2522C. Work Environment Harassment Sexual Favoritism Essential Factual Elements Individual Defendant | Pdf Docx | Jury Instructions

 California Jury Instructions   25 Fair Employment And Housing Act 
2522C. Work Environment Harassment Sexual Favoritism Essential Factual Elements Individual Defendant | Pdf Docx | Jury Instructions

Last updated: 8/4/2022

2522C. Work Environment Harassment Sexual Favoritism Essential Factual Elements Individual Defendant

Start Your Free Trial $ 14.00
200 Ratings
What you get:
  • Instant access to fillable Microsoft Word or PDF forms.
  • Minimize the risk of using outdated forms and eliminate rejected fillings.
  • Largest forms database in the USA with more than 80,000 federal, state and agency forms.
  • Download, edit, auto-fill multiple forms at once in MS Word using our Forms Workflow Ribbon
  • Trusted by 1,000s of Attorneys and Legal Professionals

Description

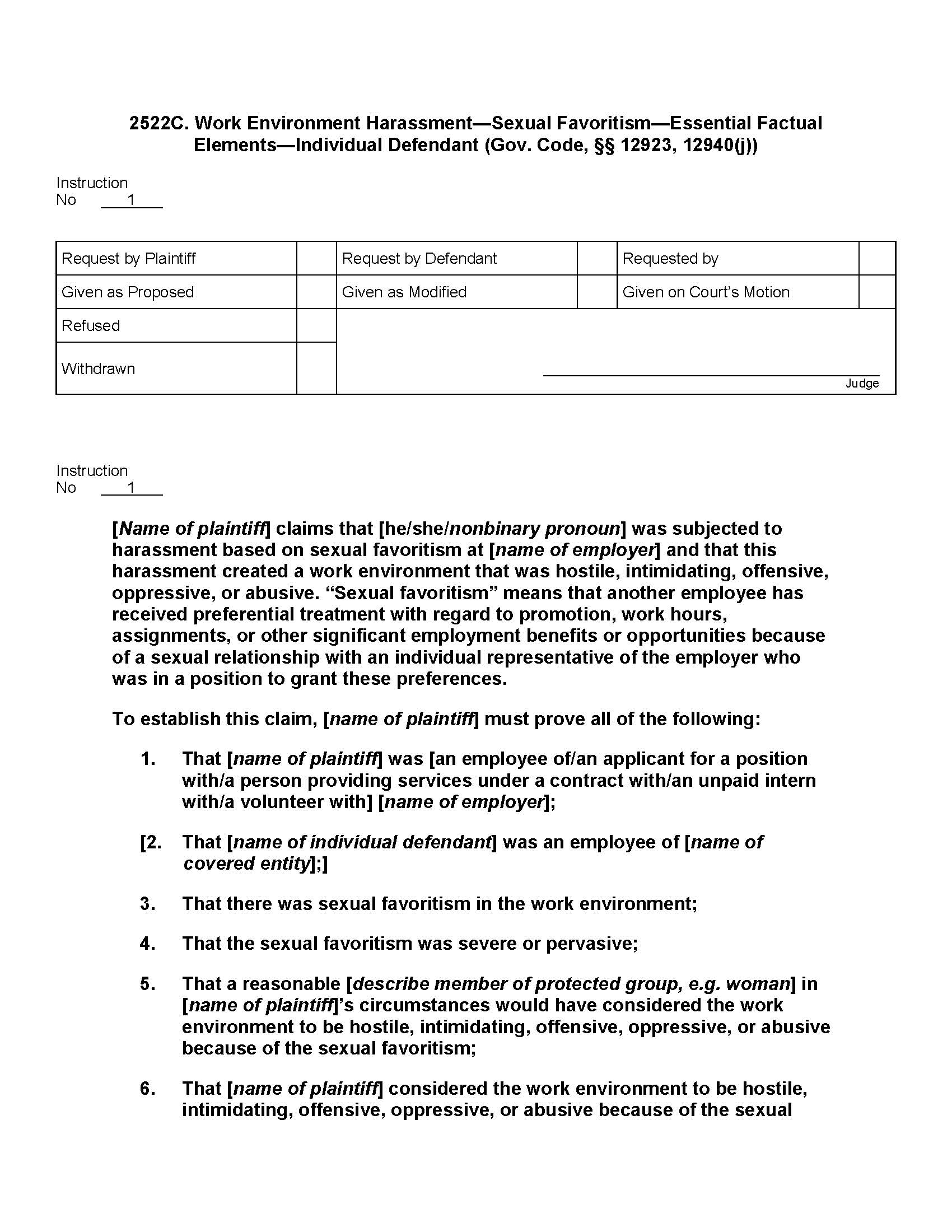
InstructionNo 1 Request by Plaintiff Request by Defendant Requested by Given as Proposed Given as Modified Given on Court222s Motion Refused Withdrawn Judge InstructionNo 1 InstructionNo 1 Request by Plaintiff Request by Defendant Requested by Given as Proposed Given as Modified Given on Court222s Motion Refused Withdrawn Judge InstructionNo 1 Derived from former CACI No. 2522 December 2007; Revised December 2015

Related forms

Our Products