last updated: 7/27/2022
Certificate Of Service Of Anders Brief
Start Your Free Trial $ 13.99What you get:
- Instant access to fillable Microsoft Word or PDF forms.
- Minimize the risk of using outdated forms and eliminate rejected fillings.
- Largest forms database in the USA with more than 80,000 federal, state and agency forms.
- Download, edit, auto-fill multiple forms at once in MS Word using our Forms Workflow Ribbon
- Trusted by 1,000s of Attorneys and Legal Professionals
Description
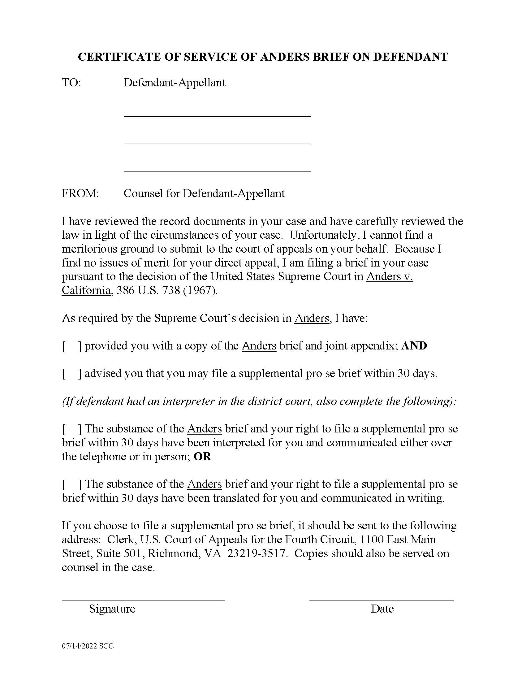
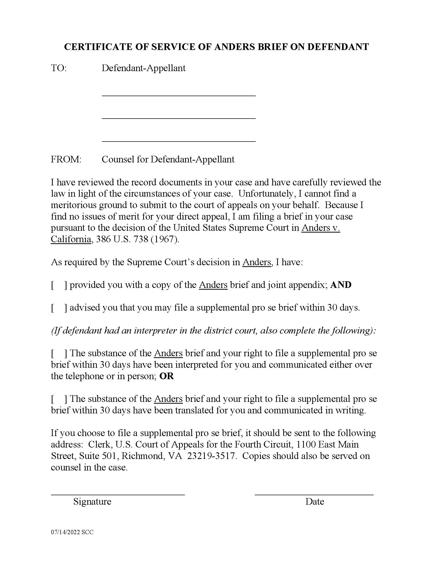
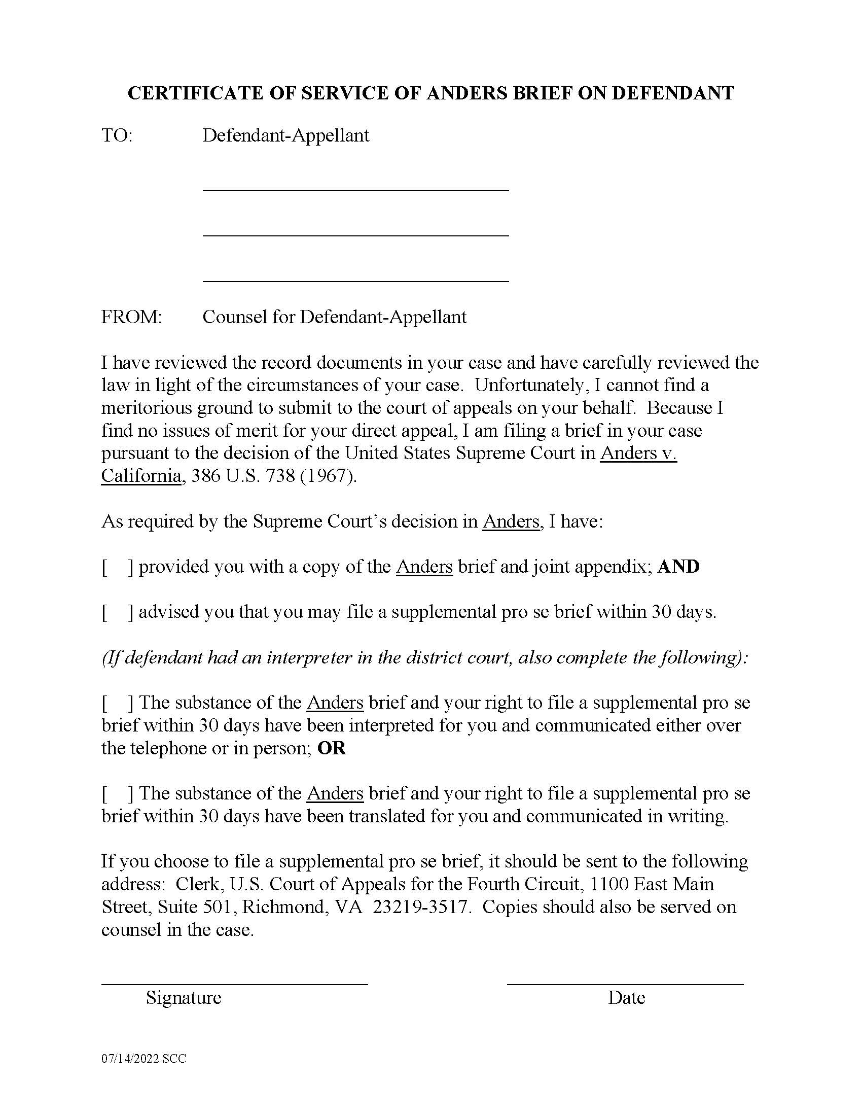
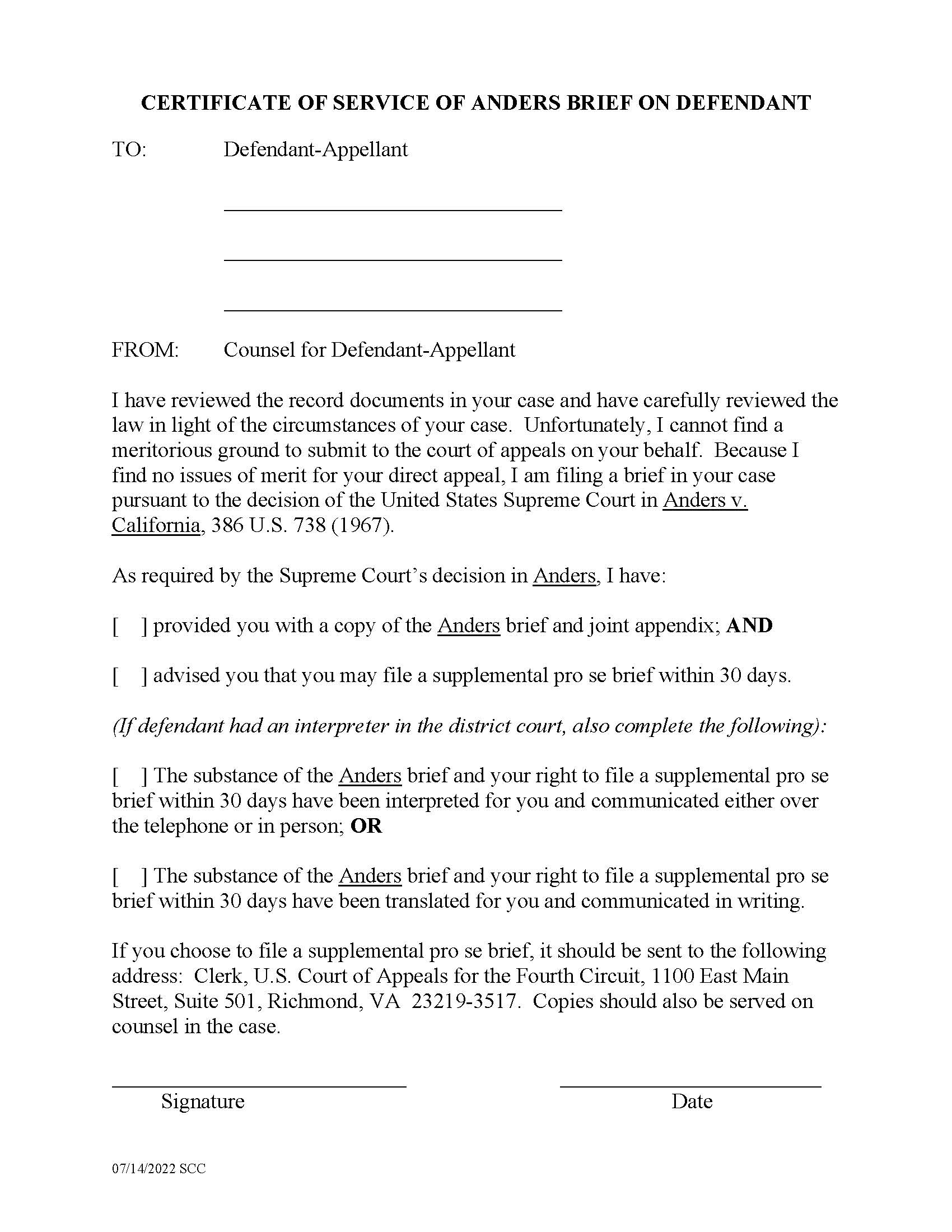
CERTIFICATE OF SERVICE OF ANDERS BRIEF ON DEFENDANT. This form is used by counsel for a defendant-appellant to inform the defendant that, after reviewing the case records and relevant law, no meritorious grounds for appeal were found. Consequently, an Anders brief is being filed in accordance with the Supreme Court decision in Anders v. California. The form confirms that the defendant has been provided with a copy of the Anders brief and joint appendix, and has been advised of their right to file a supplemental pro se brief within 30 days. If the defendant required an interpreter, the form also ensures that the defendant has been informed about the Anders brief and their rights either through an interpreter or written translation. The defendant is instructed to send any supplemental brief to the Clerk of the U.S. Court of Appeals for the Fourth Circuit and to serve copies on counsel in the case. www.FormsWorkflow.com
Related forms
-
Certificate Of Death Penalty Case
Official Federal Forms/Circuit Court Of Appeals/4th Circuit Court Of Appeals/ -
Notice Of Appeal - Bankruptcy Court
Official Federal Forms/Circuit Court Of Appeals/4th Circuit Court Of Appeals/ -
Petition For Review
Official Federal Forms/Circuit Court Of Appeals/4th Circuit Court Of Appeals/ -
Informal Brief
Official Federal Forms/Circuit Court Of Appeals/4th Circuit Court Of Appeals/ -
Request For Extension Of Time And Waiver Of Applicable Fee Reduction Sanction (Transcript Extension)
Official Federal Forms/Circuit Court Of Appeals/4th Circuit Court Of Appeals/ -
Change In Name-Contact Information (Attorney Admissions)
