Last updated: 8/19/2022
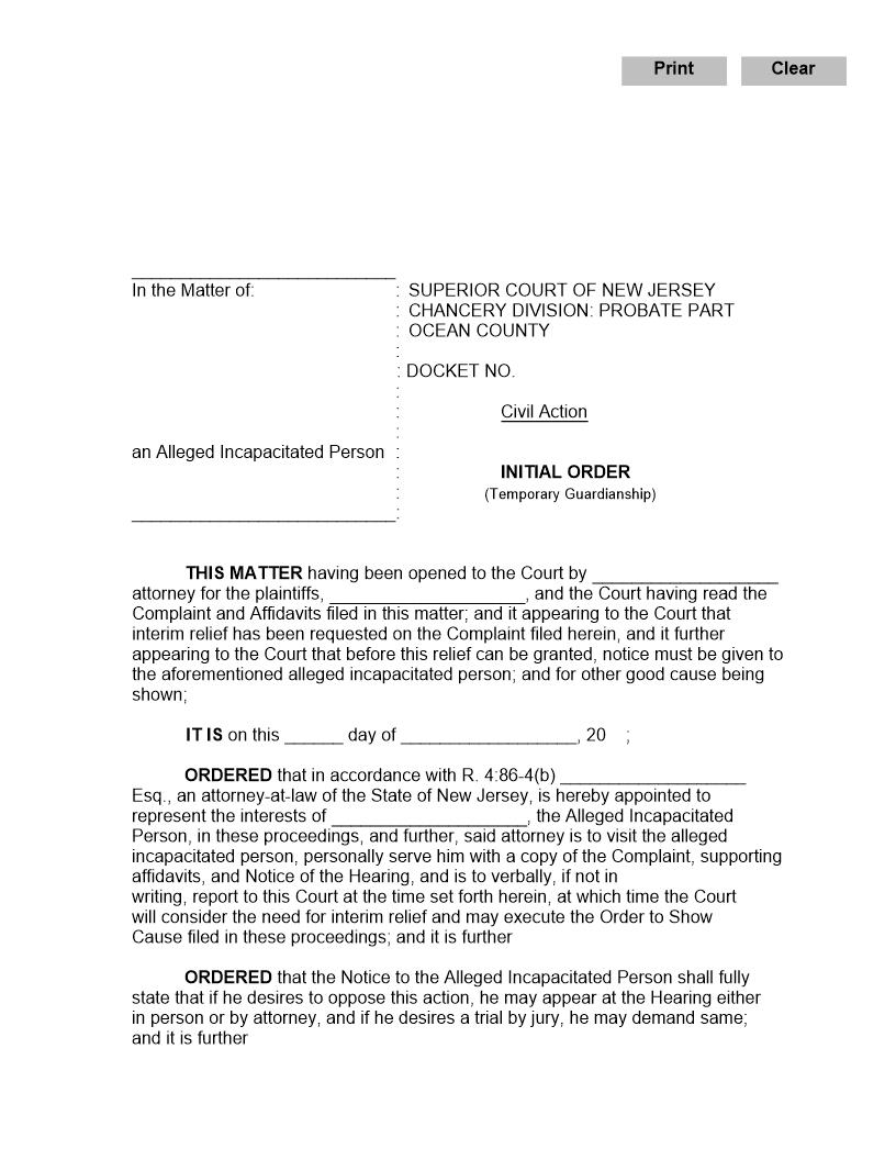
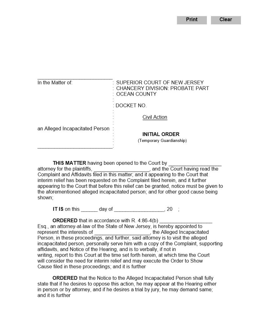
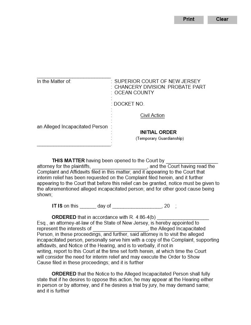
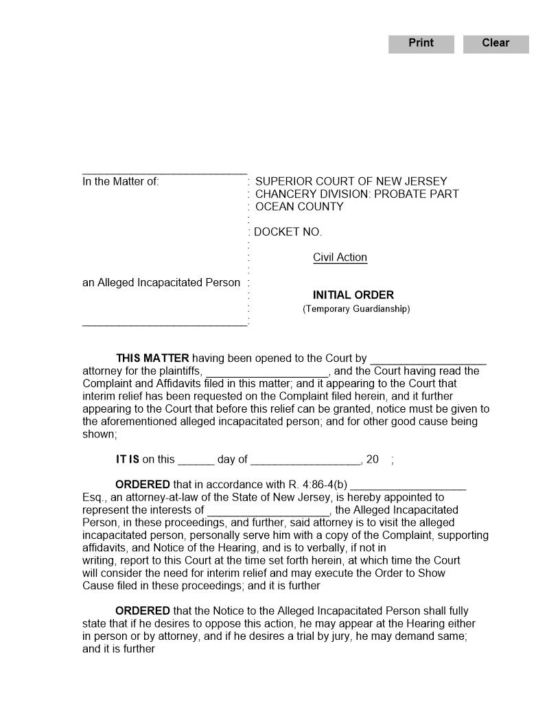
Initial Order (Temporary Guardianship)
Start Your Free Trial $ 14.00What you get:
- Instant access to fillable Microsoft Word or PDF forms.
