Last updated: 1/28/2022
Affidavit In Support Application Entry Of Default (Judge Bucki Only Debtor Not Deft) {D100}
Start Your Free Trial $ 14.00What you get:
- Instant access to fillable Microsoft Word or PDF forms.
- Minimize the risk of using outdated forms and eliminate rejected fillings.
- Largest forms database in the USA with more than 80,000 federal, state and agency forms.
- Download, edit, auto-fill multiple forms at once in MS Word using our Forms Workflow Ribbon
- Trusted by 1,000s of Attorneys and Legal Professionals
Description
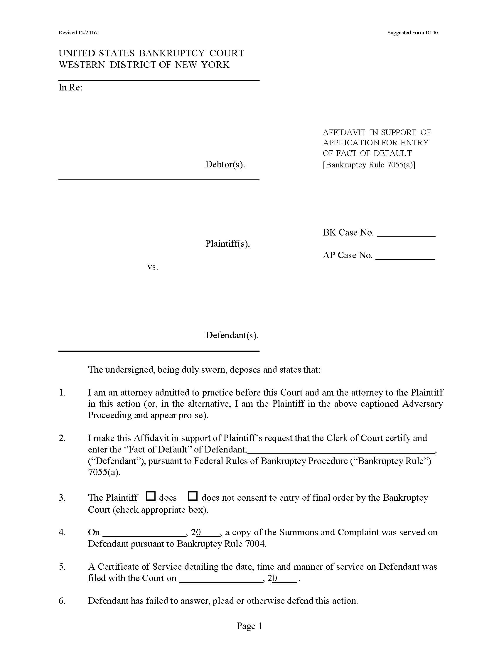
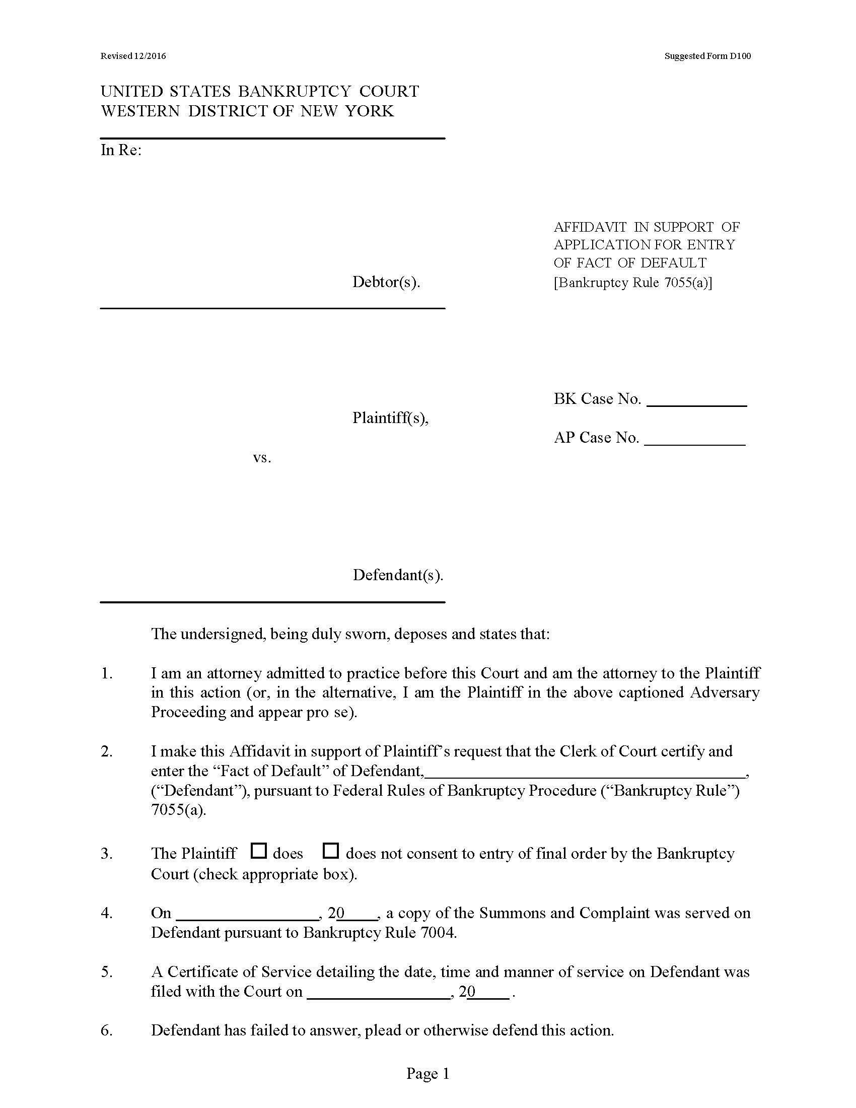
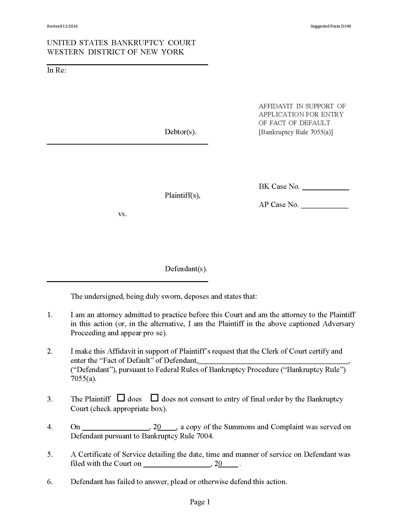
AFFIDAVIT IN SUPPORT OF APPLICATION FOR ENTRY OF FACT OF DEFAULT [Bankruptcy Rule 7055(a)]. This form is used in bankruptcy cases to request that the Clerk of Court certify and enter a “Fact of Default” against a defendant in an adversary proceeding. The affidavit supports this request by detailing the plaintiff’s case against the defendant, showing that the defendant has failed to respond or defend the action, and confirming that the defendant is not in military service. The form also confirms that the defendant is not an infant or incompetent person and requests that the default be officially recorded. www.FormsWorkflow.com
Related forms
-
506(a) Motion Cover Sheet
New York/Federal/Bankruptcy Court/Western District/ -
Ballot For Accepting Or Rejecting Plan Of Reorganization
New York/Federal/Bankruptcy Court/Western District/ -
Cover Sheet 362d Relief From Stay
New York/Federal/Bankruptcy Court/Western District/ -
Cover Sheet Section 522(f) Avoidance Of Liens
New York/Federal/Bankruptcy Court/Western District/ -
Cover Sheet Section 554 Abandonment
New York/Federal/Bankruptcy Court/Western District/ -
Cover Sheet Section 722 Redemption
New York/Federal/Bankruptcy Court/Western District/ -
Cover Sheet Sections 1229 And 1329 Modifications Of Ch 12 Or Ch 13 Plan
New York/Federal/Bankruptcy Court/Western District/ -
Declaration Re Electronic Filing Of Petition Schedules And Statements
New York/Federal/Bankruptcy Court/Western District/ -
Notice Of Motion To Sell (Rochester)
New York/Federal/Bankruptcy Court/Western District/ -
Notice Of Trustees Intent To Sell (Private Sale) (Rochester)
New York/Federal/Bankruptcy Court/Western District/ -
Order Confirming Chapter 11 Plan
New York/Federal/Bankruptcy Court/Western District/ -
Certificate Of Service
New York/Federal/Bankruptcy Court/Western District/ -
Affidavit Of Non-Military Service (Default Judgment)
New York/Federal/Bankruptcy Court/Western District/ -