Official Federal Forms/Circuit Court Of Appeals/4th Circuit Court Of Appeals/ -
Change Of Address Notice (Pro Se)
Official Federal Forms/Circuit Court Of Appeals/4th Circuit Court Of Appeals/ -
Motion For Order Authorizing District Court To Consider Second Or Successive Application
Official Federal Forms/Circuit Court Of Appeals/4th Circuit Court Of Appeals/ -
Brief Cover Page For Agency Cases
Official Federal Forms/Circuit Court Of Appeals/4th Circuit Court Of Appeals/ -
Brief Cover Page For Appeals From District Court
Official Federal Forms/Circuit Court Of Appeals/4th Circuit Court Of Appeals/ -
Application For Renewal Of Membership On CJA Appellate Panel
Official Federal Forms/Circuit Court Of Appeals/4th Circuit Court Of Appeals/ -
Application To Appeal In Forma Pauperis
Official Federal Forms/Circuit Court Of Appeals/4th Circuit Court Of Appeals/ -
Attorney Registration (Of Previous Bar Admission)
Official Federal Forms/Circuit Court Of Appeals/4th Circuit Court Of Appeals/ -
PLRA Application
Official Federal Forms/Circuit Court Of Appeals/4th Circuit Court Of Appeals/ -
PLRA Consent To Collection Of Fees (Payable To Court Of Appeals For Mandamus Petitions)
Official Federal Forms/Circuit Court Of Appeals/4th Circuit Court Of Appeals/ -
Financial Affidavit (4cca)
Official Federal Forms/Circuit Court Of Appeals/4th Circuit Court Of Appeals/ -
Appendix Cover Page For Appeals From District Court
Official Federal Forms/Circuit Court Of Appeals/4th Circuit Court Of Appeals/ -
Appendix Cover Page For Agency Cases
Official Federal Forms/Circuit Court Of Appeals/4th Circuit Court Of Appeals/ -
CJA Taxpayer Identification Form
Official Federal Forms/Circuit Court Of Appeals/4th Circuit Court Of Appeals/ -
Transcript Order Deficiency Notice
Official Federal Forms/Circuit Court Of Appeals/4th Circuit Court Of Appeals/ -
Informal Brief For Habeas And Section 2255 Cases
Official Federal Forms/Circuit Court Of Appeals/4th Circuit Court Of Appeals/ -
Appearance Of Qualified Law Student
Official Federal Forms/Circuit Court Of Appeals/4th Circuit Court Of Appeals/ -
Certificate Of Compliance With Length Limitations (Before 12-1-2016)
Official Federal Forms/Circuit Court Of Appeals/4th Circuit Court Of Appeals/ -
Declaration Of Inmate Filing
Official Federal Forms/Circuit Court Of Appeals/4th Circuit Court Of Appeals/ -
