Last updated: 12/8/2023
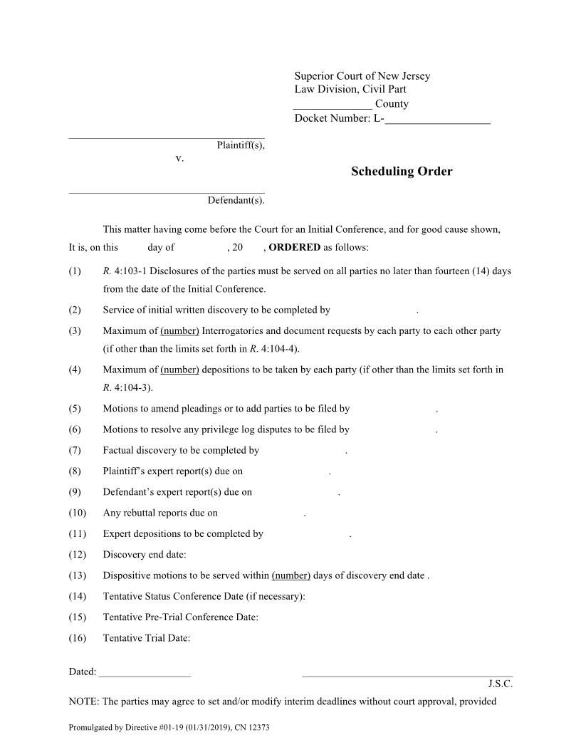
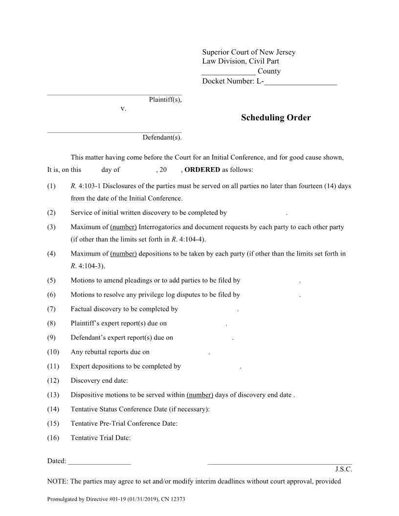
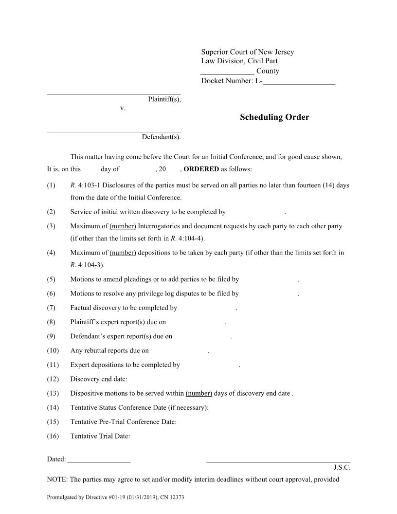
Scheduling Order CBLP) {12373}
Start Your Free Trial $ 14.00What you get:
- Instant access to fillable Microsoft Word or PDF forms.
- Minimize the risk of using outdated forms and eliminate rejected fillings.
- Largest forms database in the USA with more than 80,000 federal, state and agency forms.