- Minimize the risk of using outdated forms and eliminate rejected fillings.
- Largest forms database in the USA with more than 80,000 federal, state and agency forms.
- Download, edit, auto-fill multiple forms at once in MS Word using our Forms Workflow Ribbon
- Trusted by 1,000s of Attorneys and Legal Professionals
Description
Ocean County Surrogate's Court Consent for Guardianship To the Surrogate of the County of Ocean State of New Jersey State of New Jersey _____________________________________________________________next of kin of ___________________________________________________, a minor, do hereby renounce all right and claim to the guardianship of the property of the said minor and hereby consent to the appointment of ____________________________________________as guardian of the property of the minor. __________________________________ Date: Signed, sealed and delivered in the presence of: ____________________________ Notary Public STATE OF COUNTY OF ss: Be it Remembered, that on _______________________ before me, the subscriber, personally appeared _______________________________ who I am satisfied is the person in the foregoing instrument named, and I having first made known to him/her the contents thereof, he/she did thereupon acknowledge that he/she signed, sealed and delivered the aforesaid instrument as his/her voluntary act and deed for the uses and purposes therein expressed. AFFIX SEAL ___________________________________ Notary Public American LegalNet, Inc. www.FormsWorkflow.com
Related forms
-
Affidavit Of Domicile
New Jersey/Local County/Ocean/Probate/ -
Affidavit Of Residence
New Jersey/Local County/Ocean/Probate/ -
Consent For Guardianship
New Jersey/Local County/Ocean/Probate/ -
Guardianship Information Sheet
New Jersey/Local County/Ocean/Probate/ -
Renunciation For Administration CTA
New Jersey/Local County/Ocean/Probate/ -
Renunciation Of Administration
New Jersey/Local County/Ocean/Probate/ -
Renunciation Of Executorship
New Jersey/Local County/Ocean/Probate/ -
Renunciation Of Trusteeship
New Jersey/Local County/Ocean/Probate/ -
Co-Executor Reserving Right To Qualify
New Jersey/Local County/Ocean/Probate/ -
Renunciation For Sub-Administration
New Jersey/Local County/Ocean/Probate/ -
Renunciation For Sub-Administration CTA
New Jersey/Local County/Ocean/Probate/ -
Release Of General Guardian
New Jersey/Local County/Ocean/Probate/ -
Affidavit For Receipt Of Funds
New Jersey/Local County/Ocean/Probate/ -
Application For Appointment Of Substitute Administrator
New Jersey/Local County/Ocean/Probate/ -
Application For Voluntary Discharge Of Administrator
New Jersey/Local County/Ocean/Probate/ -
Consent To Voluntary Discharge Of Administrator And Renunciation
New Jersey/Local County/Ocean/Probate/ -
Trust Fact Sheet
New Jersey/Local County/Ocean/Probate/ -
Renunciation Of Administration Ad Prosequendum
New Jersey/Local County/Ocean/Probate/ -
Order To Show Cause Packet
New Jersey/Local County/Ocean/Probate/ -
Withdrawal Of Caveat
New Jersey/Local County/Ocean/Probate/ -
Caveat Against Granting Letter Of Administration Or Probate Of Will
New Jersey/Local County/Ocean/Probate/ -
Initial Order (Temporary Guardianship)
New Jersey/Local County/Ocean/Probate/ -
Order Relaxing Rule 4-86-2(b)
New Jersey/Local County/Ocean/Probate/ -
Consent For Affidavit Of Next Of Kin
New Jersey/Local County/Ocean/Probate/ -
Estate Information Sheet
New Jersey/Local County/Ocean/Probate/ -
Exemplified Information Sheet
New Jersey/Local County/Ocean/Probate/ -
Application For Voluntary Discharge Of Executor Or Administrator CTA
New Jersey/Local County/Ocean/Probate/ -
Consent To Voluntary Discharge Of Executor Or Administrator CTA And Renunciation
New Jersey/Local County/Ocean/Probate/ -
Application For Appointment Of Succeeding Executor(trix) Or Succeeding Administrator CTA
New Jersey/Local County/Ocean/Probate/ -
Renunciation Of Succeeding Executor
New Jersey/Local County/Ocean/Probate/ -
Refunding Bond And Release Form
New Jersey/Local County/Ocean/Probate/ -
Notice Of Application For Letters
New Jersey/Local County/Ocean/Probate/ -
Proof Of Mailing (Notice Of Application For Letters)
New Jersey/Local County/Ocean/Probate/
Form Preview
Contact Us
Success: Your message was sent.
Thank you!