Sanctions Payment Form (Payment Of Court Imposed Sanctions)
Official Federal Forms/Circuit Court Of Appeals/4th Circuit Court Of Appeals/ -
Fourth Circuit Transcript Order Form
Official Federal Forms/Circuit Court Of Appeals/4th Circuit Court Of Appeals/ -
Disclosure Statement
Official Federal Forms/Circuit Court Of Appeals/4th Circuit Court Of Appeals/ -
Certificate Of Confidentiality (For Sealed Material)
Official Federal Forms/Circuit Court Of Appeals/4th Circuit Court Of Appeals/ -
Appearance Of Counsel Form
Official Federal Forms/Circuit Court Of Appeals/4th Circuit Court Of Appeals/ -
Sample Motion To Withdraw At The Certiorari Stage
Official Federal Forms/Circuit Court Of Appeals/4th Circuit Court Of Appeals/ -
Docketing Statement Criminal Cases
Official Federal Forms/Circuit Court Of Appeals/4th Circuit Court Of Appeals/ -
Notice Of Paper Filing
Official Federal Forms/Circuit Court Of Appeals/4th Circuit Court Of Appeals/ -
Certificate Of Service
Official Federal Forms/Circuit Court Of Appeals/4th Circuit Court Of Appeals/ -
Request For Electronic Record Outside ECF
Official Federal Forms/Circuit Court Of Appeals/4th Circuit Court Of Appeals/ -
Application For Membership On The Criminal Justice Act And-Or Criminal Appellate Panels
Official Federal Forms/Circuit Court Of Appeals/4th Circuit Court Of Appeals/ -
Assigned Counsel Printer Voucher For Printing Services In Court-Assigned Cases
Official Federal Forms/Circuit Court Of Appeals/4th Circuit Court Of Appeals/ -
Certificate For Highly Sensitive Document Protection
Official Federal Forms/Circuit Court Of Appeals/4th Circuit Court Of Appeals/ -
Notice Of Appeal To Appellate Court
Official Federal Forms/Circuit Court Of Appeals/4th Circuit Court Of Appeals/ -
Notice Of Appeal - Tax Court
Official Federal Forms/Circuit Court Of Appeals/4th Circuit Court Of Appeals/ -
Notice Regarding Conflict With Proposed Argument Dates
Official Federal Forms/Circuit Court Of Appeals/4th Circuit Court Of Appeals/ -
Certificate Of Service Of Anders Brief
Official Federal Forms/Circuit Court Of Appeals/4th Circuit Court Of Appeals/ -
Docketing Statement Civil-Agency Cases
Official Federal Forms/Circuit Court Of Appeals/4th Circuit Court Of Appeals/ -
Request For Letter Of Disciplinary History
