Last updated: 5/17/2022
Advice Of Rights (for arrests on or after 10-1-03) {DC 213}
Start Your Free Trial $ 13.99What you get:
- Instant access to fillable Microsoft Word or PDF forms.
- Minimize the risk of using outdated forms and eliminate rejected fillings.
- Largest forms database in the USA with more than 80,000 federal, state and agency forms.
- Download, edit, auto-fill multiple forms at once in MS Word using our Forms Workflow Ribbon
- Trusted by 1,000s of Attorneys and Legal Professionals
Description
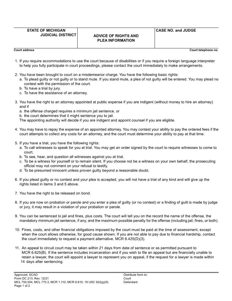
1. þ If you require special accommodations to use the court because of disabilities or if you require a foreign language interpreter þ to help you fully participate in court proceedings, please contact the court immediately to make arrangements. 2. þ You have been brought to court on a misdemeanor charge. You have the following basic rights: þ a. þ To plead guilty or not guilty or to stand mute. If you stand mute, a plea of not guilty will be entered. You may plead no þ contest with the permission of the court. þ b. þ To have a trial by jury. þ c. þ To have the assistance of an attorney. 3. þ You have the right to an attorney appointed at public expense if you are indigent (without money to hire an attorney) and if þ a. þ the offense charged requires a minimum jail sentence, or þ b. þ the court determines that it might sentence you to jail. 4. þ You may have to repay the expense of a court-appointed attorney. 5. þ If you have a trial, you have the following rights: þ a. þ To call witnesses to speak for you at trial. You may get an order signed by the court to require witnesses to come to court. þ b. þ To see, hear, and question all witnesses against you at trial. þ c. þ To be a witness for yourself or to remain silent. If you choose not be a witness on your own behalf, the prosecuting official þ may not comment on your refusal to testify. þ d. þ To be presumed innocent unless proven guilty beyond a reasonable doubt. 6. þ If you plead guilty or no contest and your plea is accepted, you will not have a trial of any kind and will give up the rights listed þ in items 3 and 5 above. 7. þ You have the right to be released on bond. 8. þ If you are now on probation or parole and you enter a plea of guilty (or no contest) or a finding of guilt is made by judge or þ jury, it may result in a violation of your probation or parole. 9. þ You can be sentenced to jail and fines, plus costs. The court will tell you on the record the name of the offense, the mandatory þ minimum jail sentence, if any, and the maximum possible penalty for the offense (including jail, fines, or both). 10. þ Fines, costs, and other financial obligations imposed by the court must be paid at the time of assessment, except when the þ court allows otherwise, for good cause shown. If you are not able to pay due to financial hardship, contact the court þ immediately to request a payment alternative. MCR 6.425(E)(3). 11. þ An appeal to circuit court may be taken within 21 days from date of sentence or as permitted pursuant to MCR 6.625(B). If þ the sentence includes incarceration and if you wish to file an appeal but are financially unable to retain a lawyer, the court þ will appoint a lawyer to represent you on appeal, if the request for a lawyer is made within 14 days after sentencing. 12. þ Federal law and/or state law may prohibit you from possessing or purchasing ammunition or a firearm (including a rifle, þ pistol, or revolver) if you are convicted of a misdemeanor crime of violence and you are a current or former spouse, parent, þ or guardian of the victim; you share a child in common with the victim; you are or were cohabitating with the victim as a þ spouse, parent, or guardian; or you are or were involved with the victim in another, similar relationship. en-USDate þ en-USDefendant signature þ en-USDefendant name (print) þ þ en-USAddress þ en-USCity, state, zip Telephone no.en-US en-USUSE NOTES:en-US If defendant is given a foreign-language version of thisen-USform to read, the English version and the foreign-language versionen-USmust be filed in the case.en-USThe consequences for arrests before 10/1/03 are different than for arrestsen-USon or after 10/1/03. If defendant is arraigned on a crime for which he or sheen-USwas arrested before 10/1/03, contact the State Court Administrative Officeen-USfor the appropriate version of this form. American LegalNet, Inc. www.FormsWorkFlow.com