- Download, edit, auto-fill multiple forms at once in MS Word using our Forms Workflow Ribbon
- Trusted by 1,000s of Attorneys and Legal Professionals
Description
Revised effective 9/1/2018 by 9/14/2018 Notice to the Bar, CN 11236 (Appendix XI-I) NOTICE: This is a public document, which means the document as submitted will be available to the public upon request. Therefore, do not enter personal identifiers on it, such as Social Security number, driver222s license number, vehicle plate number, insurance policy number, active financial account number, or active credit card number. Plaintiff or Filing Attorney Information: Check if new address/phone number Name NJ Attorney ID Number Address Telephone Number Superior Court of New Jersey Law Division, Special Civil Part County , Docket No: Plaintiff, Civil Action Notice of Application for Wage Execution v. , Defendant(s). To : Name of Judgment - Debtor Address TAKE NOTICE that an application is being made by the judgment-creditor to the above-named court, located at , New Jersey for a Wage Execution Order to issue against your salary, to be served on your employer, , (name and address of employer), for: (a) 10% of your gross salary when the same shall equal or exceed the amount of $217.50 per week; or (b) 25% of your disposable earnings for that week; or (c) the amount, if any, by which your disposable weekly earning s exceed $217.50, whichever shall be the least. Disposable earnings are defined as that portion of the earnings remaining after the deduction from the gross earnings of any amounts required by law to be withheld. In the event the disposable earnings so d efined are $217.50 or less, if paid weekly, or $435.00 or less, if paid every two weeks, or $471.25 or less, if paid twice per month, or $942.50, or less, if paid monthly then no amount shall be withheld under this execution. In no event shall more than 1 0% of gross salary be withheld and only one execution against your wages shall be satisfied at a time. Your employer may not discharge, discipline or discrim inate against you because your earnings have been subjected to garnishment. You may notify the Cle rk of the Court and the attorneys for the judgment- creditor, whose address appears above, in writing, within ten days after service of this notice upon you, why such an Order should not be issued, and thereafter the application for the Order will be set d own for a hearing of which you will receive notice of the date, time and place. If you do not notify the Clerk of the Court and the judgment -creditor222s attorney, or the judgment-creditor if there is no attorney, in writing of your objection, you will receive no further notice and the Order will be signed by the Judge as a matter of course. You also have a continuing right to object to the wage execution or apply for a reduction in the amount withheld even after it has been issued by the Court. To object or apply for a reduction, file a written statement of your objection or reasons for a reduction with the Clerk of the Court and send a copy to the creditor222s attorney or directly to the creditor if there is no attorney. You will be entitled to a hearin g within 7 days after you file your objection or application for a reduction. Certification of Service I served the within Notice upon the judgment -debtor, , on this date by sending it simultaneously by regular and certified mail, return receipt requested, to the judgment -debtor's last known address, set forth above. I certify that the foregoing statements made by me ar e true. I am aware that if any of the foregoing statements made by me are willfully false, I am subject to the punishmen t . Date Attorney for Judgment - Creditor or Judgment - Creditor Pro Se American LegalNet, Inc. www.FormsWorkFlow.com
Related forms
-
Notice and Certification to Out-of-State Counsel Licensed in New Jersey
New Jersey/Statewide/Civil Division/ -
Order Extending Discovery
New Jersey/Statewide/Civil Division/ -
Order For Summary Jury Trial
New Jersey/Statewide/Civil Division/ -
Civil Action Consent Order Of Dismissal
New Jersey/Statewide/Civil Division/ -
Voluntary Binding Arbitration Program Application
New Jersey/Statewide/Civil Division/ -
Affidavit Of Service
New Jersey/Statewide/Civil Division/ -
