Last updated: 4/15/2022
Petition For Deferred Prosecution
Start Your Free Trial $ 17.99What you get:
- Instant access to fillable Microsoft Word or PDF forms.
- Minimize the risk of using outdated forms and eliminate rejected fillings.
- Largest forms database in the USA with more than 80,000 federal, state and agency forms.
- Download, edit, auto-fill multiple forms at once in MS Word using our Forms Workflow Ribbon
- Trusted by 1,000s of Attorneys and Legal Professionals
Description
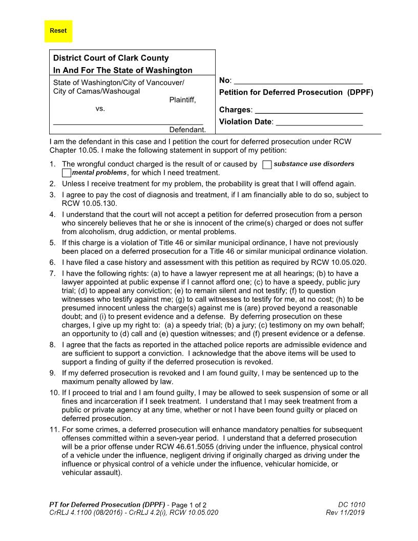
DISTRICT COURT OF CLARK COUNTY IN AND FOR THE STATE OF WASHINGTON State of Washington City of Vancouver City of Camas City of Washougal Plaintiff, Defendant. ) ) ) ) ) ) ) ) ) and states as follows: NO. PETITION FOR DEFERRED PROSECUTION CHARGE(S): VIOLATION DATE: Comes Now the defendant and petitions the court for deferred prosecution pursuant to RCW Chapter 10.05, Alcoholism 1. I allege the wrongful conduct charged is the result of or caused by Drug Addiction Mental Problems, for which I need treatment. 2. Unless I receive treatment for my problem, the probability of future recurrence is great. 3. I agree to pay for the cost of diagnosis and treatment, if financially able to do so, subject to RCW 10.05.130. 4. I understand that the court will not accept a petition for deferred prosecution from a person who sincerely believes that he or she is innocent of the crime(s) charged or does not suffer from alcoholism, drug addiction, or mental problems. 5. If this charge is a violation of Title 46 or similar municipal ordinance, I have not previously been placed on a deferred prosecution for a Title 46 or similar municipal ordinance violation. 6. A case history and assessment have been filed with this petition pursuant to RCW 10.05.020. 7. I understand and acknowledge I have the following rights: (a) to have a lawyer represent me at all hearings; (b) to have a lawyer appointed at public expense if I cannot afford one; (c) to a speedy, public jury trial; (d) to appeal any conviction; (e) to remain silent and not testify; (f) to question witnesses who testify against me; (g) to call witnesses to testify for me, at no cost; (h) to be presumed innocent unless the charge(s) against me is proven beyond a reasonable doubt; and (i) to present evidence and a defense. By deferring prosecution on these charges, I understand I give up my right to: (a) a speedy trial; (b) a jury; (c) testify; (d) question witnesses; (e) call witnesses; and (f) present evidence or a defense. 8. I stipulate to the admissibility and sufficiency of the facts in the attached police reports. I acknowledge that the above items will be entered and used to support a finding of guilty if the deferred prosecution is revoked. 9. If my deferred prosecution is revoked and I am found guilty, I understand that I may be sentenced up to the maximum penalty allowed by law. 10. I understand that if I proceed to trial and I am found guilty, I may be allowed to seek suspension of some or all fines and incarceration if I seek treatment. I understand that I may seek treatment from a public or private agency at any time, whether or not I have been found guilty or placed on deferred prosecution. 11. I understand that for some crimes, a deferred prosecution will enhance mandatory penalties for subsequent offenses committed within a seven-year period. I understand that a deferred prosecution will be a prior offense under RCW 46.61.5055 (driving under the influence, physical control of a vehicle PT for Deferred Prosecution (DPPF) - Page 1 of 2 CrRLJ 4.1100 (8/2009) - CrRLJ 4.2(i), RCW 10.05.020 DC 1010D Rev 03/2010 American LegalNet, Inc. www.FormsWorkFlow.com under the influence, negligent driving if originally charged as driving under the influence or physical control of a vehicle under the influence, vehicular homicide, or vehicular assault). 12. I understand that if the court grants this Petition, I may not operate a motor vehicle on the public highways without a valid operator's license and proof of liability insurance pursuant to RCW 46.29.490. I understand that if my wrongful conduct is the result of or caused by alcohol dependency, I shall also be required to apply for an ignition interlock driver's license and to install an ignition interlock device under RCW 46.20.720(2) and RCW 46.20.385. The required periods of use of the interlock shall be not less than the periods provided for in RCW 46.20.720(3)(a), (b) and (c). To help ensure continued sobriety and reduce the likelihood of reoffense, the court may order reasonable conditions during the period of the deferred prosecution including, but not limited to, attendance at self-help recovery support groups for alcoholism or drugs, complete abstinence from alcohol and all nonprescribed mind-altering drugs, periodic urinalysis or breath analysis, and maintaining law-abiding behavior. Alcoholism programs shall require a minimum of two self-help recovery groups per week for the duration of the treatment program. The court may terminate the deferred prosecution program if I violate this paragraph. 13. I understand that if the court grants this Petition, during the period of deferred prosecution I will be required to contact my probation officer, the probation director or designee, or the court if there is no probation department, to request permission to travel or transfer to another state if my wrongful conduct involves: (i) an offense in which a person has incurred direct or threatened physical or psychological harm; (ii) an offense that involves the use or possession of a firearm; (iii) a second or subsequent misdemeanor offense of driving while impaired by drugs or alcohol; (iv) a sexual offense that requires me to register as a sex offender in Washington state. I understand that I will be required to pay an application fee with my travel or transfer request. 14. I understand that if I fail or neglect to comply with any part of my treatment plan or with any ignition interlock driver's license or ignition interlock device requirements, then the court shall either order me to comply with the term or condition or be removed from deferred prosecution (RCW 10.05.090). After the hearing, the court will either order that I continue with treatment or be removed from deferred prosecution and enter judgment. If I am convicted of a similar offense during the deferred prosecution, the court will revoke the deferred prosecution and enter judgment. 15. I understand the court may order restitution to any victims, payment of court costs, a filing fee, a breath test fee, emergency response fee, reimbursement for cost of my court appointed attorney and cost of probation supervision. 16. I understand that he Prosecuting Attorney/City Attorney may appeal any order granting Deferred Prosecution which does not comply with the requirements outlined by statute. 17. I understand that the charge(s) against me in this case will be dismissed three years from the end of the two-year treatment program and following





