Florida Jury Instructions
Civil
420 Negligent Infliction Of Emotional Distress
Last updated: 2/4/2022
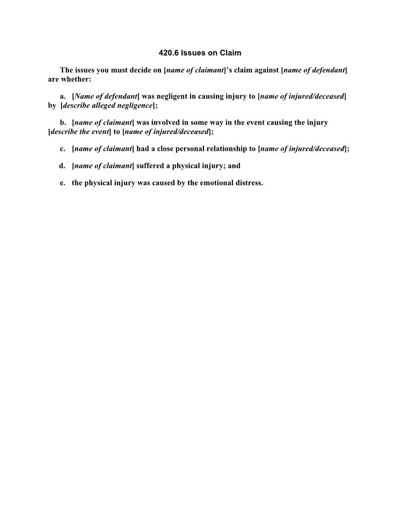
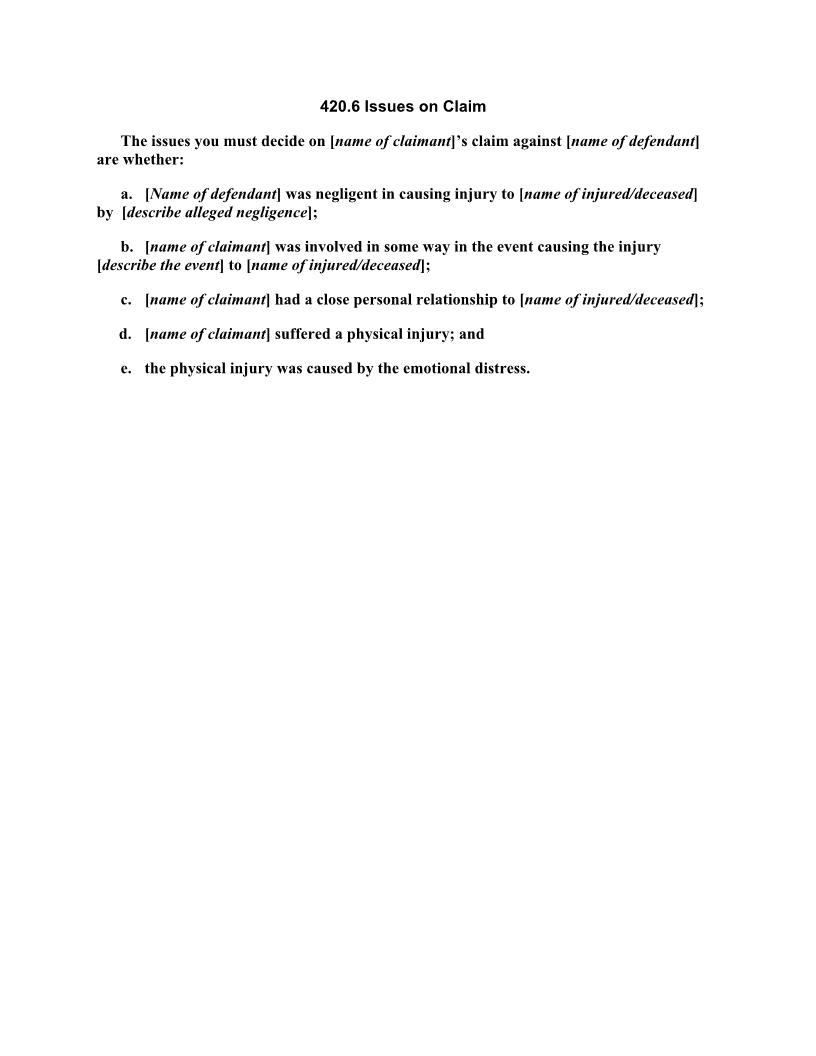
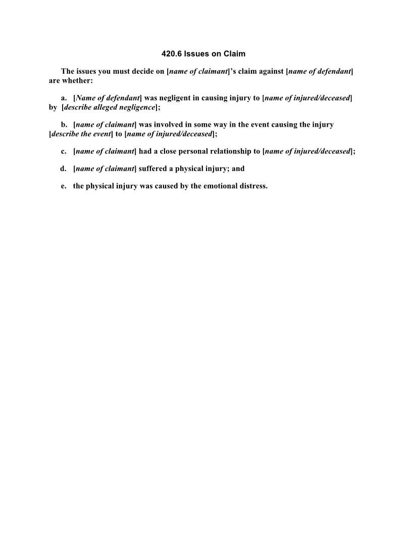
420.6 Issues On Claim
Start Your Free Trial $ 0.00What you get:
- Instant access to fillable Microsoft Word or PDF forms.
- Minimize the risk of using outdated forms and eliminate rejected fillings.
- Largest forms database in the USA with more than 80,000 federal, state and agency forms.
- Download, edit, auto-fill multiple forms at once in MS Word using our Forms Workflow Ribbon
- Trusted by 1,000s of Attorneys and Legal Professionals
Description
null
Related forms
Our Products