Certification By Landlord
New Jersey/Statewide/Civil Division/ -
Uniform Arbitration Statement Of Facts
New Jersey/Statewide/Civil Division/ -
Consent Order For Expedited Jury Trial
New Jersey/Statewide/Civil Division/ -
Discovery Of NJ Resident By Out Of State Attorney For Out Of State Litigation (packet)
New Jersey/Statewide/Civil Division/ -
Civil Action Complaint
New Jersey/Statewide/Civil Division/ -
Uniform Commercial Arbitration Memorandum
New Jersey/Statewide/Civil Division/ -
Writ Of Wage Execution (Appendix XII-E)
New Jersey/Statewide/Civil Division/ -
Writ Of Execution (Appendix XII-D)
New Jersey/Statewide/Civil Division/ -
Notice Of Settlement Order Of Dismissal
New Jersey/Statewide/Civil Division/ -
Civil Action Notice Of Arbitration Hearing
New Jersey/Statewide/Civil Division/ -
Foreclosure Mediation Financial Worksheet
New Jersey/Statewide/Civil Division/ -
Foreclosure Amount Due Schedule
New Jersey/Statewide/Civil Division/ -
Interim Provisional Settlement (IPS)
New Jersey/Statewide/Civil Division/ -
Mediation Continuation Accord
New Jersey/Statewide/Civil Division/ -
Binding Arbitration Consent Form
New Jersey/Statewide/Civil Division/ -
Order For Appointment Of Attorney Trustee
New Jersey/Statewide/Civil Division/ -
Order Of Dismissal Suppression
New Jersey/Statewide/Civil Division/ -
Request For Writ Of Execution
New Jersey/Statewide/Civil Division/ -
Uniform Order Confirming Arbitration Award And Entering Judgment
New Jersey/Statewide/Civil Division/ -
Consent To Enter Judgment Tenant Vacates
New Jersey/Statewide/Civil Division/ -
Certification By Landlords Attorney
New Jersey/Statewide/Civil Division/ -
Records Request Form
New Jersey/Statewide/Civil Division/ -
Settlement Agreement (Tenant To Stay In Premises)
New Jersey/1 Statewide/Civil Division/ -
Foreclosure Mediation Checklist
New Jersey/Statewide/Civil Division/ -
Authorization To Disclose Information (Medical)
New Jersey/Statewide/Civil Division/ -
Non-New Jersey Attorney Designation Of Clerk For Service Of Process
New Jersey/Statewide/Civil Division/ -
Residential Warrant Of Removal Appendix XI-G(1)
New Jersey/Statewide/Civil Division/ -
Notice Regarding Illegal Eviction Appendix XI-G(3)
New Jersey/Statewide/Civil Division/ -
Execution of Residential Warrant of Removal Appendix XI-G(4)
New Jersey/Statewide/Civil Division/ -
Verified Petition For Appointment Of Attorney Trustee
New Jersey/Statewide/Civil Division/ -
Verified Complaint Declaration Ownership Motor Vehicle (With Judgment OSC Certification)
New Jersey/Statewide/Civil Division/ -
Notice Of Motion-Certification In Support-Order (Foreclosure Case - Judge)
New Jersey/Statewide/Civil Division/ -
Interrogatory Forms - Appendix II
New Jersey/Statewide/Civil Division/ -
Judgment Approving Minors Settlement And Directing Deposit-Investment Of Funds
New Jersey/Statewide/Civil Division/ -
Electronic Discovery Stipulation And Order (CBLP)
New Jersey/Statewide/Civil Division/ -
Scheduling Order CBLP)
New Jersey/Statewide/Civil Division/ -
Discovery Confidentiality Order (CBLP Cases)
New Jersey/Statewide/Civil Division/ -
Joint Proposed Discovery Plan (CBLP)
New Jersey/Statewide/Civil Division/ -
Civil Action Complaint (Contract Security Deposit Rent PI PD - Small Claims)
New Jersey/Statewide/Civil Division/ -
Civil Action Answer (Auto Accident)
New Jersey/Statewide/Civil Division/ -
Civil Action Writ Of Possession
New Jersey/Statewide/Civil Division/ -
Small Claims Summons And Return Of Service
New Jersey/Statewide/Civil Division/ -
Civil Action Complaint - Motor Vehicle (Small Claims)
New Jersey/Statewide/Civil Division/ -
Civil Action Notice Of Application For Wage Execution Appendix XI-I
New Jersey/Statewide/Civil Division/ -
Civil Action Answer And Counterclaim Cross-Claim Third Party Complaint
New Jersey/Statewide/Civil Division/ -
Wage Execution Order And Execution Against Earnings Appendix XI-J
New Jersey/Statewide/Civil Division/ -
Certification In Opposition To Motion (Law Division)
New Jersey/Statewide/Civil Division/ -
Commercial Warrant Of Removal Appendix XI-G(2)
New Jersey/Statewide/Civil Division/ -
Model Interrogatories Special Civil Part Contract Debt Collection Cases Over 5k
New Jersey/Statewide/Civil Division/ -
Consent Order To Delete
New Jersey/Statewide/Civil Division/ -