Application For Order Granting Judgment By Default - Affidavit Of Amount Due (Core Proceeding)
New York/Federal/Bankruptcy Court/Western District/ -
Client Form For Compliance With Western District Of New York Student Practice Rule
New York/Federal/Bankruptcy Court/Western District/ -
Notice Of Trustees Intent To Sell (Without Liens) (Buffalo)
New York/Federal/Bankruptcy Court/Western District/ -
Form For Designating Compliance With Western District Of New York Student Practice Rule
New York/Federal/Bankruptcy Court/Western District/ -
Summary Of Exhibits Or Attachments And Certificate Of Service
New York/Federal/Bankruptcy Court/Western District/ -
Debtors Voluntary Consent To Convert From Chapter 13 To Chapter 7 Or Request For Dismissal
New York/Federal/Bankruptcy Court/Western District/ -
Notice Of Hearing To Compromise Or Settle In An Adversary Proceeding (Rochester)
New York/Federal/Bankruptcy Court/Western District/ -
Notice Of Trustees Intent To Abandon Property (Rochester)
New York/Federal/Bankruptcy Court/Western District/ -
Notice Of Trustees Intent To Sell (All Assets Less Than 2500)
New York/Federal/Bankruptcy Court/Western District/ -
Notice Of Motion To Sell (Watkins Glen)
New York/Federal/Bankruptcy Court/Western District/ -
Notice Of Trustees Intent To Sell - Private Sale (Watkins Glen)
New York/Federal/Bankruptcy Court/Western District/ -
Notice Of Trustees Intent To Sell - Public Sale (Watkins Glen)
New York/Federal/Bankruptcy Court/Western District/ -
Notice Of Trustees Intent To Sell (All Assets Less Than 2500) - Watkins Glen)
New York/Federal/Bankruptcy Court/Western District/ -
Notice Of Hearing To Withdraw Adversary Proceeding Jackson Courthouse
New York/Federal/Bankruptcy Court/Western District/ -
Notice of Hearing To Withdraw Adversary Proceeding And Opportunity To Intervene (Watkins Glen)
New York/Federal/Bankruptcy Court/Western District/ -
Debtors Final Or Post Confirmation Report And Account In A Chaper 11 Case
New York/Federal/Bankruptcy Court/Western District/ -
Statement That Plan Has Been Substantially Consummated And Motion For Final Decree (Chapter 11)
New York/Federal/Bankruptcy Court/Western District/ -
Notice Of Trustees Intent To Sell Free Of Liens Jackson Courthouse
New York/Federal/Bankruptcy Court/Western District/ -
Notice Of Trustees Summary Final Report Account Jackson Courthouse
New York/Federal/Bankruptcy Court/Western District/ -
Admission To Practice Petition Form
New York/Federal/Bankruptcy Court/Western District/ -
Request To Deposit Unclaimed Funds US Treasury Buffalo Or Rochester