Official Federal Forms/Circuit Court Of Appeals/th Circuit Court Of Appeals/ -
Complaint Of Judicial Misconduct Or Disability (4th Circuit Court Of Appeals)
Official Federal Forms/Circuit Court Of Appeals/4th Circuit Court Of Appeals/ -
Transcript Certification Of Filing-Sanction
Official Federal Forms/Circuit Court Of Appeals/4th Circuit Court Of Appeals/ -
Prisoner Trust Account Statement
Official Federal Forms/Circuit Court Of Appeals/4th Circuit Court Of Appeals/ -
Certificate Of Good Standing Request
Official Federal Forms/Circuit Court Of Appeals/4th Circuit Court Of Appeals/ -
Copy Request
Official Federal Forms/Circuit Court Of Appeals/4th Circuit Court Of Appeals/ -
Duplicate Admission Certificate Request
Official Federal Forms/Circuit Court Of Appeals/4th Circuit Court Of Appeals/ -
Oral Argument CD Request Form
Official Federal Forms/Circuit Court Of Appeals/4th Circuit Court Of Appeals/ -
Consent To Collection Of Fees From Trust Account For Appeal
Official Federal Forms/Circuit Court Of Appeals/4th Circuit Court Of Appeals/ -
Consent To Collection Of Fees From Trust Account For Original Proceedings
Official Federal Forms/Circuit Court Of Appeals/4th Circuit Court Of Appeals/ -
Bill Of Costs
Official Federal Forms/Circuit Court Of Appeals/4th Circuit Court Of Appeals/ -
Response Similar Cases
Official Federal Forms/Circuit Court Of Appeals/th Circuit Court Of Appeals/ -
Certificate Of Compliance With Type-Volume Limit
Official Federal Forms/Circuit Court Of Appeals/4th Circuit Court Of Appeals/ -
Certiorari Status Form
Official Federal Forms/Circuit Court Of Appeals/4th Circuit Court Of Appeals/ -
Oral Argument Acknowledgment (Fourth Circuit COA)
Official Federal Forms/Circuit Court Of Appeals/4th Circuit Court Of Appeals/ -
Prison Litigation Reform Act Consent To Collection Of Fees (For Appeal)
Official Federal Forms/Circuit Court Of Appeals/4th Circuit Court Of Appeals/ -
CJA Authorization Request Form-Combined Service Providers Exceeding 1000
Official Federal Forms/Circuit Court Of Appeals/th Circuit Court Of Appeals/ -
Application For Admission To The Bar (Fourth Circuit COA)
Official Federal Forms/Circuit Court Of Appeals/4th Circuit Court Of Appeals/
Form Preview
Contact Us
Success: Your message was sent.
Thank you!