Order To Delete
New Jersey/Statewide/Civil Division/ -
Notice Of Motion Certification And Order To Stay Sheriffs Sale
New Jersey/Statewide/Civil Division/ -
Foreclosure Case Information Statement
New Jersey/Statewide/Civil Division/ -
Order To Show Cause Summary Action
New Jersey/Statewide/Civil Division/ -
Mediation Request Statement (Foreclosure)
New Jersey/Statewide/Civil Division/ -
Motion To Dismiss Complaint - Strike For Failure To Answer Interrogatories
New Jersey/Statewide/Civil Division/ -
Notice Of Motion - Certification Of Service - Certification In Support - Order
New Jersey/Statewide/Civil Division/ -
Answer (Foreclosure Complaint)
New Jersey/Statewide/Civil Division/ -
Certification In Opposition To Motion Case Before Office Of Foreclosure
New Jersey/Statewide/Civil Division/ -
Certification In Opposition To Motion In Foreclosure Case Before Judge
New Jersey/Statewide/Civil Division/ -
Order To Show Cause Preliminary Injunction
New Jersey/Statewide/Civil Division/ -
Order To Show Cause With Temporary Restraints
New Jersey/Statewide/Civil Division/ -
Certification In Objection To Wage Garnishment - Worksheet - Certification Of Service
New Jersey/Statewide/Civil Division/ -
Certification In Objection To Levy - Certification Of Service
New Jersey/Statewide/Civil Division/ -
Notice To Debtor
New Jersey/Statewide/Civil Division/ -
Civil Action Summons
New Jersey/Statewide/Civil Division/ -
Notice Of Motion For Summary Judgment
New Jersey/Statewide/Civil Division/ -
Notice Of Motion-Certification In Support-Order (Before Office Of Foreclosure)
New Jersey/Statewide/Civil Division/ -
Certification For PHV Lawyers Who No Longer Appear On A Case
New Jersey/Statewide/Civil Division/ -
Subpoena Ad Testificandum
New Jersey/Statewide/Civil Division/ -
Subpoena Duces Tecum
New Jersey/Statewide/Civil Division/ -
Civil Action Answer (DC Case)
New Jersey/Statewide/Civil Division/ -
Pro Hac Vice Admission In New Jersey (PHV 23)
New Jersey/Statewide/Civil Division/ -
Certification Of Proof (Default Judgment
New Jersey/Statewide/Civil Division/ -
Completion Of Mediation Form
New Jersey/Statewide/Civil Division/ -
Tenant Case Information Statement
New Jersey/Statewide/Civil Division/ -
Request For Residential Warrant Of Removal
New Jersey/Statewide/Civil Division/ -
Certification Of Lease And Registration Statement (Residential Or Commercial)
New Jersey/Statewide/Civil Division/ -
Application For Admission To Roster Of Mediators For Civil General Equity And Probate Cases
New Jersey/Statewide/Civil Division/ -
Termination Of Eligible In-House Counse Employment
New Jersey/Statewide/Civil Division/ -
Civil Case Information Statement
New Jersey/Statewide/Civil Division/ -
Civil Action Order To Correct Data
New Jersey/Statewide/Civil Division/ -
Civil Action Summons
New Jersey/Statewide/Civil Division/ -
Civil Action Information Subpoena
New Jersey/Statewide/Civil Division/ -
Civil Action Order To Enforce Litigants Rights Appendix XI-O
New Jersey/Statewide/Civil Division/ -
Motion To Enforce Litigants Rights Packet
New Jersey/Statewide/Civil Division/ -
Return Of Personal Property Or Return Of Rental Premises
New Jersey/Statewide/Civil Division/ -
Affidavit In Support Of Application To Record Foreign Judgment In New Jersey
New Jersey/Statewide/Civil Division/ -
Civil Action Complaint And Summons (DC Case Limit 20000)
New Jersey/Statewide/Civil Division/ -
Request For Certificate Of Good Standing
New Jersey/Statewide/Civil Division/ -
Change Of Employment Packet (In-House Counsel)
New Jersey/Statewide/Civil Division/ -
Change Of Home-Business Address (In-House Counsel)
New Jersey/Statewide/Civil Division/ -
Notice Of Demand For Trial De Novo
New Jersey/Statewide/Civil Division/ -
Report And Award Of Arbitrators (Auto Or Personal Injury)
New Jersey/Statewide/Civil Division/ -
Report And Award Of Arbitrator(s) (Book Account Commercial Lemon Law)
New Jersey/Statewide/Civil Division/ -
Landlord Case Information Statement
New Jersey/Statewide/Civil Division/ -
Summons Landlord-Tenant
New Jersey/Statewide/Civil Division/ -
Verified Complaint Landlord Tenant
New Jersey/Statewide/Civil Division/ -
Warranty To Satisfy Judgment
New Jersey/Statewide/Civil Division/
Form Preview
Contact Us
Success: Your message was sent.
Thank you!