New York/Federal/Bankruptcy Court/Western District/ -
Notice Of Hearing To Compromise Or Settle Adversary Proceeding (Buffalo)
New York/Federal/Bankruptcy Court/Western District/ -
Notice Of Hearing To Compromise Or Settle Bankruptcy Case (Buffalo)
New York/Federal/Bankruptcy Court/Western District/ -
Notice Of Trustees Summary Final Report Trustees Motion To Consolidate (Buffalo)
New York/Federal/Bankruptcy Court/Western District/ -
Notice Of Trustees Intent To Abandon Time To File Objections
New York/Federal/Bankruptcy Court/Western District/ -
Notice Of Trustees Intent To Dispose Of Property Time For Objections
New York/Federal/Bankruptcy Court/Western District/ -
Order Granting Judgment By Default (Non-Core Proceeding - Buffalo Only)
New York/5 Federal/Bankruptcy Court/Western District/ -
Affidavit Of Non-Military Service (Buffalo Only)
New York/5 Federal/Bankruptcy Court/Western District/ -
Entry Of Fact Of Default (Buffalo Only)
New York/5 Federal/Bankruptcy Court/Western District/ -
Affidavit Of Amount Due (Non-Core Proceeding - Buffalo Only)
New York/5 Federal/Bankruptcy Court/Western District/ -
Affidavit In Support Application Entry Of Default (Judge Bucki Only Debtor Not Deft)
New York/5 Federal/Bankruptcy Court/Western District/ -
Order To Transmit Record To District Court (Default - Non-Core - Buffalo Only)
New York/5 Federal/Bankruptcy Court/Western District/ -
Order Granting Judgment By Default (Core Proceeding - Buffalo Only)
New York/5 Federal/Bankruptcy Court/Western District/ -
Application For Order Granting Judgment By Default - Affidavit Amount Due (Core - Buffalo Only)
New York/5 Federal/Bankruptcy Court/Western District/ -
Chapter 11 Confirmation Checklist (Buffalo) - Schedule Of Claims And Expenses
New York/Federal/Bankruptcy Court/Western District/ -
Attorney (NonEfiling Only) Request For Change Of Contact Information
New York/Federal/Bankruptcy Court/Western District/ -
Consent To Substitute Attorney
New York/Federal/Bankruptcy Court/Western District/ -
Cover Sheet For Schedules Statements Lists And-Or Amendments
New York/Federal/Bankruptcy Court/Western District/ -
Notice of Hearing To Withdraw Adversary Proceeding And Opportunity To Intervene (Buffalo)
New York/Federal/Bankruptcy Court/Western District/ -
Notice Of Trustees Intent To Sell Subject To Liens Jackson Courthouse
New York/Federal/Bankruptcy Court/Western District/ -
Request For Clerks Certificate Or Certified Copy Of Document
New York/Federal/Bankruptcy Court/Western District/
Form Preview
Contact Us
Success: Your message was sent.
Thank you!




